
¡¾Ò©Æ·Ãû³Æ¡¿Í¨ÓÃÃû³Æ£º×¢ÉäÓð±ÜÐÎ÷ÁÖÄÆ
Ó¢ÎÄÃû³Æ£ºAmpicillin Sodium for Injection
ººÓïÆ´Òô£ºZhusheyong Anbianxilinna
¡¾³É·Ý¡¿±¾Æ·Ö÷Òª³É·ÝΪ°±ÜÐÎ÷ÁÖÄÆ¡£¡£Æä»¯Ñ§Ãû³ÆÎª(2S£¬£¬£¬5R£¬£¬£¬6R)-3£¬£¬£¬3-¶þ¼×»ù-6-[(R)-2-°±»ù-2-±½ÒÒõ£°±»ù]-7-Ñõ´ú-4-ÁòÔÓ-1-µªÔÓË«»·¡¸3.2.0]¸ýÍé-2-¼×ËáÄÆÑΡ£¡£
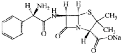
Æä»¯Ñ§½á¹¹Ê½Îª£º

·Ö×Óʽ£ºC16H18N3NaO4S
·Ö×ÓÁ¿£º371.39
¡¾ÐÔ×´¡¿±¾Æ·Îª°×É«»òÀà°×É«µÄ·ÛÄ©»ò½á¾§ÐÔ·ÛÄ©¡£¡£
¡¾Ë³Ó¦Ö¢¡¿ÊÊÓÃÓÚÃô¸Ð¾úËùÖµĺôÎüµÀѬȾ¡¢Î¸³¦µÀѬȾ¡¢Äò·ѬȾ¡¢Èí×é֯ѬȾ¡¢ÐÄÄÚĤÑס¢ÄÔĤÑס¢°ÜѪ֢µÈ¡£¡£
¡¾¹æ¸ñ¡¿°´C16H19N3O4SÅÌËã 0.5g
¡¾Ó÷¨ÓÃÁ¿¡¿³ÉÈË£º¼¡ÄÚ×¢ÉäÒ»ÈÕ2¡«4g£¬£¬£¬·Ö4´Î¸øÒ©£»£»¾²ÂöµÎ×¢»ò×¢Éä¼ÁÁ¿ÎªÒ»ÈÕ4¡«8g£¬£¬£¬·Ö2¡«4´Î¸øÒ©¡£¡£ÖØÖ¢Ñ¬È¾»¼ÕßÒ»ÈÕ¼ÁÁ¿¿ÉÒÔÔöÌíÖÁ12g£¬£¬£¬Ò»ÈÕ×î¸ß¼ÁÁ¿Îª14g¡£¡£¶ùͯ£º¼¡ÄÚ×¢ÉäÖðÈÕ°´ÌåÖØ50¡«100mg/kg£¬£¬£¬·Ö4´Î¸øÒ©£»£»¾²ÂöµÎ×¢»ò×¢ÉäÖðÈÕ°´ÌåÖØ100¡«200mg/kg£¬£¬£¬·Ö2¡«4´Î¸øÒ©¡£¡£Ò»ÈÕ×î¸ß¼ÁÁ¿Îª°´ÌåÖØ300mg/kg¡£¡£×ãÔÂÐÂÉú¶ù£º°´ÌåÖØÒ»´Î12.5¡«25mg/kg£¬£¬£¬³öÉúµÚ1¡¢2ÈÕÿ12Сʱ1´Î£¬£¬£¬µÚÈýÈÕ¡«2ÖÜÿ8Сʱ1´Î£¬£¬£¬ÒÔºóÿ6Сʱ1´Î¡£¡£Ôç²ú¶ù£º³öÉúµÚÒ»ÖÜ¡¢1¡«4ÖܺÍ4ÖÜÒÔÉϰ´ÌåÖØÃ¿´Î12.5¡«50mg/kg£¬£¬£¬»®·ÖΪÿ12Сʱ¡¢8СʱºÍ6Сʱ1´Î£¬£¬£¬¾²ÂöµÎ×¢¸øÒ©¡£¡£Éö¹¦Ð§²»È«ÕߣºÄÚÉú¼¡ôûɨ³ýÂÊΪ10¡«50ml/·ÖÖÓ»òСÓÚ10ml/·ÖÖÓʱ£¬£¬£¬¸øÒ©¼äÆÚÓ¦»®·ÖÑÓÉìÖÁ6~12СʱºÍ12~24Сʱ¡£¡£°±ÜÐÎ÷ÁÖÄÆÈÜҺŨ¶ÈÓú¸ß£¬£¬£¬ÎȹÌÐÔÓú²î¡£¡£ÔÚ5¡æÊ±1%°±ÜÐÎ÷ÁÖÄÆÈÜÒºÄܼá³ÖÆäÉúÎïЧ¼Û7Ì죬£¬£¬µ«5%µÄÈÜÒºÔòΪ24Сʱ¡£¡£Å¨¶ÈΪ30mg/mlµÄ°±ÜÐÎ÷ÁÖÄÆ¾²ÂöµÎ×¢ÒºÔÚÊÒηÅÖÃ2Ò»8СʱÈÔÄÜÖÁÉÙ¼á³ÖÆä90%µÄЧ¼Û£¬£¬£¬·ÅÖñùÏäÄÚÔò¿É¼á³ÖÆä90%µÄЧ¼ÛÖÁ72Сʱ¡£¡£ÎȹÌÐÔ¿ÉÒòÆÏÌÑÌÇ¡¢¹ûÌǺÍÈéËáµÄ±£´æ¶ø½µµÍ£¬£¬£¬ÒàËæÎ¶ÈÉý¸ß¶ø½µµÍ¡£¡£¹©¼¡ÄÚ×¢Éä¿É»®·ÖÏûÈÚ125mg¡¢500mgºÍ1g°±ÜÐÎ÷ÁÖÄÆÔÚ0.9¡«1.2ml¡¢1.2¡«1.8mlºÍ2.4¡«7.4mlÃð¾ú×¢ÉäÓÃË®ÖС£¡£°±ÜÐÎ÷ÁÖÄÆ¾²ÂöµÎ×¢ÒºµÄŨ¶È²»ÒËÁè¼Ý30mg/ml¡£¡£
¡¾²»Á¼·´Ó³¡¿±¾Æ·²»Á¼·´Ó³ÓëÇàÃ¹ËØÏà·Â£¬£¬£¬ÒÔ¹ýÃô·´Ó³½ÏΪ³£¼û¡£¡£Æ¤ÕîÊÇ×î³£¼ûµÄ·´Ó³£¬£¬£¬¶à±¬·¢ÓÚÓÃÒ©ºó5Ì죬£¬£¬³ÊÝ¡ÂéÕî»ò°ßÇðÕ£»Òà¿É±¬·¢¼äÖÊÐÔÉöÑ×£»£»¹ýÃôÐÔÐÝ¿Ëż¼û£¬£¬£¬Ò»µ©±¬·¢£¬£¬£¬±ØÐè¾ÍµØÇÀ¾È£¬£¬£¬ÓèÒÔ¼á³ÖÆøµÀÁ÷ͨ¡¢ÎüÑõ¼°¸øÓÃÉöÉÏÏÙËØ¡¢ÌÇÆ¤Öʼ¤ËصÈÖÎÁƲ½·¥¡£¡£Á£Ï¸°ûºÍѪС°åïÔÌż¼ûÓÚÓ¦Óð±ÜÐÎ÷ÁֵIJ¡ÈË¡£¡£¿£¿£¿£¿£¿£¿¹ÉúËØÏà¹ØÐÔ³¦Ñ×ÉÙ¼û£¬£¬£¬ÉÙÊý²¡ÈË·ºÆðѪÇåת°±Ã¸Éý¸ß¡£¡£´ó¼ÁÁ¿°±ÜÐÎ÷ÁÖ¾²Âö¸øÒ©¿É±¬·¢³é´¤µÈÉñ¾ÏµÍ³¶¾ÐÔÖ¢×´£¬£¬£¬Ó¤¶ùÓ¦Óð±ÜÐÎ÷ÁÖºó¿É·ºÆðÂÄÚѹÔö¸ß£¬£¬£¬ÌåÏÖΪǰ±¡Æð¡£¡£
¡¾½û¼É¡¿ÓÐÇàÃ¹ËØÀàÒ©Îï¹ýÃôÊ·»òÇàÃ¹ËØÆ¤·ôÊÔÑéÑôÐÔ»¼Õß½ûÓᣡ£
¡¾×¢ÖØÊÂÏî¡¿1¡¢Ó¦Óñ¾Æ·Ç°ÐèÏêϸѯÎÊÒ©Îï¹ýÃôÊ·²¢¾ÙÐÐÇàÃ¹ËØÆ¤·ôÊÔÑé¡£¡£2¡¢Ñ¬È¾ÐÔµ¥ºËϸ°ûÔö¶àÖ¢¡¢¾Þϸ°û²¡¶¾Ñ¬È¾¡¢ÁܰÍϸ°û°×Ѫ²¡¡¢ÁܰÍÁö»¼ÕßÓ¦Óñ¾Æ·Ê±Ò×±¬·¢Æ¤Õ£¬£¬ÒË×èֹʹÓᣡ£3¡¢±¾Æ·ÐëÐÂÏÊÅäÖÆ¡£¡£
¡¾Ôи¾ÖÖ¾²ÆäÆÚÖ«Å®ÓÃÒ©¡¿ÉÐÎÞ±¾Æ·ÔÚÔи¾Ó¦ÓõÄÑÏ¿á±ÈÕÕÊÔÑ飬£¬£¬ÒÔÊÇÔи¾Ó¦½öÔÚÈ·ÓÐÐëҪʱʹÓñ¾Æ·¡£¡£ÉÙÁ¿±¾Æ·´ÓÈéÖÖÐÉøÍ¸£¬£¬£¬²¸ÈéÆÚ¸¾Å®ÓÃҩʱÒËÔÝÍ£²¸Èé¡£¡£
¡¾¶ùͯÓÃÒ©¡¿Éв»Ã÷È·¡£¡£
¡¾ÍíÄêÓÃÒ©¡¿Éв»Ã÷È·¡£¡£
¡¾Ò©ÎïÏ໥×÷Óá¿1¡¢Óë±û»ÇÌñ¾²ÓûáÑÓÉ챾ƷµÄ°ëË¥ÆÚ¡£¡£2¡¢°±ÜÐÎ÷ÁÖÓ뿨ÄÇÃ¹ËØ¶Ô´ó³¦°£Ï£¾ú¡¢±äÐθ˾ú¾ßÓÐÐͬ¿¹¾ú×÷Óᣡ£3¡¢±¾Æ·Ò˵¥¶ÀµÎ×¢£¬£¬£¬²»¿ÉÓëÏÂÁÐÒ©ÎïͬƿµÎ×¢£º°±»ùÌÇÜÕÀàÒ©Îï¡¢Á×Ëá¿ËÁÖÃ¹ËØ¡¢ÑÎËáÁÖ¿ÉÃ¹ËØ¡¢¶àÕ³¾úËØB¡¢çúçêÂÈÃ¹ËØ¡¢ºìÃ¹ËØ¡¢ÉöÉÏÏÙËØ¡¢¼äôǰ·¡¢¶à°Í°·¡¢°¢ÍÐÆ·¡¢ÆÏÌÑÌÇËá¸Æ¡¢Î¬ÉúËØB×塢άÉúËØC¡¢º¬Óа±»ùËáµÄÓªÑø×¢Éä¼ÁºÍçúçêËáÇ⻯¿ÉµÄËɵȡ£¡£4¡¢±ðàÑ´¼¿Éʹ°±ÜÐÎ÷ÁÖÆ¤Õî·´Ó³±¬·¢ÂÊÔöÌí£¬£¬£¬ÓÈÆä¶à¼ûÓÚ¸ßÄòËáѪ֢¡£¡£5¡¢°±ÜÐÎ÷ÁÖÄܴ̼¤´Æ¼¤ËØ´úл»òïÔÌÆä¸Î³¦Ñ»·£¬£¬£¬Òò¶ø¿É½µµÍ¿Ú·þ±ÜÔÐÒ©µÄЧ¹û¡£¡£
¡¾Ò©Îï¹ýÁ¿¡¿Éв»Ã÷È·¡£¡£
¡¾Ò©Àí¶¾Àí¡¿°±ÜÐÎ÷ÁÖÄÆÎª¹ãÆ×°ëºÏ³ÉÇàÃ¹ËØ¡£¡£±¾Æ·¶ÔÈÜѪÐÔÁ´Çò¾ú¡¢·ÎÑ×Á´Çò¾úºÍ²»²úÇàÃ¹ËØÃ¸ÆÏÌÑÇò¾ú¾ß½ÏÇ¿¿¹¾ú×÷Ó㬣¬£¬ÓëÇàÃ¹ËØÏà·Â»òÉÔÑ·ÓÚÇàÃ¹ËØ¡£¡£°±ÜÐÎ÷ÁÖ¶Ô²ÝÂÌÉ«Á´Çò¾úÒàÓÐÓÅÒ쿹¾ú×÷Ó㬣¬£¬¶Ô³¦Çò¾úÊôºÍÀî˹µÂ¾úÊôµÄ×÷ÓÃÓÅÓÚÇàÃ¹ËØ¡£¡£±¾Æ·¶Ô°×ºí°ô×´¸Ë¾ú¡¢Ì¿¾ÒÑ¿æß¸Ë¾ú¡¢·ÅÏß¾úÊô¡¢Á÷¸ÐÊÈѪ¸Ë¾ú¡¢°ÙÈտȱ«Ìظ˾ú¡¢ÄÎɪ¾úÊôÒÔ¼°³ýųÈõÄâ¸Ë¾úÍâµÄÑáÑõ¾ú¾ù¾ß¿¹¾ú»îÐÔ£¬£¬£¬²¿·ÖÆæÒì±äÐθ˾ú¡¢´ó³¦°£Ï£¾ú¡¢É³ÃžúÊôºÍÖ¾ºØ¾úÊôϸ¾ú¶Ô±¾Æ·Ãô¸Ð¡£¡£°±ÜÐÎ÷ÁÖͨ¹ýÒÖÖÆÏ¸¾úϸ°û±ÚºÏ³Éʩչɱ¾ú×÷Óᣡ£
¡¾Ò©´ú¶¯Á¦Ñ§¡¿¼¡ÄÚ×¢É䱾Ʒ0.5g£¬£¬£¬ÑªÒ©·åŨ¶È£¨Cmax£©ÓÚ0.5¡«1СʱµÖ´ï£¬£¬£¬Îª12mg/L£¬£¬£¬6СʱѪҩŨ¶ÈΪ0.5mg/L¡£¡£¾²Âö×¢Éä0.5gºó15·ÖÖÓºÍ4СʱµÄѪҩŨ¶È»®·ÖΪ17mg/LºÍ0.6mg/L¡£¡£ÐÂÉú¶ùºÍÔç²ú¶ù°´ÌåÖØ¼¡ÄÚ×¢Éä10mg/kgºÍ25mg/kgºó1Сʱ£¬£¬£¬ÑªÒ©Å¨¶È´ï·åÖµ£¬£¬£¬»®·ÖΪ20mg/LºÍ60mg/L¡£¡£Ôи¾ÑªÒ©Å¨¶ÈÏÔ׎ϷÇÈÑÉïÆÚΪµÍ¡£¡£±¾Æ·ÌåÄÚÂþÑÜÓÅÒ죬£¬£¬Ï¸¾úÐÔÄÔĤÑײ¡ÈËÖðÈÕ°´ÌåÖØ¾²Âö×¢Éä150mg/kg£¬£¬£¬Ç°3ÌìÄÔ¼¹ÒºÖÐŨ¶È¿É2.9mg/L£¬£¬£¬ÒÔºóËæÑ×Ö¢¼õÇá¶ø½µµÍ¡£¡£Õý³£ÄÔ¼¹ÒºÖнöº¬ÉÙÁ¿°±ÜÐÎ÷ÁÖ¡£¡£±¾Æ·¿É͸¹ýÌ¥ÅÌÆÁÕÏ£¬£¬£¬ÔÚÑòË®ÖеִïÒ»¶¨Å¨¶È¡£¡£·Î²¿Ñ¬È¾²¡È˵ÄÖ§Æø¹ÜÉøÍ¸ÒºÖÐŨ¶ÈΪͬÆÚѪҩŨ¶ÈµÄ1/50¡£¡£Ðظ¹Ë®¡¢ÑÛ·¿Ë®¡¢ÊàŦǻ»ýÒº¡¢ÈéÖÖнÔÓÐÏ൱Á¿µÄ±¾Æ·¡£¡£É˺®´ø¾úÕßµ¨ÖÖÐŨ¶Èƽ¾ùΪѪҩŨ¶ÈµÄ3±¶¶à£¬£¬£¬×î¸ß¿É´ï17.8±¶¡£¡£±¾Æ·ÑªÇåÂѰ×Á¬ÏµÂÊΪ20%£¬£¬£¬ÑªÏû³ý°ëË¥ÆÚ(t1/2¦Â£©Îª1¡«1.5Сʱ£¬£¬£¬ÐÂÉú¶ùt1/2¦ÂΪ1.7¡«4Сʱ£¬£¬£¬Éö¹¦Ð§²»È«»¼Õß¿ÉÑÓÉìÖÁ7¡«20Сʱ¡£¡£¼¡ÄÚ×¢ÉäºÍ¾²Âö×¢Éäºó24СʱÄòÖÐÇãÔþµÄ°±ÜÐÎ÷ÁÖ»®·ÖΪ¸øÒ©Á¿µÄ50%ºÍ70%£¬£¬£¬ÉÙÁ¿ÔÚ¸ÎÔà´úлÃð»î»ò¾µ¨ÖÉøÍ¸¡£¡£±¾Æ·¿ÉΪѪҺ͸Îöɨ³ý£¬£¬£¬¶ø¸¹Ä¤Í¸Îö²»¿Éɨ³ý±¾Æ·¡£¡£
¡¾Öü²Ø¡¿Ãܱգ¬£¬£¬ÔÚ¸ÉÔï´¦£¨10¡«30¡æ£©ÉúÑÄ¡£¡£
¡¾°ü×°¡¿Î÷ÁÖÆ¿×°¡£¡£10Ö§/ºÐ¡£¡£
¡¾ÓÐÓÃÆÚ¡¿24¸öÔÂ
¡¾Ö´Ðбê×¼¡¿¡¶ÖйúÒ©µä¡·2015Äê°æ¶þ²¿
¡¾Åú×¼Îĺš¿¹úÒ©×¼×ÖH14020370
¡¾Éú²úÆóÒµ¡¿ÆóÒµÃû³Æ£ºÉ½Î÷304amÓÀÀû¼¯ÍÅÌ©Ê¢ÖÆÒ©ÓÐÏÞ¹«Ë¾
Éú²úµØµã£ºÉ½Î÷Ê¡´óͬÊо¼ÃÊÖÒÕ¿ª·¢ÇøµÚÒ»Ò½Ò©Ô°Çø
ÓÊÕþ±àÂ룺037300
µç»°ºÅÂ룺0352¡ª7290991
´«ÕæºÅÂ룺0352¡ª7290990

¡¾Ò©Æ·Ãû³Æ¡¿Í¨ÓÃÃû³Æ£º×¢ÉäÓð±ÜÐÎ÷ÁÖÄÆ
Ó¢ÎÄÃû³Æ£ºAmpicillin Sodium for Injection
ººÓïÆ´Òô£ºZhusheyong Anbianxilinna
¡¾³É·Ý¡¿±¾Æ·Ö÷Òª³É·ÝΪ°±ÜÐÎ÷ÁÖÄÆ¡£¡£Æä»¯Ñ§Ãû³ÆÎª(2S£¬£¬£¬5R£¬£¬£¬6R)-3£¬£¬£¬3-¶þ¼×»ù-6-[(R)-2-°±»ù-2-±½ÒÒõ£°±»ù]-7-Ñõ´ú-4-ÁòÔÓ-1-µªÔÓË«»·¡¸3.2.0]¸ýÍé-2-¼×ËáÄÆÑΡ£¡£
Æä»¯Ñ§½á¹¹Ê½Îª£º

·Ö×Óʽ£ºC16H18N3NaO4S
·Ö×ÓÁ¿£º371.39
¡¾ÐÔ×´¡¿±¾Æ·Îª°×É«»òÀà°×É«µÄ·ÛÄ©»ò½á¾§ÐÔ·ÛÄ©¡£¡£
¡¾Ë³Ó¦Ö¢¡¿ÊÊÓÃÓÚÃô¸Ð¾úËùÖµĺôÎüµÀѬȾ¡¢Î¸³¦µÀѬȾ¡¢Äò·ѬȾ¡¢Èí×é֯ѬȾ¡¢ÐÄÄÚĤÑס¢ÄÔĤÑס¢°ÜѪ֢µÈ¡£¡£
¡¾¹æ¸ñ¡¿°´C16H19N3O4SÅÌËã 0.5g
¡¾Ó÷¨ÓÃÁ¿¡¿³ÉÈË£º¼¡ÄÚ×¢ÉäÒ»ÈÕ2¡«4g£¬£¬£¬·Ö4´Î¸øÒ©£»£»¾²ÂöµÎ×¢»ò×¢Éä¼ÁÁ¿ÎªÒ»ÈÕ4¡«8g£¬£¬£¬·Ö2¡«4´Î¸øÒ©¡£¡£ÖØÖ¢Ñ¬È¾»¼ÕßÒ»ÈÕ¼ÁÁ¿¿ÉÒÔÔöÌíÖÁ12g£¬£¬£¬Ò»ÈÕ×î¸ß¼ÁÁ¿Îª14g¡£¡£¶ùͯ£º¼¡ÄÚ×¢ÉäÖðÈÕ°´ÌåÖØ50¡«100mg/kg£¬£¬£¬·Ö4´Î¸øÒ©£»£»¾²ÂöµÎ×¢»ò×¢ÉäÖðÈÕ°´ÌåÖØ100¡«200mg/kg£¬£¬£¬·Ö2¡«4´Î¸øÒ©¡£¡£Ò»ÈÕ×î¸ß¼ÁÁ¿Îª°´ÌåÖØ300mg/kg¡£¡£×ãÔÂÐÂÉú¶ù£º°´ÌåÖØÒ»´Î12.5¡«25mg/kg£¬£¬£¬³öÉúµÚ1¡¢2ÈÕÿ12Сʱ1´Î£¬£¬£¬µÚÈýÈÕ¡«2ÖÜÿ8Сʱ1´Î£¬£¬£¬ÒÔºóÿ6Сʱ1´Î¡£¡£Ôç²ú¶ù£º³öÉúµÚÒ»ÖÜ¡¢1¡«4ÖܺÍ4ÖÜÒÔÉϰ´ÌåÖØÃ¿´Î12.5¡«50mg/kg£¬£¬£¬»®·ÖΪÿ12Сʱ¡¢8СʱºÍ6Сʱ1´Î£¬£¬£¬¾²ÂöµÎ×¢¸øÒ©¡£¡£Éö¹¦Ð§²»È«ÕߣºÄÚÉú¼¡ôûɨ³ýÂÊΪ10¡«50ml/·ÖÖÓ»òСÓÚ10ml/·ÖÖÓʱ£¬£¬£¬¸øÒ©¼äÆÚÓ¦»®·ÖÑÓÉìÖÁ6~12СʱºÍ12~24Сʱ¡£¡£°±ÜÐÎ÷ÁÖÄÆÈÜҺŨ¶ÈÓú¸ß£¬£¬£¬ÎȹÌÐÔÓú²î¡£¡£ÔÚ5¡æÊ±1%°±ÜÐÎ÷ÁÖÄÆÈÜÒºÄܼá³ÖÆäÉúÎïЧ¼Û7Ì죬£¬£¬µ«5%µÄÈÜÒºÔòΪ24Сʱ¡£¡£Å¨¶ÈΪ30mg/mlµÄ°±ÜÐÎ÷ÁÖÄÆ¾²ÂöµÎ×¢ÒºÔÚÊÒηÅÖÃ2Ò»8СʱÈÔÄÜÖÁÉÙ¼á³ÖÆä90%µÄЧ¼Û£¬£¬£¬·ÅÖñùÏäÄÚÔò¿É¼á³ÖÆä90%µÄЧ¼ÛÖÁ72Сʱ¡£¡£ÎȹÌÐÔ¿ÉÒòÆÏÌÑÌÇ¡¢¹ûÌǺÍÈéËáµÄ±£´æ¶ø½µµÍ£¬£¬£¬ÒàËæÎ¶ÈÉý¸ß¶ø½µµÍ¡£¡£¹©¼¡ÄÚ×¢Éä¿É»®·ÖÏûÈÚ125mg¡¢500mgºÍ1g°±ÜÐÎ÷ÁÖÄÆÔÚ0.9¡«1.2ml¡¢1.2¡«1.8mlºÍ2.4¡«7.4mlÃð¾ú×¢ÉäÓÃË®ÖС£¡£°±ÜÐÎ÷ÁÖÄÆ¾²ÂöµÎ×¢ÒºµÄŨ¶È²»ÒËÁè¼Ý30mg/ml¡£¡£
¡¾²»Á¼·´Ó³¡¿±¾Æ·²»Á¼·´Ó³ÓëÇàÃ¹ËØÏà·Â£¬£¬£¬ÒÔ¹ýÃô·´Ó³½ÏΪ³£¼û¡£¡£Æ¤ÕîÊÇ×î³£¼ûµÄ·´Ó³£¬£¬£¬¶à±¬·¢ÓÚÓÃÒ©ºó5Ì죬£¬£¬³ÊÝ¡ÂéÕî»ò°ßÇðÕ£»Òà¿É±¬·¢¼äÖÊÐÔÉöÑ×£»£»¹ýÃôÐÔÐÝ¿Ëż¼û£¬£¬£¬Ò»µ©±¬·¢£¬£¬£¬±ØÐè¾ÍµØÇÀ¾È£¬£¬£¬ÓèÒÔ¼á³ÖÆøµÀÁ÷ͨ¡¢ÎüÑõ¼°¸øÓÃÉöÉÏÏÙËØ¡¢ÌÇÆ¤Öʼ¤ËصÈÖÎÁƲ½·¥¡£¡£Á£Ï¸°ûºÍѪС°åïÔÌż¼ûÓÚÓ¦Óð±ÜÐÎ÷ÁֵIJ¡ÈË¡£¡£¿£¿£¿£¿£¿£¿¹ÉúËØÏà¹ØÐÔ³¦Ñ×ÉÙ¼û£¬£¬£¬ÉÙÊý²¡ÈË·ºÆðѪÇåת°±Ã¸Éý¸ß¡£¡£´ó¼ÁÁ¿°±ÜÐÎ÷ÁÖ¾²Âö¸øÒ©¿É±¬·¢³é´¤µÈÉñ¾ÏµÍ³¶¾ÐÔÖ¢×´£¬£¬£¬Ó¤¶ùÓ¦Óð±ÜÐÎ÷ÁÖºó¿É·ºÆðÂÄÚѹÔö¸ß£¬£¬£¬ÌåÏÖΪǰ±¡Æð¡£¡£
¡¾½û¼É¡¿ÓÐÇàÃ¹ËØÀàÒ©Îï¹ýÃôÊ·»òÇàÃ¹ËØÆ¤·ôÊÔÑéÑôÐÔ»¼Õß½ûÓᣡ£
¡¾×¢ÖØÊÂÏî¡¿1¡¢Ó¦Óñ¾Æ·Ç°ÐèÏêϸѯÎÊÒ©Îï¹ýÃôÊ·²¢¾ÙÐÐÇàÃ¹ËØÆ¤·ôÊÔÑé¡£¡£2¡¢Ñ¬È¾ÐÔµ¥ºËϸ°ûÔö¶àÖ¢¡¢¾Þϸ°û²¡¶¾Ñ¬È¾¡¢ÁܰÍϸ°û°×Ѫ²¡¡¢ÁܰÍÁö»¼ÕßÓ¦Óñ¾Æ·Ê±Ò×±¬·¢Æ¤Õ£¬£¬ÒË×èֹʹÓᣡ£3¡¢±¾Æ·ÐëÐÂÏÊÅäÖÆ¡£¡£
¡¾Ôи¾ÖÖ¾²ÆäÆÚÖ«Å®ÓÃÒ©¡¿ÉÐÎÞ±¾Æ·ÔÚÔи¾Ó¦ÓõÄÑÏ¿á±ÈÕÕÊÔÑ飬£¬£¬ÒÔÊÇÔи¾Ó¦½öÔÚÈ·ÓÐÐëҪʱʹÓñ¾Æ·¡£¡£ÉÙÁ¿±¾Æ·´ÓÈéÖÖÐÉøÍ¸£¬£¬£¬²¸ÈéÆÚ¸¾Å®ÓÃҩʱÒËÔÝÍ£²¸Èé¡£¡£
¡¾¶ùͯÓÃÒ©¡¿Éв»Ã÷È·¡£¡£
¡¾ÍíÄêÓÃÒ©¡¿Éв»Ã÷È·¡£¡£
¡¾Ò©ÎïÏ໥×÷Óá¿1¡¢Óë±û»ÇÌñ¾²ÓûáÑÓÉ챾ƷµÄ°ëË¥ÆÚ¡£¡£2¡¢°±ÜÐÎ÷ÁÖÓ뿨ÄÇÃ¹ËØ¶Ô´ó³¦°£Ï£¾ú¡¢±äÐθ˾ú¾ßÓÐÐͬ¿¹¾ú×÷Óᣡ£3¡¢±¾Æ·Ò˵¥¶ÀµÎ×¢£¬£¬£¬²»¿ÉÓëÏÂÁÐÒ©ÎïͬƿµÎ×¢£º°±»ùÌÇÜÕÀàÒ©Îï¡¢Á×Ëá¿ËÁÖÃ¹ËØ¡¢ÑÎËáÁÖ¿ÉÃ¹ËØ¡¢¶àÕ³¾úËØB¡¢çúçêÂÈÃ¹ËØ¡¢ºìÃ¹ËØ¡¢ÉöÉÏÏÙËØ¡¢¼äôǰ·¡¢¶à°Í°·¡¢°¢ÍÐÆ·¡¢ÆÏÌÑÌÇËá¸Æ¡¢Î¬ÉúËØB×塢άÉúËØC¡¢º¬Óа±»ùËáµÄÓªÑø×¢Éä¼ÁºÍçúçêËáÇ⻯¿ÉµÄËɵȡ£¡£4¡¢±ðàÑ´¼¿Éʹ°±ÜÐÎ÷ÁÖÆ¤Õî·´Ó³±¬·¢ÂÊÔöÌí£¬£¬£¬ÓÈÆä¶à¼ûÓÚ¸ßÄòËáѪ֢¡£¡£5¡¢°±ÜÐÎ÷ÁÖÄܴ̼¤´Æ¼¤ËØ´úл»òïÔÌÆä¸Î³¦Ñ»·£¬£¬£¬Òò¶ø¿É½µµÍ¿Ú·þ±ÜÔÐÒ©µÄЧ¹û¡£¡£
¡¾Ò©Îï¹ýÁ¿¡¿Éв»Ã÷È·¡£¡£
¡¾Ò©Àí¶¾Àí¡¿°±ÜÐÎ÷ÁÖÄÆÎª¹ãÆ×°ëºÏ³ÉÇàÃ¹ËØ¡£¡£±¾Æ·¶ÔÈÜѪÐÔÁ´Çò¾ú¡¢·ÎÑ×Á´Çò¾úºÍ²»²úÇàÃ¹ËØÃ¸ÆÏÌÑÇò¾ú¾ß½ÏÇ¿¿¹¾ú×÷Ó㬣¬£¬ÓëÇàÃ¹ËØÏà·Â»òÉÔÑ·ÓÚÇàÃ¹ËØ¡£¡£°±ÜÐÎ÷ÁÖ¶Ô²ÝÂÌÉ«Á´Çò¾úÒàÓÐÓÅÒ쿹¾ú×÷Ó㬣¬£¬¶Ô³¦Çò¾úÊôºÍÀî˹µÂ¾úÊôµÄ×÷ÓÃÓÅÓÚÇàÃ¹ËØ¡£¡£±¾Æ·¶Ô°×ºí°ô×´¸Ë¾ú¡¢Ì¿¾ÒÑ¿æß¸Ë¾ú¡¢·ÅÏß¾úÊô¡¢Á÷¸ÐÊÈѪ¸Ë¾ú¡¢°ÙÈտȱ«Ìظ˾ú¡¢ÄÎɪ¾úÊôÒÔ¼°³ýųÈõÄâ¸Ë¾úÍâµÄÑáÑõ¾ú¾ù¾ß¿¹¾ú»îÐÔ£¬£¬£¬²¿·ÖÆæÒì±äÐθ˾ú¡¢´ó³¦°£Ï£¾ú¡¢É³ÃžúÊôºÍÖ¾ºØ¾úÊôϸ¾ú¶Ô±¾Æ·Ãô¸Ð¡£¡£°±ÜÐÎ÷ÁÖͨ¹ýÒÖÖÆÏ¸¾úϸ°û±ÚºÏ³Éʩչɱ¾ú×÷Óᣡ£
¡¾Ò©´ú¶¯Á¦Ñ§¡¿¼¡ÄÚ×¢É䱾Ʒ0.5g£¬£¬£¬ÑªÒ©·åŨ¶È£¨Cmax£©ÓÚ0.5¡«1СʱµÖ´ï£¬£¬£¬Îª12mg/L£¬£¬£¬6СʱѪҩŨ¶ÈΪ0.5mg/L¡£¡£¾²Âö×¢Éä0.5gºó15·ÖÖÓºÍ4СʱµÄѪҩŨ¶È»®·ÖΪ17mg/LºÍ0.6mg/L¡£¡£ÐÂÉú¶ùºÍÔç²ú¶ù°´ÌåÖØ¼¡ÄÚ×¢Éä10mg/kgºÍ25mg/kgºó1Сʱ£¬£¬£¬ÑªÒ©Å¨¶È´ï·åÖµ£¬£¬£¬»®·ÖΪ20mg/LºÍ60mg/L¡£¡£Ôи¾ÑªÒ©Å¨¶ÈÏÔ׎ϷÇÈÑÉïÆÚΪµÍ¡£¡£±¾Æ·ÌåÄÚÂþÑÜÓÅÒ죬£¬£¬Ï¸¾úÐÔÄÔĤÑײ¡ÈËÖðÈÕ°´ÌåÖØ¾²Âö×¢Éä150mg/kg£¬£¬£¬Ç°3ÌìÄÔ¼¹ÒºÖÐŨ¶È¿É2.9mg/L£¬£¬£¬ÒÔºóËæÑ×Ö¢¼õÇá¶ø½µµÍ¡£¡£Õý³£ÄÔ¼¹ÒºÖнöº¬ÉÙÁ¿°±ÜÐÎ÷ÁÖ¡£¡£±¾Æ·¿É͸¹ýÌ¥ÅÌÆÁÕÏ£¬£¬£¬ÔÚÑòË®ÖеִïÒ»¶¨Å¨¶È¡£¡£·Î²¿Ñ¬È¾²¡È˵ÄÖ§Æø¹ÜÉøÍ¸ÒºÖÐŨ¶ÈΪͬÆÚѪҩŨ¶ÈµÄ1/50¡£¡£Ðظ¹Ë®¡¢ÑÛ·¿Ë®¡¢ÊàŦǻ»ýÒº¡¢ÈéÖÖнÔÓÐÏ൱Á¿µÄ±¾Æ·¡£¡£É˺®´ø¾úÕßµ¨ÖÖÐŨ¶Èƽ¾ùΪѪҩŨ¶ÈµÄ3±¶¶à£¬£¬£¬×î¸ß¿É´ï17.8±¶¡£¡£±¾Æ·ÑªÇåÂѰ×Á¬ÏµÂÊΪ20%£¬£¬£¬ÑªÏû³ý°ëË¥ÆÚ(t1/2¦Â£©Îª1¡«1.5Сʱ£¬£¬£¬ÐÂÉú¶ùt1/2¦ÂΪ1.7¡«4Сʱ£¬£¬£¬Éö¹¦Ð§²»È«»¼Õß¿ÉÑÓÉìÖÁ7¡«20Сʱ¡£¡£¼¡ÄÚ×¢ÉäºÍ¾²Âö×¢Éäºó24СʱÄòÖÐÇãÔþµÄ°±ÜÐÎ÷ÁÖ»®·ÖΪ¸øÒ©Á¿µÄ50%ºÍ70%£¬£¬£¬ÉÙÁ¿ÔÚ¸ÎÔà´úлÃð»î»ò¾µ¨ÖÉøÍ¸¡£¡£±¾Æ·¿ÉΪѪҺ͸Îöɨ³ý£¬£¬£¬¶ø¸¹Ä¤Í¸Îö²»¿Éɨ³ý±¾Æ·¡£¡£
¡¾Öü²Ø¡¿Ãܱգ¬£¬£¬ÔÚ¸ÉÔï´¦£¨10¡«30¡æ£©ÉúÑÄ¡£¡£
¡¾°ü×°¡¿Î÷ÁÖÆ¿×°¡£¡£10Ö§/ºÐ¡£¡£
¡¾ÓÐÓÃÆÚ¡¿24¸öÔÂ
¡¾Ö´Ðбê×¼¡¿¡¶ÖйúÒ©µä¡·2015Äê°æ¶þ²¿
¡¾Åú×¼Îĺš¿¹úÒ©×¼×ÖH14020370
¡¾Éú²úÆóÒµ¡¿ÆóÒµÃû³Æ£ºÉ½Î÷304amÓÀÀû¼¯ÍÅÌ©Ê¢ÖÆÒ©ÓÐÏÞ¹«Ë¾
Éú²úµØµã£ºÉ½Î÷Ê¡´óͬÊо¼ÃÊÖÒÕ¿ª·¢ÇøµÚÒ»Ò½Ò©Ô°Çø
ÓÊÕþ±àÂ룺037300
µç»°ºÅÂ룺0352¡ª7290991
´«ÕæºÅÂ룺0352¡ª7290990
