
¡¾Ò©Æ·Ãû³Æ¡¿Í¨ÓÃÃû³Æ£º×¢ÉäÓÃάÉúËØC
Ó¢ÎÄÃû³Æ£ºVitamin C for Injection
ººÓïÆ´Òô£ºZhusheyong WeishengsuC
¡¾³É·Ý¡¿±¾Æ·Ö÷Òª³É·ÝΪάÉúËØC£¬£¬£¬£¬£¬»¯Ñ§Ãû³ÆÎªL-¿¹»µÑªËá¡£¡£¡£¡£¡£¡£
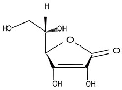
Æä½á¹¹Ê½Îª£º

·Ö×Óʽ£ºC6H8O6
·Ö×ÓÁ¿£º176.13
ËùÓи¨ÁÏÃû³ÆÎª£º¸Ê¶´¼¡¢Ì¼ËáÇâÄÆ¡¢°ëë×°±Ëá¡¢ÑÇÁòËáÇâÄÆ¡¢ÒÒ¶þ°·ËÄÒÒËá¶þÄÆ¡£¡£¡£¡£¡£¡£
¡¾ÐÔ×´¡¿±¾Æ·Îª°×É«»òÀà°×É«ËÉÉ¢¿é×´Îï»ò·ÛÄ©»ò½á¾§ÐÔ·ÛÄ©£»£»ÎÞ³ô£¬£¬£¬£¬£¬¾ÃÖÃÉ«½¥±ä΢»Æ¡£¡£¡£¡£¡£¡£
¡¾Ë³Ó¦Ö¢¡¿ÊÊÓÃÓÚ£º·ÀÖλµÑª²¡ºÍÖÖÖÖ¼±ÂýÐÔѬȾÐÔ¼²²¡¼°×Ïñ°µÈ¸¨ÖúÖÎÁÆ£¬£¬£¬£¬£¬´ó¼ÁÁ¿¾²Âö×¢ÉäÓÃÓÚ¿Ëɽ֢£¬£¬£¬£¬£¬ÐÄÔ´ÐÔÐÝ¿ËʱÇÀ¾È¡£¡£¡£¡£¡£¡£±¾Æ·Òà¿ÉÓÃÓÚÂýÐÔÌúÖж¾¡¢ÌØ·¢ÐÔ¸ßÌúѪºìÂѰ×Ѫ֢µÄÖÎÁÆ¡£¡£¡£¡£¡£¡£ÏÂÁÐÇéÐζÔάÉúËØCµÄÐèÒªÁ¿ÔöÌí£º(1)²¡È˽ÓÊÜÂýÐÔѪҺ͸Îö¡¢³¦Î¸µÀ¼²²¡(ºã¾Ã¸¹Ðº¡¢Î¸»ò»Ø³¦ÇгýÊõºó)¡¢½áºË²¡¡¢°©Ö¢¡¢À£Ññ²¡¡¢¼××´ÏÙ¹¦Ð§¿º½ø¡¢·¢ÈÈ¡¢Ñ¬È¾¡¢´´ÉË¡¢ÉÕÉË¡¢ÊÖÊõµÈ¡£¡£¡£¡£¡£¡£(2)ÒòÑÏ¿á¿ØÖÆ»òÑ¡ÔñÒûʳ£¬£¬£¬£¬£¬½ÓÊܳ¦µÀÍâÓªÑøµÄ²¡ÈË£¬£¬£¬£¬£¬ÒòÓªÑø²»Á¼£¬£¬£¬£¬£¬ÌåÖØÖè½µ£¬£¬£¬£¬£¬ÒÔ¼°ÔÚÈÑÉïÆÚºÍ²¸ÈéÆÚ¡£¡£¡£¡£¡£¡£(3)Ó¦ÓðͱÈÍ×Àà¡¢ËÄ»·ËØÀࡢˮÑîËáÀà¡¢»òÒÔάÉúËØC×÷ΪÃÚÄòϵͳËữҩʱ¡£¡£¡£¡£¡£¡£
¡¾¹æ¸ñ¡¿1.0g
¡¾Ó÷¨ÓÃÁ¿¡¿¼¡ÄÚ»ò¾²Âö×¢É䣬£¬£¬£¬£¬³ÉÈËÿ´Î100¡«250mg£¬£¬£¬£¬£¬ÖðÈÕ1¡«3´Î£»£»Ð¡¶ùÖðÈÕ100¡«300mg£¬£¬£¬£¬£¬·Ö´Î×¢Éä¡£¡£¡£¡£¡£¡£¾ÈÖοËɽ²¡¿ÉÓôó¼ÁÁ¿£¬£¬£¬£¬£¬Ðè×ñÒ½Öö¡£¡£¡£¡£¡£¡£
¡¾²»Á¼·´Ó³¡¿1¡¢ºã¾ÃÓ¦ÓÃÖðÈÕ2¡«3g¿ÉÒýÆðÍ£Ò©ºó»µÑª²¡¡£¡£¡£¡£¡£¡£2¡¢ºã¾ÃÓ¦Óôó×ÚάÉúËØCż¿ÉÒýÆðÄòËáÑΡ¢°ëë×°±ËáÑλò²ÝËáÑνáʯ¡£¡£¡£¡£¡£¡£3¡¢¿ìËÙ¾²Âö×¢Éä¿ÉÒýÆðÍ·ÔΡ¢ÔÎØÊ¡£¡£¡£¡£¡£¡£
¡¾½û¼É¡¿Éв»Ã÷È·¡£¡£¡£¡£¡£¡£
¡¾×¢ÖØÊÂÏî¡¿1¡¢Î¬ÉúËØC¶ÔÏÂÁÐÇéÐεÄ×÷ÓÃδ±»Ö¤Êµ£ºÔ¤·À»òÖÎÁư©Ö¢¡¢ÑÀö¸Ñס¢»¯Å§¡¢³öѪ¡¢ÑªÄò¡¢ÊÓÍøÄ¤³öѪ¡¢ÒÖÓôÖ¢¡¢È£³Ý¡¢ÑªÐé¡¢ðî´¯¡¢²»ÓýÖ¢¡¢ÐàÂõ¡¢¶¯ÂöÓ²»¯¡¢À£Ññ²¡¡¢½áºË¡¢Á¡¼²¡¢½ºÔÐÔ¼²²¡¡¢¹ÇÕÛ¡¢Æ¤·ôÀ£Ññ¡¢¿Ý²ÝÈÈ¡¢Ò©ÎïÖж¾¡¢Ñª¹Ü˨Èû¡¢ÉË·çµÈ¡£¡£¡£¡£¡£¡£2¡¢¶ÔÕï¶ÏµÄ×ÌÈÅ¡£¡£¡£¡£¡£¡£´ó×Ú·þÓý«Ó°ÏìÒÔÏÂÕï¶ÏÐÔÊÔÑéµÄЧ¹û£º(1)´ó±ãÒþѪ¿ÉÖ¼ÙÑôÐÔ¡£¡£¡£¡£¡£¡£(2)ÄÜ×ÌÈÅѪÇåÈéËáÍÑÇâøºÍѪÇå°±»ù×ªÒÆÃ¸Å¨¶ÈµÄ×Ô¶¯ÆÊÎöЧ¹û¡£¡£¡£¡£¡£¡£(3)ÄòÌÇ(ÁòËáÍ·¨)¡¢ÆÏÌÑÌÇ(Ñõ»¯Ã¸·¨)¾ù¿ÉÖ¼ÙÑôÐÔ¡£¡£¡£¡£¡£¡£(4)ÄòÖвÝËáÑΡ¢ÄòËáÑκͰëë×°±ËáµÈŨ¶ÈÔö¸ß¡£¡£¡£¡£¡£¡£(5)ѪÇ嵨ºìËØÅ¨¶ÈϽµ¡£¡£¡£¡£¡£¡£(6)ÄòpHϽµ¡£¡£¡£¡£¡£¡£3¡¢ÏÂÁÐÇéÐÎÓ¦É÷Óãº(1)°ëë×°±ËáÄòÖ¢¡£¡£¡£¡£¡£¡£(2)Í´·ç¡£¡£¡£¡£¡£¡£(3)¸ß²ÝËáÑÎÄòÖ¢¡£¡£¡£¡£¡£¡£(4)²ÝËáÑγÁ»ýÖ¢¡£¡£¡£¡£¡£¡£(5)ÄòËáÑÎÐÔÉö½áʯ¡£¡£¡£¡£¡£¡£(6)ÌÇÄò²¡(ÒòάÉúËØC¿ÉÄÜ×ÌÈÅѪÌǶ¨Á¿)¡£¡£¡£¡£¡£¡£(7)ÆÏÌÑÌÇ-6-Á×ËáÍÑÇâøȱ·¦Ö¢¡£¡£¡£¡£¡£¡£(8)Ѫɫ²¡¡£¡£¡£¡£¡£¡£(9)ÌúÁ£Ó×ϸ°ûÐÔѪÐé»òµØÖк£ÑªÐé¡£¡£¡£¡£¡£¡£(10)ÁÐκìϸ°ûѪÐé¡£¡£¡£¡£¡£¡£4¡¢ºã¾Ã´ó×Ú·þÓÃͻȻͣҩ£¬£¬£¬£¬£¬ÓпÉÄÜ·ºÆð»µÑª²¡Ö¢×´£¬£¬£¬£¬£¬¹ÊÒËÖð½¥¼õÁ¿Í£Ò©¡£¡£¡£¡£¡£¡£
¡¾Ôи¾¼°²¸ÈéÆÚ¸¾Å®ÓÃÒ©¡¿±¾Æ·¿Éͨ¹ýÌ¥ÅÌ£¬£¬£¬£¬£¬ÉøÍ¸ÈëÈéÖ¡£¡£¡£¡£¡£¡£Ôи¾´ó¼ÁÁ¿·þÓÃʱ£¬£¬£¬£¬£¬»¹¿É±¬·¢Ó¤¶ù»µÑª²¡¡£¡£¡£¡£¡£¡£
¡¾¶ùͯÓÃÒ©¡¿ÍƼöÉÅʳÖðÈÕÉãÈëÁ¿(RDA£¬£¬£¬£¬£¬1980)£º4¡«6ËêС¶ù45mg£¬£¬£¬£¬£¬7ËêÒÔÉϰ´³ÉÈ˼Æ60mg£¬£¬£¬£¬£¬Î´¾Ö¤ÊµÓÐÓÃʱ£¬£¬£¬£¬£¬²»ÒËÓ¦ÓôóÓÚ10±¶ÉÏÊö¼ÁÁ¿¡£¡£¡£¡£¡£¡£
¡¾ÍíÄêÓÃÒ©¡¿Éв»Ã÷È·¡£¡£¡£¡£¡£¡£
¡¾Ò©ÎïÏ໥×÷Óá¿1¡¢´ó¼ÁÁ¿Î¬ÉúËØC¿É×ÌÈÅ¿¹ÄýÒ©µÄ¿¹ÄýЧ¹û¡£¡£¡£¡£¡£¡£2¡¢Óë°Í±ÈÍ×»òÆËÃ×ͪµÈÊÊÓ㬣¬£¬£¬£¬¿É´ÙʹάÉúËØCµÄÉøÍ¸ÔöÌí¡£¡£¡£¡£¡£¡£3¡¢ÏËÎ¬ËØÁ×ËáÄÆ¿É´ÙʹάÉúËØC´úлΪ²ÝËáÑΡ£¡£¡£¡£¡£¡£4¡¢ºã¾Ã»ò´ó×ÚÓ¦ÓÃάÉúËØCʱ£¬£¬£¬£¬£¬ÄÜ×ÌÈÅË«ÁòÂØ¶ÔÒÒ´¼µÄ×÷Óᣡ£¡£¡£¡£¡£5¡¢Ë®ÑîËáÀàÄÜÔöÌíάÉúËØCµÄÉøÍ¸¡£¡£¡£¡£¡£¡£6¡¢²»ÒËÓë¼îÐÔÒ©Îï(È簱ݱ¼î¡¢Ì¼ËáÇâÄÆ¡¢¹È°±ËáÄÆµÈ)¡¢ºË»ÆËØ¡¢ÈýÂÈÊå¶¡´¼¡¢Í¡¢ÌúÀë×Ó(΢Á¿)µÄÈÜÒºÅäÎ飬£¬£¬£¬£¬ÒÔÃâÓ°ÏìÁÆÐ§¡£¡£¡£¡£¡£¡£7¡¢ÓëάÉúËØK3ÅäÎ飬£¬£¬£¬£¬ÒòºóÕßÓÐÑõ»¯ÐÔ£¬£¬£¬£¬£¬¿É±¬·¢Ñõ»¯»¹Ô·´Ó³£¬£¬£¬£¬£¬Ê¹Á½ÕßÁÆÐ§Ï÷Èõ»òÏûÊÅ¡£¡£¡£¡£¡£¡£8¡¢±¾Æ·Óë°±²è¼î¡¢²©À´Ã¹ËØ¡¢Í·æßßòÁÖ¡¢Í·æßÆ¥ßø¡¢Á¬Ïµ´Æ¼¤ËØ¡¢ÓÒÐýÌÇôû¡¢¶àɳÆÕÂØ¡¢ºìÃ¹ËØ¡¢¼×ÑõÃ¹ËØ¡¢ÇàÃ¹ËØG¡¢Î¬ÉúËØK¡¢»ª·¨ÁÖ¡¢ÖØÌ¼ËáÄÆÅäÎé½û¼É¡£¡£¡£¡£¡£¡£
¡¾Ò©Îï¹ýÁ¿¡¿ÖðÈÕ1¡«4g£¬£¬£¬£¬£¬¿ÉÒýÆð¸¹Ðº¡¢Æ¤ÕθËáÔö¶à¡¢Î¸Òº·´Á÷£¬£¬£¬£¬£¬ÓÐʱÉпɼûÃÚÄòϵͳ½áʯ¡¢ÄòÄÚ²ÝËáÑÎÓëÄòËáÑÎÇãÔþÔö¶à¡¢Éî¾²ÂöѪ˨Ðγɡ¢Ñª¹ÜÄÚÈÜѪ»òÄýѪµÈ£¬£¬£¬£¬£¬ÓÐʱ¿Éµ¼Ö°×ϸ°ûÍÌÊÉÄÜÁ¦½µµÍ¡£¡£¡£¡£¡£¡£ÖðÈÕÓÃÁ¿Áè¼Ý5gʱ£¬£¬£¬£¬£¬¿Éµ¼ÖÂÈÜѪ£¬£¬£¬£¬£¬ÖØÕß¿ÉÖÂÃü¡£¡£¡£¡£¡£¡£
¡¾Ò©Àí¶¾Àí¡¿±¾Æ·ÎªÎ¬ÉúËØÀàÒ©¡£¡£¡£¡£¡£¡£Î¬ÉúËØC¼ÓÈë°±»ùËá´úл¡¢Éñ¾µÝÖʵĺϳɡ¢½ºÔÂѰ׺Í×é֯ϸ°û¼äÖʵĺϳɣ¬£¬£¬£¬£¬¿É½µµÍëϸѪ¹ÜµÄͨ͸ÐÔ£¬£¬£¬£¬£¬¼ÓËÙѪҺµÄÄý¹Ì£¬£¬£¬£¬£¬´Ì¼¤ÄýѪ¹¦Ð§£¬£¬£¬£¬£¬Ôö½øÌúÔÚ³¦ÄÚÎüÊÕ£¬£¬£¬£¬£¬´ÙʹѪ֬Ͻµ£¬£¬£¬£¬£¬ÔöÌí¶ÔѬȾµÄ·´¿¹Á¦£¬£¬£¬£¬£¬¼ÓÈë½â¶¾¹¦Ð§£¬£¬£¬£¬£¬ÇÒÓп¹×é°·µÄ×÷Óü°×èÖ¹Ö°©ÎïÖÊ(ÑÇÏõ°·)ÌìÉúµÄ×÷Óᣡ£¡£¡£¡£¡£
¡¾Ò©´ú¶¯Á¦Ñ§¡¿ÂѰ×Á¬ÏµÂʵ͡£¡£¡£¡£¡£¡£ÉÙÁ¿Öü²ØÓÚѪ½¬ºÍϸ°û£¬£¬£¬£¬£¬ÒÔÏÙÌå×éÖ¯ÄÚµÄŨ¶ÈΪ×î¸ß¡£¡£¡£¡£¡£¡£¸ÎÄÚ´úл¡£¡£¡£¡£¡£¡£ÉÙÉÙÊýÒÔÕæÏàÎï»ò´úлÎï¾ÉöÉøÍ¸£¬£¬£¬£¬£¬µ±Ñª½¬Å¨¶È>14¦Ìg/mlʱ£¬£¬£¬£¬£¬ÄòÄÚÇãÔþÁ¿Ôö¶à¡£¡£¡£¡£¡£¡£¿£¿É¾ÑªÒºÍ¸Îöɨ³ý¡£¡£¡£¡£¡£¡£
¡¾Öü²Ø¡¿Õڹ⣬£¬£¬£¬£¬ÃܱÕ(10¡«30¡æ)ÉúÑÄ¡£¡£¡£¡£¡£¡£
¡¾°ü×°¡¿Î÷ÁÖÆ¿×°¡£¡£¡£¡£¡£¡£10Ö§/ºÐ¡£¡£¡£¡£¡£¡£
¡¾ÓÐÓÃÆÚ¡¿24¸öÔ¡£¡£¡£¡£¡£¡£
¡¾Ö´Ðбê×¼¡¿wS-10001-(HD-0070)-2002-2011
¡¾Åú×¼Îĺš¿¹úÒ©×¼×ÖH20063783
¡¾ÉÏÊÐÔÊÐí³ÖÓÐÈË¡¿Ãû³Æ£ºÉ½Î÷304amÓÀÀû¼¯ÍÅÌ©Ê¢ÖÆÒ©ÓÐÏÞ¹«Ë¾
×¢²áµØµã£ºÉ½Î÷Ê¡´óͬÊо¼ÃÊÖÒÕ¿ª·¢ÇøµÚÒ»Ò½Ò©Ô°Çø
¡¾Éú²úÆóÒµ¡¿ÆóÒµÃû³Æ£ºÉ½Î÷304amÓÀÀû¼¯ÍÅÌ©Ê¢ÖÆÒ©ÓÐÏÞ¹«Ë¾
Éú²úµØµã£ºÉ½Î÷Ê¡´óͬÊо¼ÃÊÖÒÕ¿ª·¢ÇøµÚÒ»Ò½Ò©Ô°Çø
ÓÊÕþ±àÂ룺037300
µç»°ºÅÂ룺0352¡ª7290991
´«ÕæºÅÂ룺0352¡ª7290990

¡¾Ò©Æ·Ãû³Æ¡¿Í¨ÓÃÃû³Æ£º×¢ÉäÓÃάÉúËØC
Ó¢ÎÄÃû³Æ£ºVitamin C for Injection
ººÓïÆ´Òô£ºZhusheyong WeishengsuC
¡¾³É·Ý¡¿±¾Æ·Ö÷Òª³É·ÝΪάÉúËØC£¬£¬£¬£¬£¬»¯Ñ§Ãû³ÆÎªL-¿¹»µÑªËá¡£¡£¡£¡£¡£¡£
Æä½á¹¹Ê½Îª£º

·Ö×Óʽ£ºC6H8O6
·Ö×ÓÁ¿£º176.13
ËùÓи¨ÁÏÃû³ÆÎª£º¸Ê¶´¼¡¢Ì¼ËáÇâÄÆ¡¢°ëë×°±Ëá¡¢ÑÇÁòËáÇâÄÆ¡¢ÒÒ¶þ°·ËÄÒÒËá¶þÄÆ¡£¡£¡£¡£¡£¡£
¡¾ÐÔ×´¡¿±¾Æ·Îª°×É«»òÀà°×É«ËÉÉ¢¿é×´Îï»ò·ÛÄ©»ò½á¾§ÐÔ·ÛÄ©£»£»ÎÞ³ô£¬£¬£¬£¬£¬¾ÃÖÃÉ«½¥±ä΢»Æ¡£¡£¡£¡£¡£¡£
¡¾Ë³Ó¦Ö¢¡¿ÊÊÓÃÓÚ£º·ÀÖλµÑª²¡ºÍÖÖÖÖ¼±ÂýÐÔѬȾÐÔ¼²²¡¼°×Ïñ°µÈ¸¨ÖúÖÎÁÆ£¬£¬£¬£¬£¬´ó¼ÁÁ¿¾²Âö×¢ÉäÓÃÓÚ¿Ëɽ֢£¬£¬£¬£¬£¬ÐÄÔ´ÐÔÐÝ¿ËʱÇÀ¾È¡£¡£¡£¡£¡£¡£±¾Æ·Òà¿ÉÓÃÓÚÂýÐÔÌúÖж¾¡¢ÌØ·¢ÐÔ¸ßÌúѪºìÂѰ×Ѫ֢µÄÖÎÁÆ¡£¡£¡£¡£¡£¡£ÏÂÁÐÇéÐζÔάÉúËØCµÄÐèÒªÁ¿ÔöÌí£º(1)²¡È˽ÓÊÜÂýÐÔѪҺ͸Îö¡¢³¦Î¸µÀ¼²²¡(ºã¾Ã¸¹Ðº¡¢Î¸»ò»Ø³¦ÇгýÊõºó)¡¢½áºË²¡¡¢°©Ö¢¡¢À£Ññ²¡¡¢¼××´ÏÙ¹¦Ð§¿º½ø¡¢·¢ÈÈ¡¢Ñ¬È¾¡¢´´ÉË¡¢ÉÕÉË¡¢ÊÖÊõµÈ¡£¡£¡£¡£¡£¡£(2)ÒòÑÏ¿á¿ØÖÆ»òÑ¡ÔñÒûʳ£¬£¬£¬£¬£¬½ÓÊܳ¦µÀÍâÓªÑøµÄ²¡ÈË£¬£¬£¬£¬£¬ÒòÓªÑø²»Á¼£¬£¬£¬£¬£¬ÌåÖØÖè½µ£¬£¬£¬£¬£¬ÒÔ¼°ÔÚÈÑÉïÆÚºÍ²¸ÈéÆÚ¡£¡£¡£¡£¡£¡£(3)Ó¦ÓðͱÈÍ×Àà¡¢ËÄ»·ËØÀࡢˮÑîËáÀà¡¢»òÒÔάÉúËØC×÷ΪÃÚÄòϵͳËữҩʱ¡£¡£¡£¡£¡£¡£
¡¾¹æ¸ñ¡¿1.0g
¡¾Ó÷¨ÓÃÁ¿¡¿¼¡ÄÚ»ò¾²Âö×¢É䣬£¬£¬£¬£¬³ÉÈËÿ´Î100¡«250mg£¬£¬£¬£¬£¬ÖðÈÕ1¡«3´Î£»£»Ð¡¶ùÖðÈÕ100¡«300mg£¬£¬£¬£¬£¬·Ö´Î×¢Éä¡£¡£¡£¡£¡£¡£¾ÈÖοËɽ²¡¿ÉÓôó¼ÁÁ¿£¬£¬£¬£¬£¬Ðè×ñÒ½Öö¡£¡£¡£¡£¡£¡£
¡¾²»Á¼·´Ó³¡¿1¡¢ºã¾ÃÓ¦ÓÃÖðÈÕ2¡«3g¿ÉÒýÆðÍ£Ò©ºó»µÑª²¡¡£¡£¡£¡£¡£¡£2¡¢ºã¾ÃÓ¦Óôó×ÚάÉúËØCż¿ÉÒýÆðÄòËáÑΡ¢°ëë×°±ËáÑλò²ÝËáÑνáʯ¡£¡£¡£¡£¡£¡£3¡¢¿ìËÙ¾²Âö×¢Éä¿ÉÒýÆðÍ·ÔΡ¢ÔÎØÊ¡£¡£¡£¡£¡£¡£
¡¾½û¼É¡¿Éв»Ã÷È·¡£¡£¡£¡£¡£¡£
¡¾×¢ÖØÊÂÏî¡¿1¡¢Î¬ÉúËØC¶ÔÏÂÁÐÇéÐεÄ×÷ÓÃδ±»Ö¤Êµ£ºÔ¤·À»òÖÎÁư©Ö¢¡¢ÑÀö¸Ñס¢»¯Å§¡¢³öѪ¡¢ÑªÄò¡¢ÊÓÍøÄ¤³öѪ¡¢ÒÖÓôÖ¢¡¢È£³Ý¡¢ÑªÐé¡¢ðî´¯¡¢²»ÓýÖ¢¡¢ÐàÂõ¡¢¶¯ÂöÓ²»¯¡¢À£Ññ²¡¡¢½áºË¡¢Á¡¼²¡¢½ºÔÐÔ¼²²¡¡¢¹ÇÕÛ¡¢Æ¤·ôÀ£Ññ¡¢¿Ý²ÝÈÈ¡¢Ò©ÎïÖж¾¡¢Ñª¹Ü˨Èû¡¢ÉË·çµÈ¡£¡£¡£¡£¡£¡£2¡¢¶ÔÕï¶ÏµÄ×ÌÈÅ¡£¡£¡£¡£¡£¡£´ó×Ú·þÓý«Ó°ÏìÒÔÏÂÕï¶ÏÐÔÊÔÑéµÄЧ¹û£º(1)´ó±ãÒþѪ¿ÉÖ¼ÙÑôÐÔ¡£¡£¡£¡£¡£¡£(2)ÄÜ×ÌÈÅѪÇåÈéËáÍÑÇâøºÍѪÇå°±»ù×ªÒÆÃ¸Å¨¶ÈµÄ×Ô¶¯ÆÊÎöЧ¹û¡£¡£¡£¡£¡£¡£(3)ÄòÌÇ(ÁòËáÍ·¨)¡¢ÆÏÌÑÌÇ(Ñõ»¯Ã¸·¨)¾ù¿ÉÖ¼ÙÑôÐÔ¡£¡£¡£¡£¡£¡£(4)ÄòÖвÝËáÑΡ¢ÄòËáÑκͰëë×°±ËáµÈŨ¶ÈÔö¸ß¡£¡£¡£¡£¡£¡£(5)ѪÇ嵨ºìËØÅ¨¶ÈϽµ¡£¡£¡£¡£¡£¡£(6)ÄòpHϽµ¡£¡£¡£¡£¡£¡£3¡¢ÏÂÁÐÇéÐÎÓ¦É÷Óãº(1)°ëë×°±ËáÄòÖ¢¡£¡£¡£¡£¡£¡£(2)Í´·ç¡£¡£¡£¡£¡£¡£(3)¸ß²ÝËáÑÎÄòÖ¢¡£¡£¡£¡£¡£¡£(4)²ÝËáÑγÁ»ýÖ¢¡£¡£¡£¡£¡£¡£(5)ÄòËáÑÎÐÔÉö½áʯ¡£¡£¡£¡£¡£¡£(6)ÌÇÄò²¡(ÒòάÉúËØC¿ÉÄÜ×ÌÈÅѪÌǶ¨Á¿)¡£¡£¡£¡£¡£¡£(7)ÆÏÌÑÌÇ-6-Á×ËáÍÑÇâøȱ·¦Ö¢¡£¡£¡£¡£¡£¡£(8)Ѫɫ²¡¡£¡£¡£¡£¡£¡£(9)ÌúÁ£Ó×ϸ°ûÐÔѪÐé»òµØÖк£ÑªÐé¡£¡£¡£¡£¡£¡£(10)ÁÐκìϸ°ûѪÐé¡£¡£¡£¡£¡£¡£4¡¢ºã¾Ã´ó×Ú·þÓÃͻȻͣҩ£¬£¬£¬£¬£¬ÓпÉÄÜ·ºÆð»µÑª²¡Ö¢×´£¬£¬£¬£¬£¬¹ÊÒËÖð½¥¼õÁ¿Í£Ò©¡£¡£¡£¡£¡£¡£
¡¾Ôи¾¼°²¸ÈéÆÚ¸¾Å®ÓÃÒ©¡¿±¾Æ·¿Éͨ¹ýÌ¥ÅÌ£¬£¬£¬£¬£¬ÉøÍ¸ÈëÈéÖ¡£¡£¡£¡£¡£¡£Ôи¾´ó¼ÁÁ¿·þÓÃʱ£¬£¬£¬£¬£¬»¹¿É±¬·¢Ó¤¶ù»µÑª²¡¡£¡£¡£¡£¡£¡£
¡¾¶ùͯÓÃÒ©¡¿ÍƼöÉÅʳÖðÈÕÉãÈëÁ¿(RDA£¬£¬£¬£¬£¬1980)£º4¡«6ËêС¶ù45mg£¬£¬£¬£¬£¬7ËêÒÔÉϰ´³ÉÈ˼Æ60mg£¬£¬£¬£¬£¬Î´¾Ö¤ÊµÓÐÓÃʱ£¬£¬£¬£¬£¬²»ÒËÓ¦ÓôóÓÚ10±¶ÉÏÊö¼ÁÁ¿¡£¡£¡£¡£¡£¡£
¡¾ÍíÄêÓÃÒ©¡¿Éв»Ã÷È·¡£¡£¡£¡£¡£¡£
¡¾Ò©ÎïÏ໥×÷Óá¿1¡¢´ó¼ÁÁ¿Î¬ÉúËØC¿É×ÌÈÅ¿¹ÄýÒ©µÄ¿¹ÄýЧ¹û¡£¡£¡£¡£¡£¡£2¡¢Óë°Í±ÈÍ×»òÆËÃ×ͪµÈÊÊÓ㬣¬£¬£¬£¬¿É´ÙʹάÉúËØCµÄÉøÍ¸ÔöÌí¡£¡£¡£¡£¡£¡£3¡¢ÏËÎ¬ËØÁ×ËáÄÆ¿É´ÙʹάÉúËØC´úлΪ²ÝËáÑΡ£¡£¡£¡£¡£¡£4¡¢ºã¾Ã»ò´ó×ÚÓ¦ÓÃάÉúËØCʱ£¬£¬£¬£¬£¬ÄÜ×ÌÈÅË«ÁòÂØ¶ÔÒÒ´¼µÄ×÷Óᣡ£¡£¡£¡£¡£5¡¢Ë®ÑîËáÀàÄÜÔöÌíάÉúËØCµÄÉøÍ¸¡£¡£¡£¡£¡£¡£6¡¢²»ÒËÓë¼îÐÔÒ©Îï(È簱ݱ¼î¡¢Ì¼ËáÇâÄÆ¡¢¹È°±ËáÄÆµÈ)¡¢ºË»ÆËØ¡¢ÈýÂÈÊå¶¡´¼¡¢Í¡¢ÌúÀë×Ó(΢Á¿)µÄÈÜÒºÅäÎ飬£¬£¬£¬£¬ÒÔÃâÓ°ÏìÁÆÐ§¡£¡£¡£¡£¡£¡£7¡¢ÓëάÉúËØK3ÅäÎ飬£¬£¬£¬£¬ÒòºóÕßÓÐÑõ»¯ÐÔ£¬£¬£¬£¬£¬¿É±¬·¢Ñõ»¯»¹Ô·´Ó³£¬£¬£¬£¬£¬Ê¹Á½ÕßÁÆÐ§Ï÷Èõ»òÏûÊÅ¡£¡£¡£¡£¡£¡£8¡¢±¾Æ·Óë°±²è¼î¡¢²©À´Ã¹ËØ¡¢Í·æßßòÁÖ¡¢Í·æßÆ¥ßø¡¢Á¬Ïµ´Æ¼¤ËØ¡¢ÓÒÐýÌÇôû¡¢¶àɳÆÕÂØ¡¢ºìÃ¹ËØ¡¢¼×ÑõÃ¹ËØ¡¢ÇàÃ¹ËØG¡¢Î¬ÉúËØK¡¢»ª·¨ÁÖ¡¢ÖØÌ¼ËáÄÆÅäÎé½û¼É¡£¡£¡£¡£¡£¡£
¡¾Ò©Îï¹ýÁ¿¡¿ÖðÈÕ1¡«4g£¬£¬£¬£¬£¬¿ÉÒýÆð¸¹Ðº¡¢Æ¤ÕθËáÔö¶à¡¢Î¸Òº·´Á÷£¬£¬£¬£¬£¬ÓÐʱÉпɼûÃÚÄòϵͳ½áʯ¡¢ÄòÄÚ²ÝËáÑÎÓëÄòËáÑÎÇãÔþÔö¶à¡¢Éî¾²ÂöѪ˨Ðγɡ¢Ñª¹ÜÄÚÈÜѪ»òÄýѪµÈ£¬£¬£¬£¬£¬ÓÐʱ¿Éµ¼Ö°×ϸ°ûÍÌÊÉÄÜÁ¦½µµÍ¡£¡£¡£¡£¡£¡£ÖðÈÕÓÃÁ¿Áè¼Ý5gʱ£¬£¬£¬£¬£¬¿Éµ¼ÖÂÈÜѪ£¬£¬£¬£¬£¬ÖØÕß¿ÉÖÂÃü¡£¡£¡£¡£¡£¡£
¡¾Ò©Àí¶¾Àí¡¿±¾Æ·ÎªÎ¬ÉúËØÀàÒ©¡£¡£¡£¡£¡£¡£Î¬ÉúËØC¼ÓÈë°±»ùËá´úл¡¢Éñ¾µÝÖʵĺϳɡ¢½ºÔÂѰ׺Í×é֯ϸ°û¼äÖʵĺϳɣ¬£¬£¬£¬£¬¿É½µµÍëϸѪ¹ÜµÄͨ͸ÐÔ£¬£¬£¬£¬£¬¼ÓËÙѪҺµÄÄý¹Ì£¬£¬£¬£¬£¬´Ì¼¤ÄýѪ¹¦Ð§£¬£¬£¬£¬£¬Ôö½øÌúÔÚ³¦ÄÚÎüÊÕ£¬£¬£¬£¬£¬´ÙʹѪ֬Ͻµ£¬£¬£¬£¬£¬ÔöÌí¶ÔѬȾµÄ·´¿¹Á¦£¬£¬£¬£¬£¬¼ÓÈë½â¶¾¹¦Ð§£¬£¬£¬£¬£¬ÇÒÓп¹×é°·µÄ×÷Óü°×èÖ¹Ö°©ÎïÖÊ(ÑÇÏõ°·)ÌìÉúµÄ×÷Óᣡ£¡£¡£¡£¡£
¡¾Ò©´ú¶¯Á¦Ñ§¡¿ÂѰ×Á¬ÏµÂʵ͡£¡£¡£¡£¡£¡£ÉÙÁ¿Öü²ØÓÚѪ½¬ºÍϸ°û£¬£¬£¬£¬£¬ÒÔÏÙÌå×éÖ¯ÄÚµÄŨ¶ÈΪ×î¸ß¡£¡£¡£¡£¡£¡£¸ÎÄÚ´úл¡£¡£¡£¡£¡£¡£ÉÙÉÙÊýÒÔÕæÏàÎï»ò´úлÎï¾ÉöÉøÍ¸£¬£¬£¬£¬£¬µ±Ñª½¬Å¨¶È>14¦Ìg/mlʱ£¬£¬£¬£¬£¬ÄòÄÚÇãÔþÁ¿Ôö¶à¡£¡£¡£¡£¡£¡£¿£¿É¾ÑªÒºÍ¸Îöɨ³ý¡£¡£¡£¡£¡£¡£
¡¾Öü²Ø¡¿Õڹ⣬£¬£¬£¬£¬ÃܱÕ(10¡«30¡æ)ÉúÑÄ¡£¡£¡£¡£¡£¡£
¡¾°ü×°¡¿Î÷ÁÖÆ¿×°¡£¡£¡£¡£¡£¡£10Ö§/ºÐ¡£¡£¡£¡£¡£¡£
¡¾ÓÐÓÃÆÚ¡¿24¸öÔ¡£¡£¡£¡£¡£¡£
¡¾Ö´Ðбê×¼¡¿wS-10001-(HD-0070)-2002-2011
¡¾Åú×¼Îĺš¿¹úÒ©×¼×ÖH20063783
¡¾ÉÏÊÐÔÊÐí³ÖÓÐÈË¡¿Ãû³Æ£ºÉ½Î÷304amÓÀÀû¼¯ÍÅÌ©Ê¢ÖÆÒ©ÓÐÏÞ¹«Ë¾
×¢²áµØµã£ºÉ½Î÷Ê¡´óͬÊо¼ÃÊÖÒÕ¿ª·¢ÇøµÚÒ»Ò½Ò©Ô°Çø
¡¾Éú²úÆóÒµ¡¿ÆóÒµÃû³Æ£ºÉ½Î÷304amÓÀÀû¼¯ÍÅÌ©Ê¢ÖÆÒ©ÓÐÏÞ¹«Ë¾
Éú²úµØµã£ºÉ½Î÷Ê¡´óͬÊо¼ÃÊÖÒÕ¿ª·¢ÇøµÚÒ»Ò½Ò©Ô°Çø
ÓÊÕþ±àÂ룺037300
µç»°ºÅÂ룺0352¡ª7290991
´«ÕæºÅÂ룺0352¡ª7290990
