
¡¾Ò©Æ·Ãû³Æ¡¿Í¨ÓÃÃû³Æ£ºÍ·æß¿Ëë¿Æ¬
Ó¢ÎÄÃû³Æ£ºCefixime Tablets
ººÓïÆ´Òô£ºToubaokewo Pian
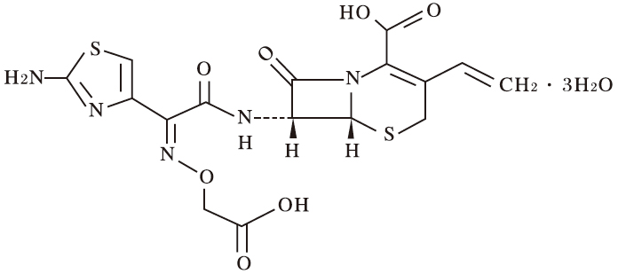
¡¾³É·Ý¡¿±¾Æ·Ö÷Òª³É·ÝÊÇÍ·æß¿Ëë¿£¬£¬£¬Æä»¯Ñ§ÃûΪ£º(6R£¬£¬£¬7R)-7-[[(Z)-2-(2-°±»ù-4-àçßò»ù)-2-[(ôȼ×Ñõ»ù)Ñǰ±»ù]ÒÒõ£»£»£»£»ù]°±»ù]-3-ÒÒÏ©»ù-8-Ñõ´ú-5-ÁòÔÓ-1-µªÔÓË«»·[4£¬£¬£¬2£¬£¬£¬0]-ÐÁ-2-Ï©-2-ôÈËáÈýË®ºÏÎï¡£¡£¡£¡£
Æä½á¹¹Ê½Îª£º

·Ö×Óʽ£ºC16H15N5O7S2¡¤3H2O
·Ö×ÓÁ¿£º507.50
¡¾ÐÔ×´¡¿±¾Æ·ÎªÀà°×ɫƬ»ò±¡Ä¤ÒÂÆ¬£¬£¬£¬³ýÈ¥±¡Ä¤ÒºóÏÔ°×É«ÖÁµ»ÆÉ«¡£¡£¡£¡£
¡¾Ë³Ó¦Ö¢¡¿¶ÔÁ´Çò¾úÊô(³¦Çò¾ú³ýÍâ)£¬£¬£¬·ÎÑ×Çò¾ú¡¢ÁÜÇò¾ú¡¢¿¨Ëû²¼À¼ººÇò¾ú¡¢´ó³¦¸Ë¾ú¡¢¿ËÀײ®¸Ë¾úÊô¡¢É³À×¾úÊô¡¢±äÐθ˾úÊô¡¢Á÷¸Ð¸Ë¾úÖÐÍ·æß¿Ëë¿Ãô¸Ð¾úÒýÆðµÄÒÔÏÂѬȾÓÐÓᣡ£¡£¡£1¡¢ÂýÐÔÖ§Æø¹ÜÑ×¼±ÐÔ±¬·¢¡¢¼±ÐÔÖ§Æø¹ÜÑײ¢·¢Ï¸¾úѬȾ¡¢Ö§Æø¹ÜÀ©Õźϲ¢Ñ¬È¾¡¢·ÎÑ×£»£»£»£»2¡¢ÉöÓÛÉöÑס¢°òë×Ñס¢ÁÜÇò¾úÐÔÄòµÀÑ×£»£»£»£»3¡¢¼±ÐÔµ¨µÀϵͳϸ¾úÐÔѬȾ(µ¨ÄÒÑס¢µ¨¹ÜÑ×)£»£»£»£»4¡¢ÐɺìÈÈ£»£»£»£»5¡¢ÖжúÑס¢±Çñ¼Ñס£¡£¡£¡£
¡¾¹æ¸ñ¡¿50mg/Á£(°´C16H15N5O7S2ÅÌËã)¡£¡£¡£¡£
¡¾Ó÷¨ÓÃÁ¿¡¿¿Ú·þ¡£¡£¡£¡£³ÉÈ˼°ÌåÖØ30¹«½ïÒÔÉ϶ùͯÓÃÁ¿£º¿Ú·þ£¬£¬£¬Ò»´Î100mg(2Á£)£¬£¬£¬Ò»ÈÕ¶þ´Î£»£»£»£»³ÉÈËÖØÖ¢Ñ¬È¾Õߣ¬£¬£¬¿ÉÔöÌíÖÁÒ»´Î200mg(4Á£)£¬£¬£¬Ò»ÈÕ¶þ´Î¡£¡£¡£¡£¶ùͯ£º¿Ú·þ£¬£¬£¬°´Ò»´Îÿ¹«½ï1.5¡«3.0mgÅÌËã¸øÒ©Á¿£¬£¬£¬Ò»ÈÕ¶þ´Î¡£¡£¡£¡£»£»£»£»ò×ñÒ½Öö¡£¡£¡£¡£
¡¾²»Á¼·´Ó³¡¿ÔÚ×ܲ¡Àý12879ÀýÖУ¬£¬£¬·¢Ã÷°üÀ¨ÁÙ´²¼ì²éÖµÒì³£ÔÚÄÚ¹²294Àý(2.58%)µÄ²»Á¼·´Ó³¡£¡£¡£¡£ÕâЩ²»Á¼·´Ó³°üÀ¨¸¹ÐºµÈÏû»¯µÀÖ¢×´112Àý(0.87%)£¬£¬£¬Æ¤ÕîµÈƤ·ôÖ¢×´29Àý(0.23%)£¬£¬£¬ÁíÍ⣬£¬£¬ÁÙ´²¼ì²éÖµÒì³£°üÀ¨GPTÉý¸ß78Àý(0.61%)£¬£¬£¬GOTÉý¸ß58Àý(0.45%)£¬£¬£¬ÊÈËáϸ°ûÔö¶à26Àý(0.20%)µÈ¡£¡£¡£¡£1¡¢ÑÏÖØ²»Á¼·´Ó³£º¢ÙÐݿˣºÓÉÓÚÒýÆðÐÝ¿Ë(<0.1%)µÄ¿ÉÄÜÐÔ£¬£¬£¬Ó¦Ç×½üÊӲ죬£¬£¬ÈôÓзºÆð²»ÊʸУ¬£¬£¬¿ÚÄÚÒì³£¸Ð¡¢Ïø´¡¢Ñ£ÔΡ¢±ãÒâ¡¢¶úÃù¡¢³öº¹µÈÕ÷Ï󣬣¬£¬Ó¦×èÖ¹¸øÒ©£¬£¬£¬½ÓÄÉÊʵ±´¦Àí£»£»£»£»¢Ú¹ýÃôÑùÖ¢×´£ºÓзºÆð¹ýÃôÑùÖ¢×´(°üÀ¨ºôÎüÄÑÌ⡢ȫÉí³±ºì¡¢Ñª¹ÜÐÔË®Öס¢Ý¡ÂéÕîµÈ)(<0.1%£©µÄ¿ÉÄÜÐÔ£¬£¬£¬Ó¦Ç×½üÊӲ죬£¬£¬ÈôÓÐÒì³£±¬·¢Ê±×èÖ¹¸øÒ©£¬£¬£¬½ÓÄÉÊʵ±´¦Àí£»£»£»£»¢ÛƤ·ô²¡±ä£ºÓб¬·¢Æ¤·ôճĤÑÛÖ¢ºòȺ(Stevens-JohnsonÖ¢ºòȺ<0.1%)¡¢Öж¾ÐÔ±íÆ¤»µËÀÖ¢(LyellÖ¢ºòȺ£¬£¬£¬<0.1%)µÄ¿ÉÄÜÐÔ£¬£¬£¬Ó¦Ç×½üÊӲ죬£¬£¬ÈôÓб¬·¢·¢ÈÈ¡¢Í·Í´¡¢ÊàŦʹ¡¢Æ¤·ô»òճĤºì°ß¡¢Ë®ÅÝ¡¢Æ¤·ôÖ÷Òª¸Ð¡¢×ÆÈȸС¢ÌÛÍ´µÈÖ¢×´£¬£¬£¬Ó¦×èÖ¹¸øÒ©£¬£¬£¬½ÓÄÉÊʵ±´¦Àí£»£»£»£»¢ÜѪҺÕϰ£ºÓб¬·¢Á£Ï¸°ûȱ·¦Ö¢(<0.1%£¬£¬£¬ÔçÆÚÖ¢×´£º·¢ÈÈ¡¢ÑʺíÌÛ¡¢Í·ÌÛ¡¢Æ£¾ë¸ÐµÈ)¡¢ÈÜѪÐÔѪÐé(<0.1%£¬£¬£¬ÔçÆÚÖ¢×´£º·¢ÈÈ¡¢ÑªºìÂѰ×Äò¡¢ÑªÐéµÈÖ¢×´)¡¢ÑªÐ¡°åïÔÌ(<0.1%£¬£¬£¬ÔçÆÚÖ¢×´£ºµã×´³öѪ¡¢×ϰߵÈ)µÄ¿ÉÄÜÐÔ£¬£¬£¬ÇÒÓÐÆäËûÍ·æßÀ࿹ÉúËØÔìÓñ³ÉѪϸ°ûïÔ̵ı¨¸æ£¬£¬£¬Òò´ËÓ¦Ç×½üÊӲ죬£¬£¬ÀýÈç¾ÙÐа´ÆÚ¼ì²éµÈ£¬£¬£¬ÓÐÒì³£±¬·¢Ê±Ó¦×èÖ¹¸øÒ©£¬£¬£¬½ÓÄÉÊʵ±´¦Àí£»£»£»£»¢ÝÉö¹¦Ð§Õϰ£ºÓÉÓÚÒýÆð¼±ÐÔÉö¹¦Ð§²»È«µÈÑÏÖØÉö¹¦Ð§Õϰ(<0.1%)µÄ¿ÉÄÜÐÔ£¬£¬£¬Òò´ËÓ¦Ç×½üÊӲ죬£¬£¬ÀýÈç°´ÆÚ¾ÙÐмì²éµÈ£¬£¬£¬ÈôÓÐÒì³£±¬·¢Ê±£¬£¬£¬Ó¦×èÖ¹¸øÒ©£¬£¬£¬½ÓÄÉÊʵ±´¦Àí£»£»£»£»¢Þ½á³¦Ñ×£º¿ÉÄÜÒýÆð°éÓÐѪ±ãµÄÑÏÖØ´ó³¦Ñ×ÀýÈçαĤÐԽ᳦Ñ×µÈ(<0.1%)¡£¡£¡£¡£ÈôÓи¹Í´¡¢Öظ´¸¹Ðº·ºÆðʱ£¬£¬£¬Ó¦Á¬Ã¦×èÖ¹¸øÒ©£¬£¬£¬½ÓÄÉÊʵ±´¦Àí£»£»£»£»¢ß¼äÖÊÐÔ·ÎÑס¢PIEÖ¢ºòȺ£ºÓзºÆð°éÓз¢ÈÈ¡¢¿ÈËÔ¡¢ºôÎüÄÑÌâ¡¢ÐØ²¿XÏßÒì³£¡¢ÊÈËáϸ°ûÔö¶àµÈÖ¢×´µÄ¼äÖÊÐÔ·ÎÑס¢PIEÖ¢ºòȺ(»®·Ö<0.1%)µÈµÄ¿ÉÄÜÐÔ£¬£¬£¬ÈôÓÐÉÏÊöÖ¢×´±¬·¢Ó¦×èÖ¹¸øÒ©£¬£¬£¬½ÓÄɸøÓèÌÇÆ¤Öʼ¤ËصÈÊʵ±´¦Àí¡£¡£¡£¡£2¡¢ÆäËû²»Á¼·´Ó³£º²»Á¼·´Ó³±¬·¢ÂÊÔÚ0.1¡«5%Ϊ³£¼û£¬£¬£¬ÔÚ0.1%ÒÔÏÂΪÉÙ¼û¡£¡£¡£¡£¹ýÃô£º³£¼ûƤÕݡÂéÕî¡¢ºì°ß£¬£¬£¬ÉÙ¼ûðþÑ÷¡¢·¢ÈÈ¡¢¸¡Ö×£»£»£»£»ÑªÒº£º³£¼û(0.1¡«5%)ÊÈËáϸ°ûÔö¶à£¬£¬£¬ÉÙ¼ûÁ£Ï¸°ûïÔÌ£»£»£»£»¸ÎÔࣺ³£¼û¹È±ûת°±Ã¸(ALP/GPT)Éý¸ß¡¢¹È±ûת°±Ã¸(AST/GOT)Éý¸ß£¬£¬£¬ÉÙ¼û»Æð㣻£»£»£»ÉöÔࣺÉÙ¼ûÄòËØµª(BUN)Éý¸ß£»£»£»£»Ïû»¯ÏµÍ³£º³£¼ûÓи¹Ðº¡¢Î¸²¿²»ÊÊ£¬£¬£¬ÉÙ¼û¶ñÐÄ¡¢ÍÂÄæ¡¢¸¹Í´¡¢Ðز¿ÉÕׯ¸Ð¡¢Ê³Óû²»Õñ¡¢¸¹²¿·áÂú¸Ð¡¢±ãÃØ£»£»£»£»¾úȺʧµ÷Ö¢£ºÉÙ¼û¿ÚÇ»Ñס¢¿ÚÇ»ÄîÇò¾úÖ¢£»£»£»£»Î¬ÉúËØÈ±·¦Ö¢£ºÉÙ¼ûάÉúËØKȱ·¦Ö¢(µÍÄýѪøÔѪ֢£¬£¬£¬³öѪÇãÏòµÈ)¡¢Î¬ÉúËØBȱ·¦Ö¢ÉàÑס¢¿ÚÇ»Ñס¢Ê³Óû²»Õñ¡¢Éñ¾Ñ×µÈ)£»£»£»£»ÆäËû£ºÍ·Í´¡¢Í·ÔΡ£¡£¡£¡£
¡¾½û¼É¡¿¶Ô±¾Æ·»òÆäËûÍ·æßÀ࿹ÉúËØ¹ýÃôÕß¡£¡£¡£¡£
¡¾×¢ÖØÊÂÏî¡¿1¡¢Îª·ÀÖ¹ÄÍÒ©¾úÖêµÄ·ºÆð£¬£¬£¬ÔÚʹÓñ¾Æ·Ç°ÔÔòÉÏӦȷÈÏÃô¸ÐÐÔ£¬£¬£¬½«¼ÁÁ¿¿ØÖÆÔÚ¿ØÖƼ²²¡ËùÐè×îС¼ÁÁ¿¡£¡£¡£¡£2¡¢¹ØÓÚÑÏÖØÉö¹¦Ð§Õϰ»¼Õߣ¬£¬£¬ÓÉÓÚÒ©ÎïÔÚѪҺÖпÉά³ÖŨ¶È£¬£¬£¬Òò´ËӦƾ֤Éö¹¦Ð§×´Ì¬Êʵ±¼õÁ¿£¬£¬£¬¸øÒ©¾àÀëÓ¦Êʵ±Ôö´ó¡£¡£¡£¡£3¡¢ÏÂÁл¼ÕßÎÈÖØ¸øÒ©£º¢Ù¶ÔÇàÃ¹ËØÀàÓйýÃôÊ·µÄ»¼Õß¡£¡£¡£¡£¢Ú×Ô¼º»òâïÊÑ¡¢ÐÖµÜÖУ¬£¬£¬¾ßÓÐÒ×ÒýÆðÖ§Æø¹ÜÏø´¡¢Æ¤ÕݡÂéÕîµÈ¹ýÃôÖ¢×´ÌåÖʵϼÕß¡£¡£¡£¡£¢ÛÑÏÖØµÄÉö¹¦Ð§Õϰ»¼Õß¡£¡£¡£¡£¢Ü¾¿Ú¸øÒ©ÄÑÌâ»ò·Ç¾¿ÚÓªÑø»¼Õߣ¬£¬£¬È«Éí¶ñÒºÖÊ״̬»¼Õß¡£¡£¡£¡£(ÒòʱÓзºÆðάÉúËØKȱ·¦Ö¢×´£¬£¬£¬Ó¦×¢ÖØÊÓ²ì)¡£¡£¡£¡£4¡¢ÓÉÓÚÓпÉÄÜ·ºÆðÐݿˣ¬£¬£¬¸øÒ©Ç°Ó¦³ä·ÖѯÎʲ¡Ê·¡£¡£¡£¡£5¡¢²»Òª½«Å£ÄÌ¡¢¹ûÖµÈÓëÒ©»ìÏýºó·ÅÖᣡ£¡£¡£6¡¢¶ÔÁÙ´²Ä¥Á·Ð§¹ûµÄÓ°Ï죺¢Ù³ýÊÔÖ½·´Ó³ÒÔÍ⣬£¬£¬¶Ô°ßÊÏ(Benedict)ÊÔ¼Á¡¢ÑÇÌú(Fehling)ÊÔ¼Á¡¢ÄòÌÇÊÔÒ©Íè(Clinitest)¾ÙÐÐÄòÌǼì²é£¬£¬£¬ÓмÙÑôÐÔ·ºÆðµÄ¿ÉÄÜÐÔ£¬£¬£¬Ó¦ÓèÒÔ×¢ÖØ¡£¡£¡£¡£¢ÚÓзºÆðÖ±½Ó¿âķ˹ÊÔÑéÑôÐԵĿÉÄÜÐÔ£¬£¬£¬Ó¦ÓèÒÔ×¢ÖØ¡£¡£¡£¡£
¡¾Ôи¾¼°²¸ÈéÆÚ¸¾Å®ÓÃÒ©¡¿ÈÑÉïÆÚ¸¾Å®Ê¹Óñ¾Æ·µÄÇå¾²ÐÔºÍÓÐÓÃÐÔÉÐδȷÁ¢£¬£¬£¬½öÔÚȷʵÐèҪʹÓÃʱʹÓñ¾Æ·£»£»£»£»Éв»ÇåÎú±¾Æ·ÊÇ·ñ´ÓÈéÖÖÐÉøÍ¸£¬£¬£¬±ØÐèʹÓÃʱӦÔÝÍ£²¸Èé¡£¡£¡£¡£
¡¾¶ùͯÓÃÒ©¡¿¹ØÓÚÔç²ú¶ù¡¢ÐÂÉú¶ùÓÃÒ©µÄÇå¾²ÐÔÉÐδȷÁ¢(ûÓÐʹÓÃÂÄÀú)¡£¡£¡£¡£
¡¾ÍíÄêÓÃÒ©¡¿ÍíÄ껼ÕßÓÃÒ©×üõ¡£¡£¡£¡£
¡¾Ò©ÎïÏ໥×÷Óá¿¿¨ÂíÎ÷ƽ£ºÓ뱾ƷÊÊÓÃʱ¿ÉÒýÆð¿¨ÂíÎ÷ƽˮƽÉý¸ß£¬£¬£¬±ØÐèÊÊÓÃʱӦ¼à²âѪ½¬Öп¨ÂíÎ÷ƽŨ¶È¡£¡£¡£¡£»£»£»£»ªÖ´·¨ºÍ¿¹ÄýÒ©ÎÓ뱾ƷÊÊÓÃʱÔöÌíÄýѪøÔʱ¼ä¡£¡£¡£¡£
¡¾Ò©Îï¹ýÁ¿¡¿Ï´Î¸£¬£¬£¬ÎÞÌØÊâ½â¶¾Ò©Î£¬£¬ÑªÒºÍ¸ÎöºÍ¸¹Ä¤Í¸Îö²»¿ÉÓÐÓý«±¾Æ·É¨³ý¡£¡£¡£¡£
¡¾Ò©Àí¶¾Àí¡¿Ò©Àí×÷Ó㺱¾Æ·Îª¿Ú·þµÚÈý´úÍ·æß¾úËØ£¬£¬£¬¿¹¾úÆ×¹ã£¬£¬£¬¶Ô²¿·Ö¸ïÀ¼ÊÏÑôÐÔ¾ú¼°ÒõÐÔ¾ú¾ù¾ßÓп¹¾ú»îÐÔ£¬£¬£¬ÌØÊâÊǶԸïÀ¼ÊÏÑôÐÔ¾úÖеÄÁ´Çò¾ú(³¦Çò¾ú³ýÍâ)¡¢·ÎÑ×Çò¾ú£¬£¬£¬¸ïÀ¼ÊÏÒõÐÔ¾úÖеÄÁÜÇò¾ú¡¢²¼À¼ººÊÏÇò¾ú¡¢´ó³¦¾ú¡¢¿ËÀײ®ÊÏÊô¡¢É³À×ÊÏÊô¡¢±äÐθ˾úÊô¡¢Á÷¸Ð¸Ë¾úµÈÓнÏÇ¿µÄ¿¹¾ú×÷Ó㬣¬£¬Æä×÷ÓûúÖÆÎª×èֹϸ¾úϸ°û±ÚµÄºÏ³É£¬£¬£¬Æä×÷ÓõãÒòϸ¾úµÄÖÖÀà¶øÒ죬£¬£¬ÓëÇàÃ¹ËØÁ¬ÏµÂѰ×(PBP£©ÖÐPBP1(1a£¬£¬£¬1b£¬£¬£¬1c)ÒÔ¼°PBP3ÓнϸßÇ׺ÍÐÔ¡£¡£¡£¡£±¾Æ·¶ÔÖÖÖÖϸ¾ú±¬·¢µÄ¦Â-ÄÚõ£°·Ã¸¾ßÓнÏÇ¿µÄÎȹÌÐÔ¡£¡£¡£¡£
ÉúÖ³¶¾ÐÔ£ºSD´óÊóÔÚÈÑÉïǰºÍÈÑÉï³õÆÚ¿Ú·þ¸øÒ©100¡«1000mg/kg£¬£¬£¬ÔÚÆ÷¹ÙÐÎ³ÉÆÚ¡¢Î§²úÆÚ¡¢²¸ÈéÆÚ¿Ú·þ¸øÒ©320¡«3200mg/kg£¬£¬£¬¶Ô´óÊóÉúÓýÁ¦Î´¼ûÓ°Ï죬£¬£¬Î´·ºÆðÖ»û×÷Ó㬣¬£¬ÐÂÉúÓ×ÊóµÄÉú³¤¡¢·¢ÓýºÍÉúÖ³ÄÜÁ¦Ò²Î´·¢Ã÷Òì³£¡£¡£¡£¡£
¡¾Ò©´ú¶¯Á¦Ñ§¡¿¾ÝPDR57°æ£ºÍ·æß¿Ëë¿¿Ú·þºó£¬£¬£¬Æä¾ø¶ÔÉúÎïʹÓöÈΪ40¡«50%£¬£¬£¬²»ÊÜÒûʳӰÏì¡£¡£¡£¡£Í·æß¿Ëë¿Æ¬¼Á200mgµ¥¼Á¿Ú·þ£¬£¬£¬Ñª½¬·åŨ¶ÈΪ3.7¦Ìg/ml£¬£¬£¬µÈ¼ÁÁ¿¿Ú·þÍ·æß¿Ëë¿»ìÐüÒº±¬·¢µÄ·åŨ¶È±ÈƬ¼Áºá¿ç25%¡«50%¡£¡£¡£¡£Í·æß¿Ëë¿200mg»ìÐüÒººÍ400mg»ìÐüÒº±¬·¢µÄƽ¾ù·åŨ¶ÈΪ3¦Ìg/mlºÍ4.6¦Ìg/ml£¬£¬£¬¿Ú·þÍ·æß¿Ëë¿»ìÐüÒº100mgÖÁ400mg£¬£¬£¬Ê±¼ä-Ũ¶ÈÇúÏßÏÂÃæ»ý±È¿Ú·þµÈ¼ÁÁ¿Æ¬¼Áºá¿ç10%-25%£¬£¬£¬»ìÐüÒº¼ÁÐÍÌæ»»Æ¬¼Á¼ÁÐÍӦ˼Á¿µ½ÆäÔöÌíµÄÎüÊÕÁ¿¡£¡£¡£¡£µ¥¼Á¿Ú·þ200mgƬ¼Á¡¢400mgƬ¼Á¡¢400mg»ìÐüÒºµÄ´ï·åʱ¼äΪ2¡«6Сʱ£¬£¬£¬µ¥¼Á¿Ú·þ200mg»ìÐüÒºµÄ´ï·åʱ¼äΪ2¡«5Сʱ£¬£¬£¬24СʱÄÚÎüÊÕÒ©ÎïµÄ50%ÒÔÕæÏà´ÓÄòÖÐÇãÔþ¡£¡£¡£¡£ÑªÇåÂѰ×Á¬ÏµÂÊΪ65%£¬£¬£¬Á¬Ðø·þÒ©14Ì죬£¬£¬Î´·¢Ã÷Í·æß¿Ëë¿ÔÚÌåÄÚÓÐÐî»ý×÷Ó㬣¬£¬Í·æß¿Ëë¿Ñª½¬°ëË¥ÆÚΪ3¡«4Сʱ£¬£¬£¬µ«ÔÚһЩ×ÔÔ¸Õ߿ɴï9Сʱ£¬£¬£¬Óë¼ÁÐÍÎ޹ء£¡£¡£¡£
ÌØÊâÈËȺҩ´ú¶¯Á¦Ñ§£ºÍíÄ껼ÕߣºÎÈ̬ʱƽ¾ùAUCs±ÈÕý³£³ÉÄêÈËÔ¼ÓÐ40%µÄÉý¸ß¡£¡£¡£¡£Éö¹¦Ð§²»È«ÊÜÊÔÕߣº¼¡ôûɨ³ýÂÊΪ20¡«50ml/minʱ£¬£¬£¬Í·æß¿Ëë¿Æ½¾ùѪÇå°ëË¥ÆÚÑÓÉìÖÁ6.4Сʱ£»£»£»£»¼¡ôûɨ³ýÂÊΪ5¡«20ml/minʱ£¬£¬£¬Í·æß¿Ëë¿Æ½¾ùѪÇå°ëË¥ÆÚÑÓÉìÖÁ11.5Сʱ¡£¡£¡£¡£ÑªÒºÍ¸ÎöºÍ¸¹Ä¤Í¸Îö£ºÍ·æß¿Ë뿲»¿ÉÓÐÓõشÓѪÖÐɨ³ý¡£¡£¡£¡£µ«Ò²ÓÐÎÄÏ×ÌáÐÑ£¬£¬£¬ÑªÒºÍ¸ÎöµÄ»¼Õߣ¬£¬£¬·þÓÃ400mg¼ÁÁ¿Í·æß¿Ëë¿£¬£¬£¬ÆäѪÖÐת±äÇéÐκͼ¡ôûɨ³ýÂÊˮƽΪ21¡«60ml/minµÄÊÜÊÔÕßÏàËÆ¡£¡£¡£¡£
¡¾Öü²Ø¡¿Õڹ⣬£¬£¬Ãܷ⣬£¬£¬ÔÚÒõÁ¹´¦(²»Áè¼Ý20¡æ)ÉúÑÄ¡£¡£¡£¡£
¡¾°ü×°¡¿ÂÁ²ÆøÅÝÑÛ°ü×°£¬£¬£¬50mg¡Ál2Ƭ/ºÐ¡£¡£¡£¡£
¡¾ÓÐÓÃÆÚ¡¿24¸öÔ¡£¡£¡£¡£
¡¾Ö´Ðбê×¼¡¿¡¶ÖйúÒ©µä¡·2020Äê°æ¶þ²¿
¡¾Åú×¼Îĺš¿¹úÒ©×¼×ÖH20041379
¡¾ÉÏÊÐÔÊÐí³ÖÓÐÈË¡¿Ãû³Æ£ºÉ½Î÷304amÓÀÀû¼¯ÍÅÌ©Ê¢ÖÆÒ©ÓÐÏÞ¹«Ë¾
×¢²áµØµã£ºÉ½Î÷Ê¡´óͬÊо¼ÃÊÖÒÕ¿ª·¢ÇøµÚÒ»Ò½Ò©Ô°Çø
¡¾Éú²úÆóÒµ¡¿ÆóÒµÃû³Æ£ºÉ½Î÷304amÓÀÀû¼¯ÍÅÌ©Ê¢ÖÆÒ©ÓÐÏÞ¹«Ë¾
Éú²úµØµã£ºÉ½Î÷Ê¡´óͬÊо¼ÃÊÖÒÕ¿ª·¢ÇøµÚÒ»Ò½Ò©Ô°Çø
ÓÊÕþ±àÂ룺037300
µç»°ºÅÂ룺0352¡ª7290991
´«ÕæºÅÂ룺0352¡ª7290990

¡¾Ò©Æ·Ãû³Æ¡¿Í¨ÓÃÃû³Æ£ºÍ·æß¿Ëë¿Æ¬
Ó¢ÎÄÃû³Æ£ºCefixime Tablets
ººÓïÆ´Òô£ºToubaokewo Pian
¡¾³É·Ý¡¿±¾Æ·Ö÷Òª³É·ÝÊÇÍ·æß¿Ëë¿£¬£¬£¬Æä»¯Ñ§ÃûΪ£º(6R£¬£¬£¬7R)-7-[[(Z)-2-(2-°±»ù-4-àçßò»ù)-2-[(ôȼ×Ñõ»ù)Ñǰ±»ù]ÒÒõ£»£»£»£»ù]°±»ù]-3-ÒÒÏ©»ù-8-Ñõ´ú-5-ÁòÔÓ-1-µªÔÓË«»·[4£¬£¬£¬2£¬£¬£¬0]-ÐÁ-2-Ï©-2-ôÈËáÈýË®ºÏÎï¡£¡£¡£¡£
Æä½á¹¹Ê½Îª£º

·Ö×Óʽ£ºC16H15N5O7S2¡¤3H2O
·Ö×ÓÁ¿£º507.50
¡¾ÐÔ×´¡¿±¾Æ·ÎªÀà°×ɫƬ»ò±¡Ä¤ÒÂÆ¬£¬£¬£¬³ýÈ¥±¡Ä¤ÒºóÏÔ°×É«ÖÁµ»ÆÉ«¡£¡£¡£¡£
¡¾Ë³Ó¦Ö¢¡¿¶ÔÁ´Çò¾úÊô(³¦Çò¾ú³ýÍâ)£¬£¬£¬·ÎÑ×Çò¾ú¡¢ÁÜÇò¾ú¡¢¿¨Ëû²¼À¼ººÇò¾ú¡¢´ó³¦¸Ë¾ú¡¢¿ËÀײ®¸Ë¾úÊô¡¢É³À×¾úÊô¡¢±äÐθ˾úÊô¡¢Á÷¸Ð¸Ë¾úÖÐÍ·æß¿Ëë¿Ãô¸Ð¾úÒýÆðµÄÒÔÏÂѬȾÓÐÓᣡ£¡£¡£1¡¢ÂýÐÔÖ§Æø¹ÜÑ×¼±ÐÔ±¬·¢¡¢¼±ÐÔÖ§Æø¹ÜÑײ¢·¢Ï¸¾úѬȾ¡¢Ö§Æø¹ÜÀ©Õźϲ¢Ñ¬È¾¡¢·ÎÑ×£»£»£»£»2¡¢ÉöÓÛÉöÑס¢°òë×Ñס¢ÁÜÇò¾úÐÔÄòµÀÑ×£»£»£»£»3¡¢¼±ÐÔµ¨µÀϵͳϸ¾úÐÔѬȾ(µ¨ÄÒÑס¢µ¨¹ÜÑ×)£»£»£»£»4¡¢ÐɺìÈÈ£»£»£»£»5¡¢ÖжúÑס¢±Çñ¼Ñס£¡£¡£¡£
¡¾¹æ¸ñ¡¿50mg/Á£(°´C16H15N5O7S2ÅÌËã)¡£¡£¡£¡£
¡¾Ó÷¨ÓÃÁ¿¡¿¿Ú·þ¡£¡£¡£¡£³ÉÈ˼°ÌåÖØ30¹«½ïÒÔÉ϶ùͯÓÃÁ¿£º¿Ú·þ£¬£¬£¬Ò»´Î100mg(2Á£)£¬£¬£¬Ò»ÈÕ¶þ´Î£»£»£»£»³ÉÈËÖØÖ¢Ñ¬È¾Õߣ¬£¬£¬¿ÉÔöÌíÖÁÒ»´Î200mg(4Á£)£¬£¬£¬Ò»ÈÕ¶þ´Î¡£¡£¡£¡£¶ùͯ£º¿Ú·þ£¬£¬£¬°´Ò»´Îÿ¹«½ï1.5¡«3.0mgÅÌËã¸øÒ©Á¿£¬£¬£¬Ò»ÈÕ¶þ´Î¡£¡£¡£¡£»£»£»£»ò×ñÒ½Öö¡£¡£¡£¡£
¡¾²»Á¼·´Ó³¡¿ÔÚ×ܲ¡Àý12879ÀýÖУ¬£¬£¬·¢Ã÷°üÀ¨ÁÙ´²¼ì²éÖµÒì³£ÔÚÄÚ¹²294Àý(2.58%)µÄ²»Á¼·´Ó³¡£¡£¡£¡£ÕâЩ²»Á¼·´Ó³°üÀ¨¸¹ÐºµÈÏû»¯µÀÖ¢×´112Àý(0.87%)£¬£¬£¬Æ¤ÕîµÈƤ·ôÖ¢×´29Àý(0.23%)£¬£¬£¬ÁíÍ⣬£¬£¬ÁÙ´²¼ì²éÖµÒì³£°üÀ¨GPTÉý¸ß78Àý(0.61%)£¬£¬£¬GOTÉý¸ß58Àý(0.45%)£¬£¬£¬ÊÈËáϸ°ûÔö¶à26Àý(0.20%)µÈ¡£¡£¡£¡£1¡¢ÑÏÖØ²»Á¼·´Ó³£º¢ÙÐݿˣºÓÉÓÚÒýÆðÐÝ¿Ë(<0.1%)µÄ¿ÉÄÜÐÔ£¬£¬£¬Ó¦Ç×½üÊӲ죬£¬£¬ÈôÓзºÆð²»ÊʸУ¬£¬£¬¿ÚÄÚÒì³£¸Ð¡¢Ïø´¡¢Ñ£ÔΡ¢±ãÒâ¡¢¶úÃù¡¢³öº¹µÈÕ÷Ï󣬣¬£¬Ó¦×èÖ¹¸øÒ©£¬£¬£¬½ÓÄÉÊʵ±´¦Àí£»£»£»£»¢Ú¹ýÃôÑùÖ¢×´£ºÓзºÆð¹ýÃôÑùÖ¢×´(°üÀ¨ºôÎüÄÑÌ⡢ȫÉí³±ºì¡¢Ñª¹ÜÐÔË®Öס¢Ý¡ÂéÕîµÈ)(<0.1%£©µÄ¿ÉÄÜÐÔ£¬£¬£¬Ó¦Ç×½üÊӲ죬£¬£¬ÈôÓÐÒì³£±¬·¢Ê±×èÖ¹¸øÒ©£¬£¬£¬½ÓÄÉÊʵ±´¦Àí£»£»£»£»¢ÛƤ·ô²¡±ä£ºÓб¬·¢Æ¤·ôճĤÑÛÖ¢ºòȺ(Stevens-JohnsonÖ¢ºòȺ<0.1%)¡¢Öж¾ÐÔ±íÆ¤»µËÀÖ¢(LyellÖ¢ºòȺ£¬£¬£¬<0.1%)µÄ¿ÉÄÜÐÔ£¬£¬£¬Ó¦Ç×½üÊӲ죬£¬£¬ÈôÓб¬·¢·¢ÈÈ¡¢Í·Í´¡¢ÊàŦʹ¡¢Æ¤·ô»òճĤºì°ß¡¢Ë®ÅÝ¡¢Æ¤·ôÖ÷Òª¸Ð¡¢×ÆÈȸС¢ÌÛÍ´µÈÖ¢×´£¬£¬£¬Ó¦×èÖ¹¸øÒ©£¬£¬£¬½ÓÄÉÊʵ±´¦Àí£»£»£»£»¢ÜѪҺÕϰ£ºÓб¬·¢Á£Ï¸°ûȱ·¦Ö¢(<0.1%£¬£¬£¬ÔçÆÚÖ¢×´£º·¢ÈÈ¡¢ÑʺíÌÛ¡¢Í·ÌÛ¡¢Æ£¾ë¸ÐµÈ)¡¢ÈÜѪÐÔѪÐé(<0.1%£¬£¬£¬ÔçÆÚÖ¢×´£º·¢ÈÈ¡¢ÑªºìÂѰ×Äò¡¢ÑªÐéµÈÖ¢×´)¡¢ÑªÐ¡°åïÔÌ(<0.1%£¬£¬£¬ÔçÆÚÖ¢×´£ºµã×´³öѪ¡¢×ϰߵÈ)µÄ¿ÉÄÜÐÔ£¬£¬£¬ÇÒÓÐÆäËûÍ·æßÀ࿹ÉúËØÔìÓñ³ÉѪϸ°ûïÔ̵ı¨¸æ£¬£¬£¬Òò´ËÓ¦Ç×½üÊӲ죬£¬£¬ÀýÈç¾ÙÐа´ÆÚ¼ì²éµÈ£¬£¬£¬ÓÐÒì³£±¬·¢Ê±Ó¦×èÖ¹¸øÒ©£¬£¬£¬½ÓÄÉÊʵ±´¦Àí£»£»£»£»¢ÝÉö¹¦Ð§Õϰ£ºÓÉÓÚÒýÆð¼±ÐÔÉö¹¦Ð§²»È«µÈÑÏÖØÉö¹¦Ð§Õϰ(<0.1%)µÄ¿ÉÄÜÐÔ£¬£¬£¬Òò´ËÓ¦Ç×½üÊӲ죬£¬£¬ÀýÈç°´ÆÚ¾ÙÐмì²éµÈ£¬£¬£¬ÈôÓÐÒì³£±¬·¢Ê±£¬£¬£¬Ó¦×èÖ¹¸øÒ©£¬£¬£¬½ÓÄÉÊʵ±´¦Àí£»£»£»£»¢Þ½á³¦Ñ×£º¿ÉÄÜÒýÆð°éÓÐѪ±ãµÄÑÏÖØ´ó³¦Ñ×ÀýÈçαĤÐԽ᳦Ñ×µÈ(<0.1%)¡£¡£¡£¡£ÈôÓи¹Í´¡¢Öظ´¸¹Ðº·ºÆðʱ£¬£¬£¬Ó¦Á¬Ã¦×èÖ¹¸øÒ©£¬£¬£¬½ÓÄÉÊʵ±´¦Àí£»£»£»£»¢ß¼äÖÊÐÔ·ÎÑס¢PIEÖ¢ºòȺ£ºÓзºÆð°éÓз¢ÈÈ¡¢¿ÈËÔ¡¢ºôÎüÄÑÌâ¡¢ÐØ²¿XÏßÒì³£¡¢ÊÈËáϸ°ûÔö¶àµÈÖ¢×´µÄ¼äÖÊÐÔ·ÎÑס¢PIEÖ¢ºòȺ(»®·Ö<0.1%)µÈµÄ¿ÉÄÜÐÔ£¬£¬£¬ÈôÓÐÉÏÊöÖ¢×´±¬·¢Ó¦×èÖ¹¸øÒ©£¬£¬£¬½ÓÄɸøÓèÌÇÆ¤Öʼ¤ËصÈÊʵ±´¦Àí¡£¡£¡£¡£2¡¢ÆäËû²»Á¼·´Ó³£º²»Á¼·´Ó³±¬·¢ÂÊÔÚ0.1¡«5%Ϊ³£¼û£¬£¬£¬ÔÚ0.1%ÒÔÏÂΪÉÙ¼û¡£¡£¡£¡£¹ýÃô£º³£¼ûƤÕݡÂéÕî¡¢ºì°ß£¬£¬£¬ÉÙ¼ûðþÑ÷¡¢·¢ÈÈ¡¢¸¡Ö×£»£»£»£»ÑªÒº£º³£¼û(0.1¡«5%)ÊÈËáϸ°ûÔö¶à£¬£¬£¬ÉÙ¼ûÁ£Ï¸°ûïÔÌ£»£»£»£»¸ÎÔࣺ³£¼û¹È±ûת°±Ã¸(ALP/GPT)Éý¸ß¡¢¹È±ûת°±Ã¸(AST/GOT)Éý¸ß£¬£¬£¬ÉÙ¼û»Æð㣻£»£»£»ÉöÔࣺÉÙ¼ûÄòËØµª(BUN)Éý¸ß£»£»£»£»Ïû»¯ÏµÍ³£º³£¼ûÓи¹Ðº¡¢Î¸²¿²»ÊÊ£¬£¬£¬ÉÙ¼û¶ñÐÄ¡¢ÍÂÄæ¡¢¸¹Í´¡¢Ðز¿ÉÕׯ¸Ð¡¢Ê³Óû²»Õñ¡¢¸¹²¿·áÂú¸Ð¡¢±ãÃØ£»£»£»£»¾úȺʧµ÷Ö¢£ºÉÙ¼û¿ÚÇ»Ñס¢¿ÚÇ»ÄîÇò¾úÖ¢£»£»£»£»Î¬ÉúËØÈ±·¦Ö¢£ºÉÙ¼ûάÉúËØKȱ·¦Ö¢(µÍÄýѪøÔѪ֢£¬£¬£¬³öѪÇãÏòµÈ)¡¢Î¬ÉúËØBȱ·¦Ö¢ÉàÑס¢¿ÚÇ»Ñס¢Ê³Óû²»Õñ¡¢Éñ¾Ñ×µÈ)£»£»£»£»ÆäËû£ºÍ·Í´¡¢Í·ÔΡ£¡£¡£¡£
¡¾½û¼É¡¿¶Ô±¾Æ·»òÆäËûÍ·æßÀ࿹ÉúËØ¹ýÃôÕß¡£¡£¡£¡£
¡¾×¢ÖØÊÂÏî¡¿1¡¢Îª·ÀÖ¹ÄÍÒ©¾úÖêµÄ·ºÆð£¬£¬£¬ÔÚʹÓñ¾Æ·Ç°ÔÔòÉÏӦȷÈÏÃô¸ÐÐÔ£¬£¬£¬½«¼ÁÁ¿¿ØÖÆÔÚ¿ØÖƼ²²¡ËùÐè×îС¼ÁÁ¿¡£¡£¡£¡£2¡¢¹ØÓÚÑÏÖØÉö¹¦Ð§Õϰ»¼Õߣ¬£¬£¬ÓÉÓÚÒ©ÎïÔÚѪҺÖпÉά³ÖŨ¶È£¬£¬£¬Òò´ËӦƾ֤Éö¹¦Ð§×´Ì¬Êʵ±¼õÁ¿£¬£¬£¬¸øÒ©¾àÀëÓ¦Êʵ±Ôö´ó¡£¡£¡£¡£3¡¢ÏÂÁл¼ÕßÎÈÖØ¸øÒ©£º¢Ù¶ÔÇàÃ¹ËØÀàÓйýÃôÊ·µÄ»¼Õß¡£¡£¡£¡£¢Ú×Ô¼º»òâïÊÑ¡¢ÐÖµÜÖУ¬£¬£¬¾ßÓÐÒ×ÒýÆðÖ§Æø¹ÜÏø´¡¢Æ¤ÕݡÂéÕîµÈ¹ýÃôÖ¢×´ÌåÖʵϼÕß¡£¡£¡£¡£¢ÛÑÏÖØµÄÉö¹¦Ð§Õϰ»¼Õß¡£¡£¡£¡£¢Ü¾¿Ú¸øÒ©ÄÑÌâ»ò·Ç¾¿ÚÓªÑø»¼Õߣ¬£¬£¬È«Éí¶ñÒºÖÊ״̬»¼Õß¡£¡£¡£¡£(ÒòʱÓзºÆðάÉúËØKȱ·¦Ö¢×´£¬£¬£¬Ó¦×¢ÖØÊÓ²ì)¡£¡£¡£¡£4¡¢ÓÉÓÚÓпÉÄÜ·ºÆðÐݿˣ¬£¬£¬¸øÒ©Ç°Ó¦³ä·ÖѯÎʲ¡Ê·¡£¡£¡£¡£5¡¢²»Òª½«Å£ÄÌ¡¢¹ûÖµÈÓëÒ©»ìÏýºó·ÅÖᣡ£¡£¡£6¡¢¶ÔÁÙ´²Ä¥Á·Ð§¹ûµÄÓ°Ï죺¢Ù³ýÊÔÖ½·´Ó³ÒÔÍ⣬£¬£¬¶Ô°ßÊÏ(Benedict)ÊÔ¼Á¡¢ÑÇÌú(Fehling)ÊÔ¼Á¡¢ÄòÌÇÊÔÒ©Íè(Clinitest)¾ÙÐÐÄòÌǼì²é£¬£¬£¬ÓмÙÑôÐÔ·ºÆðµÄ¿ÉÄÜÐÔ£¬£¬£¬Ó¦ÓèÒÔ×¢ÖØ¡£¡£¡£¡£¢ÚÓзºÆðÖ±½Ó¿âķ˹ÊÔÑéÑôÐԵĿÉÄÜÐÔ£¬£¬£¬Ó¦ÓèÒÔ×¢ÖØ¡£¡£¡£¡£
¡¾Ôи¾¼°²¸ÈéÆÚ¸¾Å®ÓÃÒ©¡¿ÈÑÉïÆÚ¸¾Å®Ê¹Óñ¾Æ·µÄÇå¾²ÐÔºÍÓÐÓÃÐÔÉÐδȷÁ¢£¬£¬£¬½öÔÚȷʵÐèҪʹÓÃʱʹÓñ¾Æ·£»£»£»£»Éв»ÇåÎú±¾Æ·ÊÇ·ñ´ÓÈéÖÖÐÉøÍ¸£¬£¬£¬±ØÐèʹÓÃʱӦÔÝÍ£²¸Èé¡£¡£¡£¡£
¡¾¶ùͯÓÃÒ©¡¿¹ØÓÚÔç²ú¶ù¡¢ÐÂÉú¶ùÓÃÒ©µÄÇå¾²ÐÔÉÐδȷÁ¢(ûÓÐʹÓÃÂÄÀú)¡£¡£¡£¡£
¡¾ÍíÄêÓÃÒ©¡¿ÍíÄ껼ÕßÓÃÒ©×üõ¡£¡£¡£¡£
¡¾Ò©ÎïÏ໥×÷Óá¿¿¨ÂíÎ÷ƽ£ºÓ뱾ƷÊÊÓÃʱ¿ÉÒýÆð¿¨ÂíÎ÷ƽˮƽÉý¸ß£¬£¬£¬±ØÐèÊÊÓÃʱӦ¼à²âѪ½¬Öп¨ÂíÎ÷ƽŨ¶È¡£¡£¡£¡£»£»£»£»ªÖ´·¨ºÍ¿¹ÄýÒ©ÎÓ뱾ƷÊÊÓÃʱÔöÌíÄýѪøÔʱ¼ä¡£¡£¡£¡£
¡¾Ò©Îï¹ýÁ¿¡¿Ï´Î¸£¬£¬£¬ÎÞÌØÊâ½â¶¾Ò©Î£¬£¬ÑªÒºÍ¸ÎöºÍ¸¹Ä¤Í¸Îö²»¿ÉÓÐÓý«±¾Æ·É¨³ý¡£¡£¡£¡£
¡¾Ò©Àí¶¾Àí¡¿Ò©Àí×÷Ó㺱¾Æ·Îª¿Ú·þµÚÈý´úÍ·æß¾úËØ£¬£¬£¬¿¹¾úÆ×¹ã£¬£¬£¬¶Ô²¿·Ö¸ïÀ¼ÊÏÑôÐÔ¾ú¼°ÒõÐÔ¾ú¾ù¾ßÓп¹¾ú»îÐÔ£¬£¬£¬ÌØÊâÊǶԸïÀ¼ÊÏÑôÐÔ¾úÖеÄÁ´Çò¾ú(³¦Çò¾ú³ýÍâ)¡¢·ÎÑ×Çò¾ú£¬£¬£¬¸ïÀ¼ÊÏÒõÐÔ¾úÖеÄÁÜÇò¾ú¡¢²¼À¼ººÊÏÇò¾ú¡¢´ó³¦¾ú¡¢¿ËÀײ®ÊÏÊô¡¢É³À×ÊÏÊô¡¢±äÐθ˾úÊô¡¢Á÷¸Ð¸Ë¾úµÈÓнÏÇ¿µÄ¿¹¾ú×÷Ó㬣¬£¬Æä×÷ÓûúÖÆÎª×èֹϸ¾úϸ°û±ÚµÄºÏ³É£¬£¬£¬Æä×÷ÓõãÒòϸ¾úµÄÖÖÀà¶øÒ죬£¬£¬ÓëÇàÃ¹ËØÁ¬ÏµÂѰ×(PBP£©ÖÐPBP1(1a£¬£¬£¬1b£¬£¬£¬1c)ÒÔ¼°PBP3ÓнϸßÇ׺ÍÐÔ¡£¡£¡£¡£±¾Æ·¶ÔÖÖÖÖϸ¾ú±¬·¢µÄ¦Â-ÄÚõ£°·Ã¸¾ßÓнÏÇ¿µÄÎȹÌÐÔ¡£¡£¡£¡£
ÉúÖ³¶¾ÐÔ£ºSD´óÊóÔÚÈÑÉïǰºÍÈÑÉï³õÆÚ¿Ú·þ¸øÒ©100¡«1000mg/kg£¬£¬£¬ÔÚÆ÷¹ÙÐÎ³ÉÆÚ¡¢Î§²úÆÚ¡¢²¸ÈéÆÚ¿Ú·þ¸øÒ©320¡«3200mg/kg£¬£¬£¬¶Ô´óÊóÉúÓýÁ¦Î´¼ûÓ°Ï죬£¬£¬Î´·ºÆðÖ»û×÷Ó㬣¬£¬ÐÂÉúÓ×ÊóµÄÉú³¤¡¢·¢ÓýºÍÉúÖ³ÄÜÁ¦Ò²Î´·¢Ã÷Òì³£¡£¡£¡£¡£
¡¾Ò©´ú¶¯Á¦Ñ§¡¿¾ÝPDR57°æ£ºÍ·æß¿Ëë¿¿Ú·þºó£¬£¬£¬Æä¾ø¶ÔÉúÎïʹÓöÈΪ40¡«50%£¬£¬£¬²»ÊÜÒûʳӰÏì¡£¡£¡£¡£Í·æß¿Ëë¿Æ¬¼Á200mgµ¥¼Á¿Ú·þ£¬£¬£¬Ñª½¬·åŨ¶ÈΪ3.7¦Ìg/ml£¬£¬£¬µÈ¼ÁÁ¿¿Ú·þÍ·æß¿Ëë¿»ìÐüÒº±¬·¢µÄ·åŨ¶È±ÈƬ¼Áºá¿ç25%¡«50%¡£¡£¡£¡£Í·æß¿Ëë¿200mg»ìÐüÒººÍ400mg»ìÐüÒº±¬·¢µÄƽ¾ù·åŨ¶ÈΪ3¦Ìg/mlºÍ4.6¦Ìg/ml£¬£¬£¬¿Ú·þÍ·æß¿Ëë¿»ìÐüÒº100mgÖÁ400mg£¬£¬£¬Ê±¼ä-Ũ¶ÈÇúÏßÏÂÃæ»ý±È¿Ú·þµÈ¼ÁÁ¿Æ¬¼Áºá¿ç10%-25%£¬£¬£¬»ìÐüÒº¼ÁÐÍÌæ»»Æ¬¼Á¼ÁÐÍӦ˼Á¿µ½ÆäÔöÌíµÄÎüÊÕÁ¿¡£¡£¡£¡£µ¥¼Á¿Ú·þ200mgƬ¼Á¡¢400mgƬ¼Á¡¢400mg»ìÐüÒºµÄ´ï·åʱ¼äΪ2¡«6Сʱ£¬£¬£¬µ¥¼Á¿Ú·þ200mg»ìÐüÒºµÄ´ï·åʱ¼äΪ2¡«5Сʱ£¬£¬£¬24СʱÄÚÎüÊÕÒ©ÎïµÄ50%ÒÔÕæÏà´ÓÄòÖÐÇãÔþ¡£¡£¡£¡£ÑªÇåÂѰ×Á¬ÏµÂÊΪ65%£¬£¬£¬Á¬Ðø·þÒ©14Ì죬£¬£¬Î´·¢Ã÷Í·æß¿Ëë¿ÔÚÌåÄÚÓÐÐî»ý×÷Ó㬣¬£¬Í·æß¿Ëë¿Ñª½¬°ëË¥ÆÚΪ3¡«4Сʱ£¬£¬£¬µ«ÔÚһЩ×ÔÔ¸Õ߿ɴï9Сʱ£¬£¬£¬Óë¼ÁÐÍÎ޹ء£¡£¡£¡£
ÌØÊâÈËȺҩ´ú¶¯Á¦Ñ§£ºÍíÄ껼ÕߣºÎÈ̬ʱƽ¾ùAUCs±ÈÕý³£³ÉÄêÈËÔ¼ÓÐ40%µÄÉý¸ß¡£¡£¡£¡£Éö¹¦Ð§²»È«ÊÜÊÔÕߣº¼¡ôûɨ³ýÂÊΪ20¡«50ml/minʱ£¬£¬£¬Í·æß¿Ëë¿Æ½¾ùѪÇå°ëË¥ÆÚÑÓÉìÖÁ6.4Сʱ£»£»£»£»¼¡ôûɨ³ýÂÊΪ5¡«20ml/minʱ£¬£¬£¬Í·æß¿Ëë¿Æ½¾ùѪÇå°ëË¥ÆÚÑÓÉìÖÁ11.5Сʱ¡£¡£¡£¡£ÑªÒºÍ¸ÎöºÍ¸¹Ä¤Í¸Îö£ºÍ·æß¿Ë뿲»¿ÉÓÐÓõشÓѪÖÐɨ³ý¡£¡£¡£¡£µ«Ò²ÓÐÎÄÏ×ÌáÐÑ£¬£¬£¬ÑªÒºÍ¸ÎöµÄ»¼Õߣ¬£¬£¬·þÓÃ400mg¼ÁÁ¿Í·æß¿Ëë¿£¬£¬£¬ÆäѪÖÐת±äÇéÐκͼ¡ôûɨ³ýÂÊˮƽΪ21¡«60ml/minµÄÊÜÊÔÕßÏàËÆ¡£¡£¡£¡£
¡¾Öü²Ø¡¿Õڹ⣬£¬£¬Ãܷ⣬£¬£¬ÔÚÒõÁ¹´¦(²»Áè¼Ý20¡æ)ÉúÑÄ¡£¡£¡£¡£
¡¾°ü×°¡¿ÂÁ²ÆøÅÝÑÛ°ü×°£¬£¬£¬50mg¡Ál2Ƭ/ºÐ¡£¡£¡£¡£
¡¾ÓÐÓÃÆÚ¡¿24¸öÔ¡£¡£¡£¡£
¡¾Ö´Ðбê×¼¡¿¡¶ÖйúÒ©µä¡·2020Äê°æ¶þ²¿
¡¾Åú×¼Îĺš¿¹úÒ©×¼×ÖH20041379
¡¾ÉÏÊÐÔÊÐí³ÖÓÐÈË¡¿Ãû³Æ£ºÉ½Î÷304amÓÀÀû¼¯ÍÅÌ©Ê¢ÖÆÒ©ÓÐÏÞ¹«Ë¾
×¢²áµØµã£ºÉ½Î÷Ê¡´óͬÊо¼ÃÊÖÒÕ¿ª·¢ÇøµÚÒ»Ò½Ò©Ô°Çø
¡¾Éú²úÆóÒµ¡¿ÆóÒµÃû³Æ£ºÉ½Î÷304amÓÀÀû¼¯ÍÅÌ©Ê¢ÖÆÒ©ÓÐÏÞ¹«Ë¾
Éú²úµØµã£ºÉ½Î÷Ê¡´óͬÊо¼ÃÊÖÒÕ¿ª·¢ÇøµÚÒ»Ò½Ò©Ô°Çø
ÓÊÕþ±àÂ룺037300
µç»°ºÅÂ룺0352¡ª7290991
´«ÕæºÅÂ룺0352¡ª7290990
