
¡¾Ò©Æ·Ãû³Æ¡¿Í¨ÓÃÃû³Æ£º×¢ÉäÓÃÍ·æßßòÁÖÄÆ
Ó¢ÎÄÃû³Æ£ºCefazolin Sodium for Injection
ººÓïÆ´Òô£ºZhusheyong Toubaozuolinna
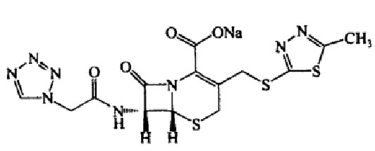
¡¾³É·Ý¡¿±¾Æ·Ö÷Òª³É·ÝΪͷæßßòÁÖÄÆ£¬£¬£¬£¬Æä»¯Ñ§ÃûΪ(6R£¬£¬£¬£¬7R)-3-[[(5-¼×»ù-1£¬£¬£¬£¬3£¬£¬£¬£¬4-àç¶þßò-2-»ù)Áò»ù]¼×»ù]-7-[(1H-Ëĵªßò-1-»ù)ÒÒõ£°±»ù]-8-Ñõ´ú-5-ÁòÔÓ-1-µªÔÓË«»·[4.2.0]ÐÁ-2-Ï©-2-¼×ËáÄÆÑΡ£¡£¡£
Æä½á¹¹Ê½Îª£º

·Ö×Óʽ£ºC14H13N8NaO4S3
·Ö×ÓÁ¿£º476.50
¡¾ÐÔ×´¡¿±¾Æ·Îª°×É«»òÀà°×É«µÄ·ÛÄ©»ò½á¾§ÐÔ·ÛÄ©£»£»£»ÎÞ³ô¡£¡£¡£
¡¾ÊÊ Ó¦ Ö¢¡¿ÊÊÓÃÓÚÖÎÁÆÃô¸Ðϸ¾úËùÖµÄÖжúÑס¢Ö§Æø¹ÜÑס¢·ÎÑ׵ȺôÎüµÀѬȾ¡¢Äò·ѬȾ¡¢Æ¤·ôÈí×é֯ѬȾ¡¢¹ÇºÍÊàŦѬȾ¡¢°ÜѪ֢¡¢Ñ¬È¾ÐÔÐÄÄÚĤÑס¢¸Îµ¨ÏµÍ³Ñ¬È¾¼°ÑÛ¡¢¶ú¡¢±Ç¡¢ºí¿ÆµÈѬȾ¡£¡£¡£±¾Æ·Ò²¿É×÷ΪÍâ¿ÆÊÖÊõǰµÄÔ¤·ÀÓÃÒ©¡£¡£¡£±¾Æ·²»ÒËÓÃÓÚÖÐÊàÉñ¾ÏµÍ³Ñ¬È¾¡£¡£¡£¶ÔÂýÐÔÄò·ѬȾ£¬£¬£¬£¬ÓÈÆä°éÓÐÄò·ÆÊ½âÒì³£ÕßµÄÁÆÐ§½Ï²î¡£¡£¡£±¾Æ·²»ÒËÓÃÓÚÖÎÁÆÁܲ¡ºÍ÷¶¾¡£¡£¡£
¡¾¹æ¸ñ¡¿°´C14H13N8NaO4S3¼Æ0.5g
¡¾Ó÷¨ÓÃÁ¿¡¿³ÉÈ˳£ÓüÁÁ¿£º¾²Âö»ºÂýÍÆ×¢¡¢¾²ÂöµÎ×¢»ò¼¡ÄÚ×¢É䣬£¬£¬£¬Ò»´Î0.5¡«1g£¬£¬£¬£¬Ò»ÈÕ2¡«4´Î£¬£¬£¬£¬ÑÏÖØÑ¬È¾¿ÉÔöÌíÖÁÒ»ÈÕ6g£¬£¬£¬£¬·Ö2¡«4´Î¾²Âö¸øÓè¡£¡£¡£¶ùͯ³£ÓüÁÁ¿£ºÒ»ÈÕ50¡«100mg/kg£¬£¬£¬£¬·Ö2¡«3´Î¾²Âö»ºÂýÍÆ×¢£¬£¬£¬£¬¾²ÂöµÎ×¢»ò¼¡ÄÚ×¢Éä¡£¡£¡£Éö¹¦Ð§¼õÍËÕߵļ¡ôûɨ³ýÂÊ´óÓÚ50ml/·Öʱ£¬£¬£¬£¬ÈԿɰ´Õý³£¼ÁÁ¿¸øÒ©¡£¡£¡£¼¡ôûɨ³ýÂÊΪ20¡«50ml/·Öʱ£¬£¬£¬£¬Ã¿8Сʱ0.5g£»£»£»¼¡ôûɨ³ýÂÊΪ11¡«34ml/·Öʱ£¬£¬£¬£¬Ã¿12Сʱ0.25g£»£»£»¼¡ôûɨ³ýÂÊСÓÚ10ml/·Öʱ£¬£¬£¬£¬Ã¿18¡«24Сʱ0.25g¡£¡£¡£ËùÓвî±ðˮƽÉö¹¦Ð§¼õÍËÕßµÄÊ״μÁÁ¿Îª0.5g¡£¡£¡£Ð¡¶ùÉö¹¦Ð§¼õÍËÕßÓ¦ÓÃÍ·æßßòÁÖʱ£¬£¬£¬£¬ÏȸøÓè12.5mg/kg£¬£¬£¬£¬¼ÌÒÔά³ÖÁ¿£¬£¬£¬£¬¼¡ôûɨ³ýÂÊÔÚ70ml/·ÖÒÔÉÏʱ£¬£¬£¬£¬ÈԿɰ´Õý³£¼ÁÁ¿¸øÓ裻£»£»¼¡ôûɨ³ýÂÊΪ40¡«70ml/·Öʱ£¬£¬£¬£¬Ã¿12Сʱ°´ÌåÖØ12.5¡«30mg/kg£»£»£»¼¡ôûɨ³ýÂÊΪ20¡«40ml/·Öʱ£¬£¬£¬£¬Ã¿12Сʱ°´ÌåÖØ3.1¡«12.5mg/kg£»£»£»¼¡ôûɨ³ýÂÊΪ5¡«20ml/·Öʱ£¬£¬£¬£¬Ã¿24Сʱ°´ÌåÖØ2.5¡«10mg/kg¡£¡£¡£±¾Æ·ÓÃÓÚÔ¤·ÀÍâ¿ÆÊÖÊõºóѬȾʱ£¬£¬£¬£¬Ò»°ãΪÊõǰ0.5¡«1Сʱ¼¡×¢»ò¾²Âö¸øÒ©1g£¬£¬£¬£¬ÊÖÊõʱ¼äÁè¼Ý6СʱÕßÊõÖмÓÓÃ0.5¡«1g£¬£¬£¬£¬Êõºóÿ6¡«8Сʱ0.5¡«1g£¬£¬£¬£¬ÖÁÊÖÊõºó24Сʱֹ¡£¡£¡£
¡¾²»Á¼·´Ó³¡¿1¡¢¾²Âö×¢É䱬·¢µÄѪ˨ÐÔ¾²ÂöÑ׺ͼ¡ÄÚ×¢ÉäÇøÌÛÍ´¾ù½ÏÍ·æßàç·ÔÉÙ¶øÇá¡£¡£¡£2¡¢Ò©Õ·¢ÂÊΪ1.1%£¬£¬£¬£¬ÊÈËáÁ£Ï¸°ûÔö¸ßµÄ±¬·¢ÂÊΪ1.7%£¬£¬£¬£¬Å¼ÓÐÒ©ÎïÈÈ¡£¡£¡£3¡¢¸öÌ岡È˿ɷºÆðÔÝʱÐÔѪÇå°±»ù×ªÒÆÃ¸¡¢¼îÐÔÁ×ËáøÉý¸ß¡£¡£¡£4¡¢Éö¹¦Ð§¼õÍ˲¡ÈËÓ¦Óø߼ÁÁ¿(ÖðÈÕ12g)µÄ±¾Æ·Ê±¿É·ºÆðÄÔ²¡·´Ó³¡£¡£¡£5¡¢°×ÄîÖé¾ú¶þÖØÑ¬È¾Å¼¼û¡£¡£¡£
¡¾½û¼É¡¿ ¶ÔÍ·æß¾úËØ¹ýÃôÕß¼°ÓÐÇàÃ¹ËØ¹ýÃôÐÔÐݿ˻òÂíÉÏ·´Ó³Ê·Õß½ûÓñ¾Æ·¡£¡£¡£
¡¾×¢ÖØÊÂÏî¡¿1¡¢¶ÔÇàÃ¹ËØ¹ýÃô»ò¹ýÃôÌåÖÊÕßÉ÷Óᣡ£¡£2¡¢Ô¼1%µÄÓÃÒ©»¼Õ߿ɷºÆðÖ±½ÓºÍ¼ä½ÓCoombsÊÔÑéÑôÐÔ¼°ÄòÌǼÙÑôÐÔ·´Ó³£¨ÁòËáÍ·¨£©¡£¡£¡£
¡¾Ôи¾¼°²¸ÈéÆÚ¸¾Å®ÓÃÒ©¡¿±¾Æ·ÈéÖÖк¬Á¿µÍ£¬£¬£¬£¬µ«²¸ÈéÆÚ¸¾Å®ÓÃҩʱÈÔÒËÔÝÍ£²¸Èé¡£¡£¡£
¡¾¶ùͯÓÃÒ©¡¿Ôç²ú¶ù¼°1¸öÔÂÒÔϵÄÐÂÉú¶ù²»ÍƼöÓ¦Óñ¾Æ·¡£¡£¡£
¡¾ÍíÄ껼ÕßÓÃÒ©¡¿ ±¾Æ·ÔÚÍíÄêÈËÖÐT1/2½ÏÄêÇáÈËÏÔ×ÅÑÓÉ죬£¬£¬£¬Ó¦°´Éö¹¦Ð§Êʵ±¼õÁ¿»òÑÓÉì¸øÒ©¼äÆÚ¡£¡£¡£
¡¾Ò©ÎïÏ໥×÷Óá¿1¡¢±¾Æ·ÓëÏÂÁÐÒ©ÎïÓÐÅäÎé½û¼É£¬£¬£¬£¬²»¿ÉͬƿµÎ×¢£ºÁòËá°¢Ã׿¨ÐÇ¡¢ÁòËῨÄÇÃ¹ËØ¡¢ÑÎËá½ðÃ¹ËØ¡¢ÑÎËáÍÁÃ¹ËØ¡¢ÑÎËáËÄ»·ËØ¡¢ÆÏÌÑÌÇËáºìÃ¹ËØ¡¢ÁòËá¶àÕ³¾úËØB¡¢ð¤¾úËØ¼×»ÇËáÄÆ¡¢ÆÏÌÑÌÇËá¸Æ¡£¡£¡£2¡¢±¾Æ·ÓëÇì´óÃ¹ËØ»ò°¢Ã׿¨ÐÇÁªºÏÓ¦Ó㬣¬£¬£¬ÔÚÌåÍâÄÜÔöÇ¿¿¹¾ú×÷Óᣡ£¡£3¡¢±¾Æ·ÓëÇ¿ÀûÄòÒ©ÊÊÓÃÓÐÔöÌíÉö¶¾ÐԵĿÉÄÜ£¬£¬£¬£¬Óë°±»ùÌÇÜÕ¿¹ÉúËØÊÊÓÿÉÄÜÔöÌíºóÕßµÄÉö¶¾ÐÔ¡£¡£¡£4¡¢±û»ÇÊæ¿Éʹ±¾Æ·ÑªÒ©Å¨¶ÈÌá¸ß£¬£¬£¬£¬Ñª°ëË¥ÆÚÑÓÉì¡£¡£¡£
¡¾Ò©Îï¹ýÁ¿¡¿±¾Æ·ÎÞÌØÐ§Þ׿¹Ò©£¬£¬£¬£¬Ò©Îï¹ýÁ¿Ê±Ö÷Òª¸øÓè¶ÔÖ¢ÖÎÁƺʹó×ÚÒûË®¼°²¹ÒºµÈ¡£¡£¡£
¡¾Ò©Àí¶¾Àí¡¿Í·æßßòÁÖΪµÚÒ»´úÍ·æß¾úËØ£¬£¬£¬£¬¿¹¾úÆ×¹ã¡£¡£¡£³ý³¦Çò¾úÊô¡¢Äͼ×ÑõÎ÷ÁÖÆÏÌÑÇò¾úÊôÍ⣬£¬£¬£¬±¾Æ·¶ÔÆäËû¸ïÀ¼ÑôÐÔÇò¾ú¾ùÓÐÓÅÒ쿹¾ú»îÐÔ£¬£¬£¬£¬·ÎÑ×Á´Çò¾úºÍÈÜѪÐÔÁ´Çò¾ú¶Ô±¾Æ·¸ß¶ÈÃô¸Ð¡£¡£¡£°×ºí¸Ë¾ú¡¢Ì¿¾Ò¸Ë¾ú¡¢ÀîË¹ÌØ¾úºÍËó×´Ñ¿°û¸Ë¾ú¶Ô±¾Æ·Ò²ÉõÃô¸Ð¡£¡£¡£±¾Æ·¶Ô²¿·Ö´ó³¦°£Ï£¾ú¡¢ÆæÒì±äÐθ˾úºÍ·ÎÑ׿ËÀײ®¾ú¾ßÓÐÓÅÒ쿹¾ú»îÐÔ£¬£¬£¬£¬µ«¶Ô½ðÆÏ¾úµÄ¿¹¾ú×÷Óýϲ¡£¡£É˺®¸Ë¾ú¡¢Ö¾ºØ¾úÊôºÍÄÎɪ¾úÊô¶Ô±¾Æ·Ãô¸Ð£¬£¬£¬£¬ÆäËû³¦¸Ë¾ú¿ÆÏ¸¾ú¡¢²»¶¯¸Ë¾úºÍÍÂ̼ٵ¥°û¾úÄÍÒ©¡£¡£¡£²úøÁÜÇò¾ú¶Ô±¾Æ·ÄÍÒ©£»£»£»Á÷¸ÐÊÈѪ¸Ë¾ú½öÖжÈÃô¸Ð¡£¡£¡£¸ïÀ¼ÑôÐÔÑáÑõ¾úºÍijЩ¸ïÀ¼ÒõÐÔÑáÑõ¾ú¶Ô±¾Æ·¶àÃô¸Ð¡£¡£¡£Å³ÈõÄâ¸Ë¾úÄÍÒ©¡£¡£¡£
¡¾Ò©´ú¶¯Á¦Ñ§¡¿¼¡ÄÚ×¢É䱾Ʒ500mgºó£¬£¬£¬£¬ÑªÒ©·åŨ¶È(Cmax)¾1¡«2Сʱ´ï38mg/L(32¡«42mg/L)£¬£¬£¬£¬6СʱѪҩŨ¶ÈÉпɲâµÃ7mg/L¡£¡£¡£20·ÖÖÓÄÚ¾²ÂöµÎ×¢±¾Æ·0.5g£¬£¬£¬£¬ÑªÒ©·åŨ¶ÈΪ118mg/L£¬£¬£¬£¬ÓÐÓÃŨ¶Èά³Ö8Сʱ¡£¡£¡£±¾Æ·ÄÑÒÔ͸¹ýѪ-ÄÔ¼¹ÒºÆÁÕÏ£¬£¬£¬£¬ÄÔ¼¹ÒºÖв»¿É²â³öÒ©ÎïŨ¶È¡£¡£¡£Í·æßßòÁÖÔÚÐØË®¡¢¸¹Ë®¡¢ÐİüÒººÍ»¬ÄÒÒºÖпɴï½Ï¸ßŨ¶È¡£¡£¡£Ñ×Ö¢ÉøÍ¸ÒºÖеÄÒ©ÎïŨ¶È»ù±¾ÓëѪÇåŨ¶ÈÏàµÈ£»£»£»µ¨ÖÖÐŨ¶È¼´ÊÇ»òÂÔÁè¼ÝͬÆÚѪҩŨ¶È¡£¡£¡£Ì¥¶ùѪҩŨ¶ÈΪĸÌåѪҩŨ¶ÈµÄ70%¡«90%£¬£¬£¬£¬ÈéÖÖк¬Á¿µÍ¡£¡£¡£±¾Æ·ÂѰ×Á¬ÏµÂÊΪ74%¡«86%¡£¡£¡£Õý³£³ÉÈ˵ÄѪÏû³ý°ëË¥ÆÚ(t1/2¦Â)Ϊ1.5¡«2Сʱ£¬£¬£¬£¬ÍíÄêÈËÖпÉÑÓÉìÖÁ2.5Сʱ¡£¡£¡£ÉöË¥½ß»¼ÕßµÄt1/2¦Â¿ÉÑÓÉ죬£¬£¬£¬ÄÚÉú¼¡ôûɨ³ýÂÊΪ12¡«17ml/minºÍµÍÓÚ5ml/minʱ»®·ÖΪ12СʱºÍ57Сʱ¡£¡£¡£³öÉú1ÖÜÄÚÐÂÉú¶ùµÄ
t1/2¦ÂΪ4.5¡«5Сʱ¡£¡£¡£±¾Æ·ÔÚÌåÄÚ²»´úл£»£»£»ÕæÏàҩͨ¹ýÉöСÇòÂ˹ý£¬£¬£¬£¬²¿·Öͨ¹ýÉöС¹ÜÉøÍ¸×ÔÄòÖÐÇãÔþ¡£¡£¡£24СʱÄÚ¿ÉÇãÔþ¸øÒ©Á¿µÄ80%¡«90%¡£¡£¡£±û»ÇÊæ¿ÉʹѪҩŨ¶ÈÔ¼Ìá¸ß30%£¬£¬£¬£¬ÓÐÓÃѪҩŨ¶Èʱ¼äÑÓÉì¡£¡£¡£ÑªÒºÍ¸Îö6СʱºóѪҩŨ¶ÈïÔÌ40%¡«50% £»£»£»¸¹Ä¤Í¸ÎöÒ»°ã²»¿Éɨ³ý±¾Æ·¡£¡£¡£
¡¾Öü²Ø¡¿Ãܱգ¬£¬£¬£¬ÔÚÁ¹°µ(±Ü¹â²¢²»Áè¼Ý20¡æ)¸ÉÔï´¦ÉúÑÄ¡£¡£¡£
¡¾°ü×°¡¿Î÷ÁÖÆ¿×°¡£¡£¡£10Ö§/ºÐ¡£¡£¡£
¡¾ÓÐÓÃÆÚ¡¿ 18¸öÔÂ
¡¾Ö´Ðбê×¼¡¿¡¶ÖйúÒ©µä¡·2015Äê°æ¶þ²¿
¡¾Åú×¼Îĺš¿¹úÒ©×¼×ÖH14020696
¡¾Éú²úÆóÒµ¡¿ÆóÒµÃû³Æ£ºÉ½Î÷304amÓÀÀû¼¯ÍÅÌ©Ê¢ÖÆÒ©ÓÐÏÞ¹«Ë¾
Éú²úµØµã£ºÉ½Î÷Ê¡´óͬÊо¼ÃÊÖÒÕ¿ª·¢ÇøµÚÒ»Ò½Ò©Ô°Çø
ÓÊÕþ±àÂ룺037300
µç»°ºÅÂ룺0352-7290991
´«ÕæºÅÂ룺0352-7290990

¡¾Ò©Æ·Ãû³Æ¡¿Í¨ÓÃÃû³Æ£º×¢ÉäÓÃÍ·æßßòÁÖÄÆ
Ó¢ÎÄÃû³Æ£ºCefazolin Sodium for Injection
ººÓïÆ´Òô£ºZhusheyong Toubaozuolinna
¡¾³É·Ý¡¿±¾Æ·Ö÷Òª³É·ÝΪͷæßßòÁÖÄÆ£¬£¬£¬£¬Æä»¯Ñ§ÃûΪ(6R£¬£¬£¬£¬7R)-3-[[(5-¼×»ù-1£¬£¬£¬£¬3£¬£¬£¬£¬4-àç¶þßò-2-»ù)Áò»ù]¼×»ù]-7-[(1H-Ëĵªßò-1-»ù)ÒÒõ£°±»ù]-8-Ñõ´ú-5-ÁòÔÓ-1-µªÔÓË«»·[4.2.0]ÐÁ-2-Ï©-2-¼×ËáÄÆÑΡ£¡£¡£
Æä½á¹¹Ê½Îª£º

·Ö×Óʽ£ºC14H13N8NaO4S3
·Ö×ÓÁ¿£º476.50
¡¾ÐÔ×´¡¿±¾Æ·Îª°×É«»òÀà°×É«µÄ·ÛÄ©»ò½á¾§ÐÔ·ÛÄ©£»£»£»ÎÞ³ô¡£¡£¡£
¡¾ÊÊ Ó¦ Ö¢¡¿ÊÊÓÃÓÚÖÎÁÆÃô¸Ðϸ¾úËùÖµÄÖжúÑס¢Ö§Æø¹ÜÑס¢·ÎÑ׵ȺôÎüµÀѬȾ¡¢Äò·ѬȾ¡¢Æ¤·ôÈí×é֯ѬȾ¡¢¹ÇºÍÊàŦѬȾ¡¢°ÜѪ֢¡¢Ñ¬È¾ÐÔÐÄÄÚĤÑס¢¸Îµ¨ÏµÍ³Ñ¬È¾¼°ÑÛ¡¢¶ú¡¢±Ç¡¢ºí¿ÆµÈѬȾ¡£¡£¡£±¾Æ·Ò²¿É×÷ΪÍâ¿ÆÊÖÊõǰµÄÔ¤·ÀÓÃÒ©¡£¡£¡£±¾Æ·²»ÒËÓÃÓÚÖÐÊàÉñ¾ÏµÍ³Ñ¬È¾¡£¡£¡£¶ÔÂýÐÔÄò·ѬȾ£¬£¬£¬£¬ÓÈÆä°éÓÐÄò·ÆÊ½âÒì³£ÕßµÄÁÆÐ§½Ï²î¡£¡£¡£±¾Æ·²»ÒËÓÃÓÚÖÎÁÆÁܲ¡ºÍ÷¶¾¡£¡£¡£
¡¾¹æ¸ñ¡¿°´C14H13N8NaO4S3¼Æ0.5g
¡¾Ó÷¨ÓÃÁ¿¡¿³ÉÈ˳£ÓüÁÁ¿£º¾²Âö»ºÂýÍÆ×¢¡¢¾²ÂöµÎ×¢»ò¼¡ÄÚ×¢É䣬£¬£¬£¬Ò»´Î0.5¡«1g£¬£¬£¬£¬Ò»ÈÕ2¡«4´Î£¬£¬£¬£¬ÑÏÖØÑ¬È¾¿ÉÔöÌíÖÁÒ»ÈÕ6g£¬£¬£¬£¬·Ö2¡«4´Î¾²Âö¸øÓè¡£¡£¡£¶ùͯ³£ÓüÁÁ¿£ºÒ»ÈÕ50¡«100mg/kg£¬£¬£¬£¬·Ö2¡«3´Î¾²Âö»ºÂýÍÆ×¢£¬£¬£¬£¬¾²ÂöµÎ×¢»ò¼¡ÄÚ×¢Éä¡£¡£¡£Éö¹¦Ð§¼õÍËÕߵļ¡ôûɨ³ýÂÊ´óÓÚ50ml/·Öʱ£¬£¬£¬£¬ÈԿɰ´Õý³£¼ÁÁ¿¸øÒ©¡£¡£¡£¼¡ôûɨ³ýÂÊΪ20¡«50ml/·Öʱ£¬£¬£¬£¬Ã¿8Сʱ0.5g£»£»£»¼¡ôûɨ³ýÂÊΪ11¡«34ml/·Öʱ£¬£¬£¬£¬Ã¿12Сʱ0.25g£»£»£»¼¡ôûɨ³ýÂÊСÓÚ10ml/·Öʱ£¬£¬£¬£¬Ã¿18¡«24Сʱ0.25g¡£¡£¡£ËùÓвî±ðˮƽÉö¹¦Ð§¼õÍËÕßµÄÊ״μÁÁ¿Îª0.5g¡£¡£¡£Ð¡¶ùÉö¹¦Ð§¼õÍËÕßÓ¦ÓÃÍ·æßßòÁÖʱ£¬£¬£¬£¬ÏȸøÓè12.5mg/kg£¬£¬£¬£¬¼ÌÒÔά³ÖÁ¿£¬£¬£¬£¬¼¡ôûɨ³ýÂÊÔÚ70ml/·ÖÒÔÉÏʱ£¬£¬£¬£¬ÈԿɰ´Õý³£¼ÁÁ¿¸øÓ裻£»£»¼¡ôûɨ³ýÂÊΪ40¡«70ml/·Öʱ£¬£¬£¬£¬Ã¿12Сʱ°´ÌåÖØ12.5¡«30mg/kg£»£»£»¼¡ôûɨ³ýÂÊΪ20¡«40ml/·Öʱ£¬£¬£¬£¬Ã¿12Сʱ°´ÌåÖØ3.1¡«12.5mg/kg£»£»£»¼¡ôûɨ³ýÂÊΪ5¡«20ml/·Öʱ£¬£¬£¬£¬Ã¿24Сʱ°´ÌåÖØ2.5¡«10mg/kg¡£¡£¡£±¾Æ·ÓÃÓÚÔ¤·ÀÍâ¿ÆÊÖÊõºóѬȾʱ£¬£¬£¬£¬Ò»°ãΪÊõǰ0.5¡«1Сʱ¼¡×¢»ò¾²Âö¸øÒ©1g£¬£¬£¬£¬ÊÖÊõʱ¼äÁè¼Ý6СʱÕßÊõÖмÓÓÃ0.5¡«1g£¬£¬£¬£¬Êõºóÿ6¡«8Сʱ0.5¡«1g£¬£¬£¬£¬ÖÁÊÖÊõºó24Сʱֹ¡£¡£¡£
¡¾²»Á¼·´Ó³¡¿1¡¢¾²Âö×¢É䱬·¢µÄѪ˨ÐÔ¾²ÂöÑ׺ͼ¡ÄÚ×¢ÉäÇøÌÛÍ´¾ù½ÏÍ·æßàç·ÔÉÙ¶øÇá¡£¡£¡£2¡¢Ò©Õ·¢ÂÊΪ1.1%£¬£¬£¬£¬ÊÈËáÁ£Ï¸°ûÔö¸ßµÄ±¬·¢ÂÊΪ1.7%£¬£¬£¬£¬Å¼ÓÐÒ©ÎïÈÈ¡£¡£¡£3¡¢¸öÌ岡È˿ɷºÆðÔÝʱÐÔѪÇå°±»ù×ªÒÆÃ¸¡¢¼îÐÔÁ×ËáøÉý¸ß¡£¡£¡£4¡¢Éö¹¦Ð§¼õÍ˲¡ÈËÓ¦Óø߼ÁÁ¿(ÖðÈÕ12g)µÄ±¾Æ·Ê±¿É·ºÆðÄÔ²¡·´Ó³¡£¡£¡£5¡¢°×ÄîÖé¾ú¶þÖØÑ¬È¾Å¼¼û¡£¡£¡£
¡¾½û¼É¡¿ ¶ÔÍ·æß¾úËØ¹ýÃôÕß¼°ÓÐÇàÃ¹ËØ¹ýÃôÐÔÐݿ˻òÂíÉÏ·´Ó³Ê·Õß½ûÓñ¾Æ·¡£¡£¡£
¡¾×¢ÖØÊÂÏî¡¿1¡¢¶ÔÇàÃ¹ËØ¹ýÃô»ò¹ýÃôÌåÖÊÕßÉ÷Óᣡ£¡£2¡¢Ô¼1%µÄÓÃÒ©»¼Õ߿ɷºÆðÖ±½ÓºÍ¼ä½ÓCoombsÊÔÑéÑôÐÔ¼°ÄòÌǼÙÑôÐÔ·´Ó³£¨ÁòËáÍ·¨£©¡£¡£¡£
¡¾Ôи¾¼°²¸ÈéÆÚ¸¾Å®ÓÃÒ©¡¿±¾Æ·ÈéÖÖк¬Á¿µÍ£¬£¬£¬£¬µ«²¸ÈéÆÚ¸¾Å®ÓÃҩʱÈÔÒËÔÝÍ£²¸Èé¡£¡£¡£
¡¾¶ùͯÓÃÒ©¡¿Ôç²ú¶ù¼°1¸öÔÂÒÔϵÄÐÂÉú¶ù²»ÍƼöÓ¦Óñ¾Æ·¡£¡£¡£
¡¾ÍíÄ껼ÕßÓÃÒ©¡¿ ±¾Æ·ÔÚÍíÄêÈËÖÐT1/2½ÏÄêÇáÈËÏÔ×ÅÑÓÉ죬£¬£¬£¬Ó¦°´Éö¹¦Ð§Êʵ±¼õÁ¿»òÑÓÉì¸øÒ©¼äÆÚ¡£¡£¡£
¡¾Ò©ÎïÏ໥×÷Óá¿1¡¢±¾Æ·ÓëÏÂÁÐÒ©ÎïÓÐÅäÎé½û¼É£¬£¬£¬£¬²»¿ÉͬƿµÎ×¢£ºÁòËá°¢Ã׿¨ÐÇ¡¢ÁòËῨÄÇÃ¹ËØ¡¢ÑÎËá½ðÃ¹ËØ¡¢ÑÎËáÍÁÃ¹ËØ¡¢ÑÎËáËÄ»·ËØ¡¢ÆÏÌÑÌÇËáºìÃ¹ËØ¡¢ÁòËá¶àÕ³¾úËØB¡¢ð¤¾úËØ¼×»ÇËáÄÆ¡¢ÆÏÌÑÌÇËá¸Æ¡£¡£¡£2¡¢±¾Æ·ÓëÇì´óÃ¹ËØ»ò°¢Ã׿¨ÐÇÁªºÏÓ¦Ó㬣¬£¬£¬ÔÚÌåÍâÄÜÔöÇ¿¿¹¾ú×÷Óᣡ£¡£3¡¢±¾Æ·ÓëÇ¿ÀûÄòÒ©ÊÊÓÃÓÐÔöÌíÉö¶¾ÐԵĿÉÄÜ£¬£¬£¬£¬Óë°±»ùÌÇÜÕ¿¹ÉúËØÊÊÓÿÉÄÜÔöÌíºóÕßµÄÉö¶¾ÐÔ¡£¡£¡£4¡¢±û»ÇÊæ¿Éʹ±¾Æ·ÑªÒ©Å¨¶ÈÌá¸ß£¬£¬£¬£¬Ñª°ëË¥ÆÚÑÓÉì¡£¡£¡£
¡¾Ò©Îï¹ýÁ¿¡¿±¾Æ·ÎÞÌØÐ§Þ׿¹Ò©£¬£¬£¬£¬Ò©Îï¹ýÁ¿Ê±Ö÷Òª¸øÓè¶ÔÖ¢ÖÎÁƺʹó×ÚÒûË®¼°²¹ÒºµÈ¡£¡£¡£
¡¾Ò©Àí¶¾Àí¡¿Í·æßßòÁÖΪµÚÒ»´úÍ·æß¾úËØ£¬£¬£¬£¬¿¹¾úÆ×¹ã¡£¡£¡£³ý³¦Çò¾úÊô¡¢Äͼ×ÑõÎ÷ÁÖÆÏÌÑÇò¾úÊôÍ⣬£¬£¬£¬±¾Æ·¶ÔÆäËû¸ïÀ¼ÑôÐÔÇò¾ú¾ùÓÐÓÅÒ쿹¾ú»îÐÔ£¬£¬£¬£¬·ÎÑ×Á´Çò¾úºÍÈÜѪÐÔÁ´Çò¾ú¶Ô±¾Æ·¸ß¶ÈÃô¸Ð¡£¡£¡£°×ºí¸Ë¾ú¡¢Ì¿¾Ò¸Ë¾ú¡¢ÀîË¹ÌØ¾úºÍËó×´Ñ¿°û¸Ë¾ú¶Ô±¾Æ·Ò²ÉõÃô¸Ð¡£¡£¡£±¾Æ·¶Ô²¿·Ö´ó³¦°£Ï£¾ú¡¢ÆæÒì±äÐθ˾úºÍ·ÎÑ׿ËÀײ®¾ú¾ßÓÐÓÅÒ쿹¾ú»îÐÔ£¬£¬£¬£¬µ«¶Ô½ðÆÏ¾úµÄ¿¹¾ú×÷Óýϲ¡£¡£É˺®¸Ë¾ú¡¢Ö¾ºØ¾úÊôºÍÄÎɪ¾úÊô¶Ô±¾Æ·Ãô¸Ð£¬£¬£¬£¬ÆäËû³¦¸Ë¾ú¿ÆÏ¸¾ú¡¢²»¶¯¸Ë¾úºÍÍÂ̼ٵ¥°û¾úÄÍÒ©¡£¡£¡£²úøÁÜÇò¾ú¶Ô±¾Æ·ÄÍÒ©£»£»£»Á÷¸ÐÊÈѪ¸Ë¾ú½öÖжÈÃô¸Ð¡£¡£¡£¸ïÀ¼ÑôÐÔÑáÑõ¾úºÍijЩ¸ïÀ¼ÒõÐÔÑáÑõ¾ú¶Ô±¾Æ·¶àÃô¸Ð¡£¡£¡£Å³ÈõÄâ¸Ë¾úÄÍÒ©¡£¡£¡£
¡¾Ò©´ú¶¯Á¦Ñ§¡¿¼¡ÄÚ×¢É䱾Ʒ500mgºó£¬£¬£¬£¬ÑªÒ©·åŨ¶È(Cmax)¾1¡«2Сʱ´ï38mg/L(32¡«42mg/L)£¬£¬£¬£¬6СʱѪҩŨ¶ÈÉпɲâµÃ7mg/L¡£¡£¡£20·ÖÖÓÄÚ¾²ÂöµÎ×¢±¾Æ·0.5g£¬£¬£¬£¬ÑªÒ©·åŨ¶ÈΪ118mg/L£¬£¬£¬£¬ÓÐÓÃŨ¶Èά³Ö8Сʱ¡£¡£¡£±¾Æ·ÄÑÒÔ͸¹ýѪ-ÄÔ¼¹ÒºÆÁÕÏ£¬£¬£¬£¬ÄÔ¼¹ÒºÖв»¿É²â³öÒ©ÎïŨ¶È¡£¡£¡£Í·æßßòÁÖÔÚÐØË®¡¢¸¹Ë®¡¢ÐİüÒººÍ»¬ÄÒÒºÖпɴï½Ï¸ßŨ¶È¡£¡£¡£Ñ×Ö¢ÉøÍ¸ÒºÖеÄÒ©ÎïŨ¶È»ù±¾ÓëѪÇåŨ¶ÈÏàµÈ£»£»£»µ¨ÖÖÐŨ¶È¼´ÊÇ»òÂÔÁè¼ÝͬÆÚѪҩŨ¶È¡£¡£¡£Ì¥¶ùѪҩŨ¶ÈΪĸÌåѪҩŨ¶ÈµÄ70%¡«90%£¬£¬£¬£¬ÈéÖÖк¬Á¿µÍ¡£¡£¡£±¾Æ·ÂѰ×Á¬ÏµÂÊΪ74%¡«86%¡£¡£¡£Õý³£³ÉÈ˵ÄѪÏû³ý°ëË¥ÆÚ(t1/2¦Â)Ϊ1.5¡«2Сʱ£¬£¬£¬£¬ÍíÄêÈËÖпÉÑÓÉìÖÁ2.5Сʱ¡£¡£¡£ÉöË¥½ß»¼ÕßµÄt1/2¦Â¿ÉÑÓÉ죬£¬£¬£¬ÄÚÉú¼¡ôûɨ³ýÂÊΪ12¡«17ml/minºÍµÍÓÚ5ml/minʱ»®·ÖΪ12СʱºÍ57Сʱ¡£¡£¡£³öÉú1ÖÜÄÚÐÂÉú¶ùµÄ
t1/2¦ÂΪ4.5¡«5Сʱ¡£¡£¡£±¾Æ·ÔÚÌåÄÚ²»´úл£»£»£»ÕæÏàҩͨ¹ýÉöСÇòÂ˹ý£¬£¬£¬£¬²¿·Öͨ¹ýÉöС¹ÜÉøÍ¸×ÔÄòÖÐÇãÔþ¡£¡£¡£24СʱÄÚ¿ÉÇãÔþ¸øÒ©Á¿µÄ80%¡«90%¡£¡£¡£±û»ÇÊæ¿ÉʹѪҩŨ¶ÈÔ¼Ìá¸ß30%£¬£¬£¬£¬ÓÐÓÃѪҩŨ¶Èʱ¼äÑÓÉì¡£¡£¡£ÑªÒºÍ¸Îö6СʱºóѪҩŨ¶ÈïÔÌ40%¡«50% £»£»£»¸¹Ä¤Í¸ÎöÒ»°ã²»¿Éɨ³ý±¾Æ·¡£¡£¡£
¡¾Öü²Ø¡¿Ãܱգ¬£¬£¬£¬ÔÚÁ¹°µ(±Ü¹â²¢²»Áè¼Ý20¡æ)¸ÉÔï´¦ÉúÑÄ¡£¡£¡£
¡¾°ü×°¡¿Î÷ÁÖÆ¿×°¡£¡£¡£10Ö§/ºÐ¡£¡£¡£
¡¾ÓÐÓÃÆÚ¡¿ 18¸öÔÂ
¡¾Ö´Ðбê×¼¡¿¡¶ÖйúÒ©µä¡·2015Äê°æ¶þ²¿
¡¾Åú×¼Îĺš¿¹úÒ©×¼×ÖH14020696
¡¾Éú²úÆóÒµ¡¿ÆóÒµÃû³Æ£ºÉ½Î÷304amÓÀÀû¼¯ÍÅÌ©Ê¢ÖÆÒ©ÓÐÏÞ¹«Ë¾
Éú²úµØµã£ºÉ½Î÷Ê¡´óͬÊо¼ÃÊÖÒÕ¿ª·¢ÇøµÚÒ»Ò½Ò©Ô°Çø
ÓÊÕþ±àÂ룺037300
µç»°ºÅÂ룺0352-7290991
´«ÕæºÅÂ룺0352-7290990
