
¡¾Ò©Æ·Ãû³Æ¡¿Í¨ÓÃÃû³Æ£ºÒÀÍкìÃ¹ËØ¿ÅÁ£
Ó¢ÎÄÃû³Æ£ºErythromycin Estolate Granules
ººÓïÆ´Òô£ºYituo Hongmeisu Keli
¡¾³É·Ý¡¿±¾Æ·Ö÷Òª³É·ÝΪÒÀÍкìÃ¹ËØ¡£¡£
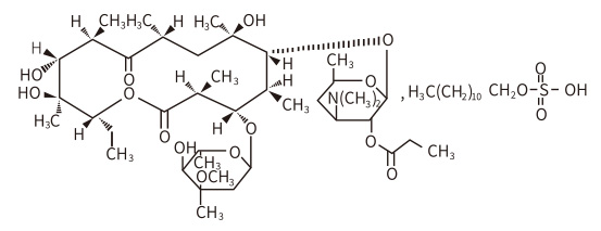
Æä½á¹¹Ê½Îª£º

·Ö×Óʽ£ºC40H71NO14¡¤C12H26O4S
·Ö×ÓÁ¿£º1056.40
¡¾ÐÔ×´¡¿±¾Æ·Îª»ìÐü¿ÅÁ££»£»Æø·Ò·¼¡£¡£
¡¾Ë³Ó¦Ö¢¡¿
1¡¢±¾Æ·×÷ΪÇàÃ¹ËØ¹ýÃô»¼ÕßÖÎÁÆÏÂÁÐѬȾµÄÌæ»»ÓÃÒ©£ºÈÜѪÐÔÁ´Çò¾ú¡¢·ÎÑ×Á´Çò¾úµÈËùÖµļ±ÐÔ±âÌÒÌåÑס¢¼±ÐÔÑÊÑס¢±Çñ¼Ñ×£»£»ÈÜѪÐÔÁ´Çò¾úËùÖµÄÐɺìÈÈ¡¢·äÎÑÖ¯Ñ×£»£»°×ºí¼°°×ºí´ø¾úÕߣ»£»ÆøÐÔ»µ¾Ò¡¢Ì¿¾Ò¡¢ÆÆÉ˷磻£»·ÅÏß¾ú²¡£¡£»£»Ã·¶¾£»£»ÀîË¹ÌØ¾ú²¡µÈ¡£¡£2¡¢¾üÍžú²¡¡£¡£3¡¢·ÎÑ×Ö§ÔÌå·ÎÑס£¡£4¡¢·ÎÑ×ÒÂÔÌå·ÎÑס£¡£5¡¢ÆäËûÒÂÔÌåÊô¡¢Ö§ÔÌåÊôËùÖÂÃÚÄòÉúֳϵѬȾ¡£¡£6¡¢É³ÑÛÒÂÔÌå½áĤÑס£¡£7¡¢ÑáÑõ¾úËùÖ¿ÚǻѬȾ¡£¡£8¡¢¿Õ³¦ÍäÇú¾ú³¦Ñס£¡£9¡¢°ÙÈÕ¿È¡£¡£10¡¢·çʪÈȸ´·¢¡¢Ñ¬È¾ÐÔÐÄÄÚĤÑ×(·çʪÐÔÐÄÔಡ¡¢ÏÈÌìÐÔÐÄÔಡ¡¢ÐÄÔà°êĤÖû»Êõºó)¡¢Ô¤·À¿ÚÇ»»òÉϺôÎüµÀѬȾ£¨ÇàÃ¹ËØµÄÌæ»»ÓÃÒ©)¡£¡£
¡¾¹æ¸ñ¡¿°´ºìÃ¹ËØ¼Æ75mg(7.5Íòµ¥Î»)
¡¾Ó÷¨ÓÃÁ¿¡¿¿Ú·þ£¬£¬£¬£¬£¬£¬³ÉÈËÒ»ÈÕ1~2g£»£»·Ö3~4´Î£¬£¬£¬£¬£¬£¬¶ùͯÖðÈÕ°´ÌåÖØ20-30mg/kg£¬£¬£¬£¬£¬£¬·Ö3~4´Î¡£¡£ÖÎÁƾüÍžú²¡£¬£¬£¬£¬£¬£¬³ÉÈËÒ»´Î0.5~1.0g£¬£¬£¬£¬£¬£¬Ò»ÈÕ4´Î¡£¡£ÓÃ×÷·çʪÈȸ´·¢µÄÔ¤·ÀÓÃҩʱ£¬£¬£¬£¬£¬£¬Ò»´Î0.25g£¬£¬£¬£¬£¬£¬Ò»ÈÕ2´Î¡£¡£ÓÃ×÷ѬȾÐÔÐÄÄÚĤÑ×µÄÔ¤·ÀÓÃҩʱ£¬£¬£¬£¬£¬£¬Êõǰ1Сʱ¿Ú·þ1g£¬£¬£¬£¬£¬£¬Êõºó6СʱÔÙ·þÓÃ0.5g¡£¡£
¡¾²»Á¼·´Ó³¡¿1¡¢·þÓñ¾Æ·ºó±¬·¢¸Î¶¾ÐÔ·´Ó³Õ߽ϷþÓÃÆäËûºìÃ¹ËØÖÆ¼ÁΪ¶à¼û£¬£¬£¬£¬£¬£¬·þÒ©ÊýÈÕ»ò1~2Öܺó»¼Õ߿ɷºÆð·¦Á¦¡¢¶ñÐÄ¡¢ÍÂÄæ¡¢¸¹Í´¡¢Æ¤Õî¡¢·¢Èȵȡ£¡£ÓÐʱ¿É·ºÆð»Æð㣬£¬£¬£¬£¬£¬¸Î¹¦Ð§ÊÔÑéÏÔʾÓÙµ¨£¬£¬£¬£¬£¬£¬Í£Ò©ºó³£¿£¿£¿£¿É»Ö¸´¡£¡£2¡¢Î¸³¦µÀ·´Ó³Óи¹Ðº¡¢¶ñÐÄ¡¢ÍÂÄæ¡¢ÖÐÉϸ¹Í´¡¢¿ÚÉàÌÛÍ´¡¢Î¸ÄɼõÍ˵ȣ¬£¬£¬£¬£¬£¬Æä±¬·¢ÂÊÓë¼ÁÁ¿¾ÞϸÓйء£¡£3¡¢´ó¼ÁÁ¿(¡Ý4g/ÈÕ)Ó¦ÓÃʱ£¬£¬£¬£¬£¬£¬ÓÈÆä¸Î¡¢Éö¼²²¡»¼Õß»òÍíÄ껼Õߣ¬£¬£¬£¬£¬£¬¿ÉÄÜÒýÆðÌýÁ¦¼õÍË£¬£¬£¬£¬£¬£¬Ö÷ÒªÓëѪҩŨ¶È¹ý¸ß(©ƒ12mg/L)Óйأ¬£¬£¬£¬£¬£¬Í£Ò©ºó´ó¶à¿É»Ö¸´¡£¡£4¡¢¹ýÃô·´Ó³ÌåÏÖΪҩÎïÈÈ¡¢Æ¤Õî¡¢ÊÈËáÁ£Ï¸°ûÔö¶àµÈ¡£¡£±¬·¢ÂÊÔ¼0.5%¡«1%¡£¡£5¡¢ÆäËû£ºÅ¼ÓÐÐÄÂÉʧ³£¡¢¿ÚÇ»»òÒõµÀÄîÖé¾úѬȾ¡£¡£
¡¾½û¼É¡¿¶ÔºìÃ¹ËØÀàÒ©Îï¹ýÃôÕß½ûÓᣡ£
¡¾×¢ÖØÊÂÏî¡¿1¡¢½»Ö¯¹ýÃô£º¶ÔÒ»ÖÖºìÃ¹ËØÖÆ¼Á¹ýÃôʱ£¬£¬£¬£¬£¬£¬¶ÔÆäËûºìÃ¹ËØÖÆ¼ÁÒ²¿É¹ýÃô¡£¡£2¡¢·þÓñ¾Æ·ºó·ºÆðALT¡¢AST¡¢AKP¡¢µ¨ºìËØµÈÔö¸ßÕ߽ϷþÓÃÆäËûºìÃ¹ËØÖÆ¼ÁΪ¶à¼û¡£¡£3¡¢ÈÜѪÐÔÁ´Çò¾úѬȾÓñ¾Æ·ÖÎÁÆÊ±£¬£¬£¬£¬£¬£¬ÖÁÉÙÐè³ÖÐø10ÈÕ£¬£¬£¬£¬£¬£¬ÒÔ·ÀÖ¹¼±ÐÔ·çʪÈȵı¬·¢¡£¡£4¡¢ÂýÐԸβ¡¡¢¸Î¹¦Ð§Ëðº¦ÕßÉ÷Óᣡ£5¡¢Éö¹¦Ð§¼õÍË»¼ÕßÒ»°ãÎÞÐèïÔÌÓÃÁ¿¡£¡£6¡¢Òò²î±ðϸ¾ú¶ÔºìÃ¹ËØµÄÃô¸ÐÐÔ±£´æÒ»¶¨²î±ð£¬£¬£¬£¬£¬£¬¹ÊÓ¦×öÒ©Ãô²â¶¨¡£¡£7¡¢¶ÔÕï¶ÏµÄ×ÌÈÅ£ººìÃ¹ËØ¿É×ÌÈÅHigerty·¨µÄÓ«¹â²â¶¨£¬£¬£¬£¬£¬£¬Ê¹Äò¶ù²è·Ó°·µÄ²â¶¨Öµ·ºÆð¼ÙÐÔÔö¸ß¡£¡£ÑªÇå¼îÐÔÁ×Ëáø¡¢µ¨ºìËØ¡¢±û°±Ëá°±»ù×ªÒÆÃ¸ºÍÃŶ¬°±Ëá°±»ù×ªÒÆÃ¸µÄ²â¶¨Öµ¾ù¿ÉÄÜÔö¸ß¡£¡£
¡¾Ôи¾¼°²¸ÈéÆÚ¸¾Å®ÓÃÒ©¡¿1¡¢±¾Æ·¿Éͨ¹ýÌ¥Å̶ø½øÈëÌ¥¶ùÑ»·£¬£¬£¬£¬£¬£¬ÇÒÔи¾·þÓñ¾Æ·ºó·ºÆð¸Î¶¾ÐÔ·´Ó³µÄ¿ÉÄÜÐÔÔöÌí£¬£¬£¬£¬£¬£¬¹ÊÔи¾²»ÒËÓ¦Óᣡ£2¡¢ºìÃ¹ËØÓÐÏ൱Á¿½øÈëĸÈéÖУ¬£¬£¬£¬£¬£¬²¸ÈéÆÚ¸¾Å®Ó¦ÓÃʱÒËÔÝÍ£²¸Èé¡£¡£
¡¾¶ùͯÓÃÒ©¡¿Éв»Ã÷È·
¡¾ÍíÄêÓÃÒ©¡¿Éв»Ã÷È·
¡¾Ò©ÎïÏ໥×÷Óá¿1¡¢±¾Æ·¿ÉÒÖÖÆ¿¨ÂíÎ÷ƽºÍ±ûÎìËáµÈ¿¹ñ²ðïÒ©µÄ´úл£¬£¬£¬£¬£¬£¬µ¼ÖºóÕßѪҩŨ¶ÈÔö¸ß¶ø±¬·¢¶¾ÐÔ·´Ó³¡£¡£±¾Æ·Óë°¢·ÒÌ«ÄáÊÊÓÿÉÒÖÖÆºóÕߵĴúл£¬£¬£¬£¬£¬£¬ÑÓÉìÆä×÷ÓÃʱ¼ä¡£¡£±¾Æ·Ó밢˾ßäßò»òÌØ·ÇÄǶ¨µÈ¿¹×é°·Ò©ÊÊÓÿÉÔöÌíÐÄÔà¶¾ÐÔ£¬£¬£¬£¬£¬£¬Óë»·æßËØÊÊÓÿÉʹºóÕßѪҩŨ¶ÈÔöÌí¶ø±¬·¢Éö¶¾ÐÔ¡£¡£2¡¢ÓëÂÈÃ¹ËØºÍÁÖ¿Éõ£°·ÀàÓÐÞ׿¹×÷Ó㬣¬£¬£¬£¬£¬²»ÍƼöͬÓᣡ£3¡¢±¾Æ·ÎªÒÖ¾ú¼Á£¬£¬£¬£¬£¬£¬¿É×ÌÈÅÇàÃ¹ËØµÄɱ¾úЧÄÜ£¬£¬£¬£¬£¬£¬¹Êµ±ÐèÒª¿ìËÙɱ¾ú×÷ÓÃÈçÖÎÁÆÄÔĤÑ×ʱ£¬£¬£¬£¬£¬£¬Á½Õß²»ÒËÁªÊÊÓÃÒ©¡£¡£4¡¢ºã¾Ã·þÓûª·¨ÁֵϼÕßÓ¦ÓúìÃ¹ËØÊ±¿Éµ¼ÖÂÄýѪøÔʱ¼äÑÓÉ죬£¬£¬£¬£¬£¬´Ó¶øÔöÌí³öѪµÄΣÏÕÐÔ£¬£¬£¬£¬£¬£¬ÍíÄ겡ÈËÓÈӦע֨£¬£¬£¬£¬£¬£¬Á½Õß±ØÐèͬʱʹÓÃʱ£¬£¬£¬£¬£¬£¬»ª·¨ÁֵļÁÁ¿ÒËÊʵ±µ÷½â£¬£¬£¬£¬£¬£¬²¢ÑÏÃÜÊÓ²ìÄýѪøÔʱ¼ä¡£¡£5¡¢³ý¶þôDZû²è¼îÍ⣬£¬£¬£¬£¬£¬±¾Æ·Óë»ÆàÑßÊÀàͬÓÿÉʹ°±²è¼îµÄ¸Îɨ³ýïÔÌ£¬£¬£¬£¬£¬£¬µ¼ÖÂѪÇå°±²è¼îŨ¶ÈÉý¸ßºÍ(»ò)¶¾ÐÔ·´Ó³ÔöÌí£¬£¬£¬£¬£¬£¬ÕâÒ»Õ÷ÏóÔÚÊÊÓÃ6ÈÕºó½ÏÒ×±¬·¢£¬£¬£¬£¬£¬£¬°±²è¼îɨ³ýµÄïÔÌ·ù¶ÈÓ뱾ƷѪÇå·åÖµ³ÉÕý±È¡£¡£Òò´ËÔÚÁ½ÕßÊÊÓÃÁƳÌÖкÍÁƳ̺󣬣¬£¬£¬£¬£¬»ÆàÑßÊÀàµÄ¼ÁÁ¿Ó¦Óèµ÷½â¡£¡£6¡¢ÓëÆäËû¸Î¶¾ÐÔÒ©ÎïÊÊÓÿÉÄÜÔöÇ¿¸Î¶¾ÐÔ¡£¡£7¡¢´ó¼ÁÁ¿±¾Æ·Óë¶ú¶¾ÐÔÒ©ÎïÊÊÓ㬣¬£¬£¬£¬£¬ÓÈÆäÉö¹¦Ð§¼õÍË»¼Õß¿ÉÄÜÔöÌí¶ú¶¾ÐÔ¡£¡£8¡¢ÓëÂå·¥ËûÍ¡ÊÊÓÃʱ¿ÉÒÖÖÆÆä´úл¶øÊ¹ÑªÅ¨¶ÈÉÏÉý£¬£¬£¬£¬£¬£¬¿ÉÄÜÒýÆðºáÎÆ¼¡ÏûÈÚ£¬£¬£¬£¬£¬£¬Óëßä´ïßòÂØ»òÈýßòÂØÊÊÓÃʱ¿ÉïÔ̶þÕßµÄɨ³ý¶øÔöÇ¿Æä×÷Óᣡ£
¡¾Ò©Îï¹ýÁ¿¡¿Ó¦ÊµÊ±Í£Ò©¸øÓè¶ÔÖ¢ºÍÖ§³ÖÖÎÁÆ¡£¡£ÑªÒºÍ¸Îö»ò¸¹Ä¤Í¸ÎöºóÉÙÉÙ±»Ïû³ý¡£¡£
¡¾Ò©Àí¶¾Àí¡¿±¾Æ·Êô´ó»·ÄÚõ¥À࿹ÉúËØ£¬£¬£¬£¬£¬£¬ÎªºìÃ¹ËØ±ûËáõ¥µÄÊ®¶þÍé»ùÁòËáÑΣ¬£¬£¬£¬£¬£¬¶ÔÆÏÌÑÇò¾úÊô¡¢¸÷×éÁ´Çò¾úºÍ¸ïÀ¼ÑôÐԸ˾ú¾ù¾ß¿¹¾ú»îÐÔ£¬£¬£¬£¬£¬£¬ÄÎɪ¾úÊô£¬£¬£¬£¬£¬£¬Á÷¸ÐÊÈѪ¸Ë¾ú£¬£¬£¬£¬£¬£¬°ÙÈտȱ«ÌØÊϾúµÈÒ²¿É¶Ô±¾Æ··ºÆðÃô¸Ð¡£¡£±¾Æ·¶Ô³ýųÈõÄâ¸Ë¾úºÍËó¸Ë¾úÊôÒÔÍâµÄÖÖÖÖÑáÑõ¾úÒà¾ß¿¹¾ú»îÐÔ£»£»¶Ô¾üÍžúÊô¡¢Ì¥¶ùÍäÇú¾ú¡¢Ä³Ð©ÂÝÐýÌå¡¢·ÎÑ×Ö§ÔÌå¡¢Á¢¿Ë´ÎÌåÊôºÍÒÂÔÌåÊôÒ²ÓÐÒÖÖÆ×÷Óᣡ£±¾Æ·ÏµÒÖ¾ú¼Á£¬£¬£¬£¬£¬£¬µ«ÔÚ¸ßŨ¶Èʱ¶ÔijЩϸ¾úÒ²¾ßɱ¾ú×÷Ó㬣¬£¬£¬£¬£¬±¾Æ·¿É͸Ï꾡¾úϸ°ûĤ£¬£¬£¬£¬£¬£¬ÔÚ¿¿½ü¹©Î»(¡°P¡±Î»)´¦ÓÚϸ¾úºËÌÇÌåµÄ50SÑÇ»ù³É¿ÉÄæÐÔÁ¬Ïµ£¬£¬£¬£¬£¬£¬×è¶ÏÁË×ªÒÆºËÌǺËËá(t-RNA )Á¬ÏµÖÁ¡°P¡±Î»ÉÏ£¬£¬£¬£¬£¬£¬Í¬Ê±Ò²×è¶ÏÁ˶àëÄÁ´×ÔÊÜλ(¡°A¡±Î»)ÖÁ¡°P¡±Î»µÄÎ»ÒÆ£¬£¬£¬£¬£¬£¬Òò¶øÏ¸¾úÂѰ×ÖʺϳÉÊÜÒÖÖÆ¡£¡£±¾Æ·½ö¶ÔÆÆËé»îÔ¾µÄϸ¾úÓÐÓᣡ£
¡¾Ò©´ú¶¯Á¦Ñ§¡¿¿Õ¸¹»ò·¹ºó¿Ú·þ¶¼ÎüÊպܿ죬£¬£¬£¬£¬£¬ÔÚθËáÖнÏÎȹ̡£¡£ÂѰ×Á¬ÏµÂÊΪ90%~99%£¬£¬£¬£¬£¬£¬¿Ú·þºóÔÚ賦µÀÖÐÆÊÎöΪºìÃ¹ËØ±ûËáõ¥£¬£¬£¬£¬£¬£¬²¿·ÖÔÚѪҺÖÐË®½â³ÉÓÎÀëµÄºìÃ¹ËØ¶øÆð¿¹¾ú×÷Óᣡ£¿£¿£¿£¿Ú·þ0.25¿ËºÍ0.5¿ËµÄѪҩ·åŨ¶È(Cmax)ÓÚ2СʱµÖ´ï£¬£¬£¬£¬£¬£¬»®·ÖΪ1.4ºÁ¿Ë/ÉýºÍ4.2ºÁ¿Ë/Éý¡£¡£ÎüÊÕºó³ýÄÔ¼¹ÒººÍÄÔ×éÖ¯Í⣬£¬£¬£¬£¬£¬ÆÕ±éÂþÑÜÓÚ¸÷×éÖ¯ºÍÌåÒºÖУ¬£¬£¬£¬£¬£¬ÓÈÒԸΡ¢µ¨ÖºÍÆ¢ÖеÄŨ¶ÈΪ×î¸ß£¬£¬£¬£¬£¬£¬ÔÚÉö¡¢·ÎµÈ×éÖ¯ÖеÄŨ¶È¿Éºá¿çѪҩŨ¶ÈÊý±¶£¬£¬£¬£¬£¬£¬ÔÚµ¨ÖÖеÄŨ¶È¿É´ïѪҩŨ¶ÈµÄ10-40±¶ÒÔÉÏ¡£¡£ÔÚÆ¤ÏÂ×éÖ¯¡¢Ìµ¼°Ö§Æø¹ÜÉøÍ¸ÎïÖеÄŨ¶ÈÒ²½Ï¸ß£¬£¬£¬£¬£¬£¬ÌµÖÐŨ¶ÈÓëѪҩŨ¶ÈÏà·Â£»£»ÔÚÐØ¡¢¸¹Ë®¡¢Å§ÒºµÈÖеÄŨ¶È¿É´ïÓÐÓÃˮƽ¡£¡£±¾Æ·ÓÐÒ»¶¨Á¿(ԼΪѪҩŨ¶ÈµÄ33%)½øÈëǰÏßÏÙ¼°¾«ÄÒÖУ¬£¬£¬£¬£¬£¬µ«²»Ò×͸¹ýѪ-ÄÔ¼¹ÒºÆÁÕÏ£¬£¬£¬£¬£¬£¬ÄÔĤÓÐÑ×֢ʱÄÔ¼¹ÒºÖÐŨ¶È½öΪѪҩŨ¶ÈµÄ10%×óÓÒ¡£¡£¿£¿£¿£¿É½øÈë̥ѪºÍÅÅÈëĸÈéÖУ¬£¬£¬£¬£¬£¬Ì¥¶ùѪҩŨ¶ÈΪĸÌåѪҩŨ¶ÈµÄ5%~20%£¬£¬£¬£¬£¬£¬Ä¸ÈéÖÐÒ©ÎïŨ¶È¿É´ïѪҩŨ¶ÈµÄ50%ÒÔÉÏ¡£¡£±í¹ÛÂþÑÜÈÝ»ý(VD)Ϊ0.9Éý/ǧ¿Ë¡£¡£ÓÎÀëºìÃ¹ËØÔÚ¸ÎÄÚ´úл£¬£¬£¬£¬£¬£¬ÑªÏû³ý°ëË¥ÆÚ(t?¦Â)Ϊ1.4~2Сʱ£¬£¬£¬£¬£¬£¬ÎÞÄò»¼ÕßµÄѪ°ëË¥ÆÚ¿ÉÑÓÉìµ½4.8~6Сʱ¡£¡£ÒÀÍкìÃ¹ËØÖ÷ÒªÔÚ¸ÎÖÐŨËõºÍ´Óµ¨ÖÇãÔþ£¬£¬£¬£¬£¬£¬²¢¾ÙÐг¦¸ÎÑ»·£¬£¬£¬£¬£¬£¬Ô¼2%~5%µÄ¿Ú·þÁ¿ºÍ10%~15%µÄ×¢ÈëÁ¿×ÔÉöСÇòÂ˹ýɨ³ý£¬£¬£¬£¬£¬£¬ÄòÖÐŨ¶È¿É´ï10~100ºÁ¿Ë/Éý¡£¡£·à±ãÖÐÒ²º¬ÓÐÒ»¶¨Á¿¡£¡£Ñª»ò¸¹Ä¤Í¸ÎöºóÉÙÉÙ±»É¨³ý£¬£¬£¬£¬£¬£¬¹Ê͸ÎöºóÎÞÐè¼ÓÓᣡ£
¡¾Öü²Ø¡¿Õڹ⣬£¬£¬£¬£¬£¬ÃÜ·âÉúÑÄ¡£¡£
¡¾°ü×°¡¿Ò©Óø´ºÏĤ£»£»10´ü/ºÐ¡£¡£
¡¾ÓÐÓÃÆÚ¡¿24¸öÔÂ
¡¾Ö´Ðбê×¼¡¿¡¶ÖйúÒ©µä¡·2020Äê°æ¶þ²¿
¡¾Åú×¼Îĺš¿¹úÒ©×¼×ÖH14020421
¡¾ÉÏÊÐÔÊÐí³ÖÓÐÈË¡¿Ãû³Æ£ºÉ½Î÷304amÓÀÀû¼¯ÍŰ²ÐÀÉúÎïÖÆÒ©ÓÐÏÞ¹«Ë¾
×¢²áµØµã£ºÉ½Î÷Ê¡½úÖÐÊÐɽÎ÷Ê÷Ä£Çø½úÖпª·¢Çø»ãͨ¹¤ÒµÔ°Çø»þ³Ç·908ºÅ
¡¾Éú²úÆóÒµ¡¿ÆóÒµÃû³Æ£ºÉ½Î÷304amÓÀÀû¼¯ÍŰ²ÐÀÉúÎïÖÆÒ©ÓÐÏÞ¹«Ë¾
Éú²úµØµã£ºÉ½Î÷Ê¡½úÖÐÊлþ³Ç·908ºÅ(½úÖо¼ÃÊÖÒÕ¿ª·¢ÇøÃñÓª¿Æ¼¼Ô°)
ÓÊÕþ±àÂ룺030600
µç»°ºÅÂ룺0354-2467981 0354-2467996
´«ÕæºÅÂ룺0354-2467996
꿅᣼www.zdjt.com

¡¾Ò©Æ·Ãû³Æ¡¿Í¨ÓÃÃû³Æ£ºÒÀÍкìÃ¹ËØ¿ÅÁ£
Ó¢ÎÄÃû³Æ£ºErythromycin Estolate Granules
ººÓïÆ´Òô£ºYituo Hongmeisu Keli
¡¾³É·Ý¡¿±¾Æ·Ö÷Òª³É·ÝΪÒÀÍкìÃ¹ËØ¡£¡£
Æä½á¹¹Ê½Îª£º

·Ö×Óʽ£ºC40H71NO14¡¤C12H26O4S
·Ö×ÓÁ¿£º1056.40
¡¾ÐÔ×´¡¿±¾Æ·Îª»ìÐü¿ÅÁ££»£»Æø·Ò·¼¡£¡£
¡¾Ë³Ó¦Ö¢¡¿
1¡¢±¾Æ·×÷ΪÇàÃ¹ËØ¹ýÃô»¼ÕßÖÎÁÆÏÂÁÐѬȾµÄÌæ»»ÓÃÒ©£ºÈÜѪÐÔÁ´Çò¾ú¡¢·ÎÑ×Á´Çò¾úµÈËùÖµļ±ÐÔ±âÌÒÌåÑס¢¼±ÐÔÑÊÑס¢±Çñ¼Ñ×£»£»ÈÜѪÐÔÁ´Çò¾úËùÖµÄÐɺìÈÈ¡¢·äÎÑÖ¯Ñ×£»£»°×ºí¼°°×ºí´ø¾úÕߣ»£»ÆøÐÔ»µ¾Ò¡¢Ì¿¾Ò¡¢ÆÆÉ˷磻£»·ÅÏß¾ú²¡£¡£»£»Ã·¶¾£»£»ÀîË¹ÌØ¾ú²¡µÈ¡£¡£2¡¢¾üÍžú²¡¡£¡£3¡¢·ÎÑ×Ö§ÔÌå·ÎÑס£¡£4¡¢·ÎÑ×ÒÂÔÌå·ÎÑס£¡£5¡¢ÆäËûÒÂÔÌåÊô¡¢Ö§ÔÌåÊôËùÖÂÃÚÄòÉúֳϵѬȾ¡£¡£6¡¢É³ÑÛÒÂÔÌå½áĤÑס£¡£7¡¢ÑáÑõ¾úËùÖ¿ÚǻѬȾ¡£¡£8¡¢¿Õ³¦ÍäÇú¾ú³¦Ñס£¡£9¡¢°ÙÈÕ¿È¡£¡£10¡¢·çʪÈȸ´·¢¡¢Ñ¬È¾ÐÔÐÄÄÚĤÑ×(·çʪÐÔÐÄÔಡ¡¢ÏÈÌìÐÔÐÄÔಡ¡¢ÐÄÔà°êĤÖû»Êõºó)¡¢Ô¤·À¿ÚÇ»»òÉϺôÎüµÀѬȾ£¨ÇàÃ¹ËØµÄÌæ»»ÓÃÒ©)¡£¡£
¡¾¹æ¸ñ¡¿°´ºìÃ¹ËØ¼Æ75mg(7.5Íòµ¥Î»)
¡¾Ó÷¨ÓÃÁ¿¡¿¿Ú·þ£¬£¬£¬£¬£¬£¬³ÉÈËÒ»ÈÕ1~2g£»£»·Ö3~4´Î£¬£¬£¬£¬£¬£¬¶ùͯÖðÈÕ°´ÌåÖØ20-30mg/kg£¬£¬£¬£¬£¬£¬·Ö3~4´Î¡£¡£ÖÎÁƾüÍžú²¡£¬£¬£¬£¬£¬£¬³ÉÈËÒ»´Î0.5~1.0g£¬£¬£¬£¬£¬£¬Ò»ÈÕ4´Î¡£¡£ÓÃ×÷·çʪÈȸ´·¢µÄÔ¤·ÀÓÃҩʱ£¬£¬£¬£¬£¬£¬Ò»´Î0.25g£¬£¬£¬£¬£¬£¬Ò»ÈÕ2´Î¡£¡£ÓÃ×÷ѬȾÐÔÐÄÄÚĤÑ×µÄÔ¤·ÀÓÃҩʱ£¬£¬£¬£¬£¬£¬Êõǰ1Сʱ¿Ú·þ1g£¬£¬£¬£¬£¬£¬Êõºó6СʱÔÙ·þÓÃ0.5g¡£¡£
¡¾²»Á¼·´Ó³¡¿1¡¢·þÓñ¾Æ·ºó±¬·¢¸Î¶¾ÐÔ·´Ó³Õ߽ϷþÓÃÆäËûºìÃ¹ËØÖÆ¼ÁΪ¶à¼û£¬£¬£¬£¬£¬£¬·þÒ©ÊýÈÕ»ò1~2Öܺó»¼Õ߿ɷºÆð·¦Á¦¡¢¶ñÐÄ¡¢ÍÂÄæ¡¢¸¹Í´¡¢Æ¤Õî¡¢·¢Èȵȡ£¡£ÓÐʱ¿É·ºÆð»Æð㣬£¬£¬£¬£¬£¬¸Î¹¦Ð§ÊÔÑéÏÔʾÓÙµ¨£¬£¬£¬£¬£¬£¬Í£Ò©ºó³£¿£¿£¿£¿É»Ö¸´¡£¡£2¡¢Î¸³¦µÀ·´Ó³Óи¹Ðº¡¢¶ñÐÄ¡¢ÍÂÄæ¡¢ÖÐÉϸ¹Í´¡¢¿ÚÉàÌÛÍ´¡¢Î¸ÄɼõÍ˵ȣ¬£¬£¬£¬£¬£¬Æä±¬·¢ÂÊÓë¼ÁÁ¿¾ÞϸÓйء£¡£3¡¢´ó¼ÁÁ¿(¡Ý4g/ÈÕ)Ó¦ÓÃʱ£¬£¬£¬£¬£¬£¬ÓÈÆä¸Î¡¢Éö¼²²¡»¼Õß»òÍíÄ껼Õߣ¬£¬£¬£¬£¬£¬¿ÉÄÜÒýÆðÌýÁ¦¼õÍË£¬£¬£¬£¬£¬£¬Ö÷ÒªÓëѪҩŨ¶È¹ý¸ß(©ƒ12mg/L)Óйأ¬£¬£¬£¬£¬£¬Í£Ò©ºó´ó¶à¿É»Ö¸´¡£¡£4¡¢¹ýÃô·´Ó³ÌåÏÖΪҩÎïÈÈ¡¢Æ¤Õî¡¢ÊÈËáÁ£Ï¸°ûÔö¶àµÈ¡£¡£±¬·¢ÂÊÔ¼0.5%¡«1%¡£¡£5¡¢ÆäËû£ºÅ¼ÓÐÐÄÂÉʧ³£¡¢¿ÚÇ»»òÒõµÀÄîÖé¾úѬȾ¡£¡£
¡¾½û¼É¡¿¶ÔºìÃ¹ËØÀàÒ©Îï¹ýÃôÕß½ûÓᣡ£
¡¾×¢ÖØÊÂÏî¡¿1¡¢½»Ö¯¹ýÃô£º¶ÔÒ»ÖÖºìÃ¹ËØÖÆ¼Á¹ýÃôʱ£¬£¬£¬£¬£¬£¬¶ÔÆäËûºìÃ¹ËØÖÆ¼ÁÒ²¿É¹ýÃô¡£¡£2¡¢·þÓñ¾Æ·ºó·ºÆðALT¡¢AST¡¢AKP¡¢µ¨ºìËØµÈÔö¸ßÕ߽ϷþÓÃÆäËûºìÃ¹ËØÖÆ¼ÁΪ¶à¼û¡£¡£3¡¢ÈÜѪÐÔÁ´Çò¾úѬȾÓñ¾Æ·ÖÎÁÆÊ±£¬£¬£¬£¬£¬£¬ÖÁÉÙÐè³ÖÐø10ÈÕ£¬£¬£¬£¬£¬£¬ÒÔ·ÀÖ¹¼±ÐÔ·çʪÈȵı¬·¢¡£¡£4¡¢ÂýÐԸβ¡¡¢¸Î¹¦Ð§Ëðº¦ÕßÉ÷Óᣡ£5¡¢Éö¹¦Ð§¼õÍË»¼ÕßÒ»°ãÎÞÐèïÔÌÓÃÁ¿¡£¡£6¡¢Òò²î±ðϸ¾ú¶ÔºìÃ¹ËØµÄÃô¸ÐÐÔ±£´æÒ»¶¨²î±ð£¬£¬£¬£¬£¬£¬¹ÊÓ¦×öÒ©Ãô²â¶¨¡£¡£7¡¢¶ÔÕï¶ÏµÄ×ÌÈÅ£ººìÃ¹ËØ¿É×ÌÈÅHigerty·¨µÄÓ«¹â²â¶¨£¬£¬£¬£¬£¬£¬Ê¹Äò¶ù²è·Ó°·µÄ²â¶¨Öµ·ºÆð¼ÙÐÔÔö¸ß¡£¡£ÑªÇå¼îÐÔÁ×Ëáø¡¢µ¨ºìËØ¡¢±û°±Ëá°±»ù×ªÒÆÃ¸ºÍÃŶ¬°±Ëá°±»ù×ªÒÆÃ¸µÄ²â¶¨Öµ¾ù¿ÉÄÜÔö¸ß¡£¡£
¡¾Ôи¾¼°²¸ÈéÆÚ¸¾Å®ÓÃÒ©¡¿1¡¢±¾Æ·¿Éͨ¹ýÌ¥Å̶ø½øÈëÌ¥¶ùÑ»·£¬£¬£¬£¬£¬£¬ÇÒÔи¾·þÓñ¾Æ·ºó·ºÆð¸Î¶¾ÐÔ·´Ó³µÄ¿ÉÄÜÐÔÔöÌí£¬£¬£¬£¬£¬£¬¹ÊÔи¾²»ÒËÓ¦Óᣡ£2¡¢ºìÃ¹ËØÓÐÏ൱Á¿½øÈëĸÈéÖУ¬£¬£¬£¬£¬£¬²¸ÈéÆÚ¸¾Å®Ó¦ÓÃʱÒËÔÝÍ£²¸Èé¡£¡£
¡¾¶ùͯÓÃÒ©¡¿Éв»Ã÷È·
¡¾ÍíÄêÓÃÒ©¡¿Éв»Ã÷È·
¡¾Ò©ÎïÏ໥×÷Óá¿1¡¢±¾Æ·¿ÉÒÖÖÆ¿¨ÂíÎ÷ƽºÍ±ûÎìËáµÈ¿¹ñ²ðïÒ©µÄ´úл£¬£¬£¬£¬£¬£¬µ¼ÖºóÕßѪҩŨ¶ÈÔö¸ß¶ø±¬·¢¶¾ÐÔ·´Ó³¡£¡£±¾Æ·Óë°¢·ÒÌ«ÄáÊÊÓÿÉÒÖÖÆºóÕߵĴúл£¬£¬£¬£¬£¬£¬ÑÓÉìÆä×÷ÓÃʱ¼ä¡£¡£±¾Æ·Ó밢˾ßäßò»òÌØ·ÇÄǶ¨µÈ¿¹×é°·Ò©ÊÊÓÿÉÔöÌíÐÄÔà¶¾ÐÔ£¬£¬£¬£¬£¬£¬Óë»·æßËØÊÊÓÿÉʹºóÕßѪҩŨ¶ÈÔöÌí¶ø±¬·¢Éö¶¾ÐÔ¡£¡£2¡¢ÓëÂÈÃ¹ËØºÍÁÖ¿Éõ£°·ÀàÓÐÞ׿¹×÷Ó㬣¬£¬£¬£¬£¬²»ÍƼöͬÓᣡ£3¡¢±¾Æ·ÎªÒÖ¾ú¼Á£¬£¬£¬£¬£¬£¬¿É×ÌÈÅÇàÃ¹ËØµÄɱ¾úЧÄÜ£¬£¬£¬£¬£¬£¬¹Êµ±ÐèÒª¿ìËÙɱ¾ú×÷ÓÃÈçÖÎÁÆÄÔĤÑ×ʱ£¬£¬£¬£¬£¬£¬Á½Õß²»ÒËÁªÊÊÓÃÒ©¡£¡£4¡¢ºã¾Ã·þÓûª·¨ÁֵϼÕßÓ¦ÓúìÃ¹ËØÊ±¿Éµ¼ÖÂÄýѪøÔʱ¼äÑÓÉ죬£¬£¬£¬£¬£¬´Ó¶øÔöÌí³öѪµÄΣÏÕÐÔ£¬£¬£¬£¬£¬£¬ÍíÄ겡ÈËÓÈӦע֨£¬£¬£¬£¬£¬£¬Á½Õß±ØÐèͬʱʹÓÃʱ£¬£¬£¬£¬£¬£¬»ª·¨ÁֵļÁÁ¿ÒËÊʵ±µ÷½â£¬£¬£¬£¬£¬£¬²¢ÑÏÃÜÊÓ²ìÄýѪøÔʱ¼ä¡£¡£5¡¢³ý¶þôDZû²è¼îÍ⣬£¬£¬£¬£¬£¬±¾Æ·Óë»ÆàÑßÊÀàͬÓÿÉʹ°±²è¼îµÄ¸Îɨ³ýïÔÌ£¬£¬£¬£¬£¬£¬µ¼ÖÂѪÇå°±²è¼îŨ¶ÈÉý¸ßºÍ(»ò)¶¾ÐÔ·´Ó³ÔöÌí£¬£¬£¬£¬£¬£¬ÕâÒ»Õ÷ÏóÔÚÊÊÓÃ6ÈÕºó½ÏÒ×±¬·¢£¬£¬£¬£¬£¬£¬°±²è¼îɨ³ýµÄïÔÌ·ù¶ÈÓ뱾ƷѪÇå·åÖµ³ÉÕý±È¡£¡£Òò´ËÔÚÁ½ÕßÊÊÓÃÁƳÌÖкÍÁƳ̺󣬣¬£¬£¬£¬£¬»ÆàÑßÊÀàµÄ¼ÁÁ¿Ó¦Óèµ÷½â¡£¡£6¡¢ÓëÆäËû¸Î¶¾ÐÔÒ©ÎïÊÊÓÿÉÄÜÔöÇ¿¸Î¶¾ÐÔ¡£¡£7¡¢´ó¼ÁÁ¿±¾Æ·Óë¶ú¶¾ÐÔÒ©ÎïÊÊÓ㬣¬£¬£¬£¬£¬ÓÈÆäÉö¹¦Ð§¼õÍË»¼Õß¿ÉÄÜÔöÌí¶ú¶¾ÐÔ¡£¡£8¡¢ÓëÂå·¥ËûÍ¡ÊÊÓÃʱ¿ÉÒÖÖÆÆä´úл¶øÊ¹ÑªÅ¨¶ÈÉÏÉý£¬£¬£¬£¬£¬£¬¿ÉÄÜÒýÆðºáÎÆ¼¡ÏûÈÚ£¬£¬£¬£¬£¬£¬Óëßä´ïßòÂØ»òÈýßòÂØÊÊÓÃʱ¿ÉïÔ̶þÕßµÄɨ³ý¶øÔöÇ¿Æä×÷Óᣡ£
¡¾Ò©Îï¹ýÁ¿¡¿Ó¦ÊµÊ±Í£Ò©¸øÓè¶ÔÖ¢ºÍÖ§³ÖÖÎÁÆ¡£¡£ÑªÒºÍ¸Îö»ò¸¹Ä¤Í¸ÎöºóÉÙÉÙ±»Ïû³ý¡£¡£
¡¾Ò©Àí¶¾Àí¡¿±¾Æ·Êô´ó»·ÄÚõ¥À࿹ÉúËØ£¬£¬£¬£¬£¬£¬ÎªºìÃ¹ËØ±ûËáõ¥µÄÊ®¶þÍé»ùÁòËáÑΣ¬£¬£¬£¬£¬£¬¶ÔÆÏÌÑÇò¾úÊô¡¢¸÷×éÁ´Çò¾úºÍ¸ïÀ¼ÑôÐԸ˾ú¾ù¾ß¿¹¾ú»îÐÔ£¬£¬£¬£¬£¬£¬ÄÎɪ¾úÊô£¬£¬£¬£¬£¬£¬Á÷¸ÐÊÈѪ¸Ë¾ú£¬£¬£¬£¬£¬£¬°ÙÈտȱ«ÌØÊϾúµÈÒ²¿É¶Ô±¾Æ··ºÆðÃô¸Ð¡£¡£±¾Æ·¶Ô³ýųÈõÄâ¸Ë¾úºÍËó¸Ë¾úÊôÒÔÍâµÄÖÖÖÖÑáÑõ¾úÒà¾ß¿¹¾ú»îÐÔ£»£»¶Ô¾üÍžúÊô¡¢Ì¥¶ùÍäÇú¾ú¡¢Ä³Ð©ÂÝÐýÌå¡¢·ÎÑ×Ö§ÔÌå¡¢Á¢¿Ë´ÎÌåÊôºÍÒÂÔÌåÊôÒ²ÓÐÒÖÖÆ×÷Óᣡ£±¾Æ·ÏµÒÖ¾ú¼Á£¬£¬£¬£¬£¬£¬µ«ÔÚ¸ßŨ¶Èʱ¶ÔijЩϸ¾úÒ²¾ßɱ¾ú×÷Ó㬣¬£¬£¬£¬£¬±¾Æ·¿É͸Ï꾡¾úϸ°ûĤ£¬£¬£¬£¬£¬£¬ÔÚ¿¿½ü¹©Î»(¡°P¡±Î»)´¦ÓÚϸ¾úºËÌÇÌåµÄ50SÑÇ»ù³É¿ÉÄæÐÔÁ¬Ïµ£¬£¬£¬£¬£¬£¬×è¶ÏÁË×ªÒÆºËÌǺËËá(t-RNA )Á¬ÏµÖÁ¡°P¡±Î»ÉÏ£¬£¬£¬£¬£¬£¬Í¬Ê±Ò²×è¶ÏÁ˶àëÄÁ´×ÔÊÜλ(¡°A¡±Î»)ÖÁ¡°P¡±Î»µÄÎ»ÒÆ£¬£¬£¬£¬£¬£¬Òò¶øÏ¸¾úÂѰ×ÖʺϳÉÊÜÒÖÖÆ¡£¡£±¾Æ·½ö¶ÔÆÆËé»îÔ¾µÄϸ¾úÓÐÓᣡ£
¡¾Ò©´ú¶¯Á¦Ñ§¡¿¿Õ¸¹»ò·¹ºó¿Ú·þ¶¼ÎüÊպܿ죬£¬£¬£¬£¬£¬ÔÚθËáÖнÏÎȹ̡£¡£ÂѰ×Á¬ÏµÂÊΪ90%~99%£¬£¬£¬£¬£¬£¬¿Ú·þºóÔÚ賦µÀÖÐÆÊÎöΪºìÃ¹ËØ±ûËáõ¥£¬£¬£¬£¬£¬£¬²¿·ÖÔÚѪҺÖÐË®½â³ÉÓÎÀëµÄºìÃ¹ËØ¶øÆð¿¹¾ú×÷Óᣡ£¿£¿£¿£¿Ú·þ0.25¿ËºÍ0.5¿ËµÄѪҩ·åŨ¶È(Cmax)ÓÚ2СʱµÖ´ï£¬£¬£¬£¬£¬£¬»®·ÖΪ1.4ºÁ¿Ë/ÉýºÍ4.2ºÁ¿Ë/Éý¡£¡£ÎüÊÕºó³ýÄÔ¼¹ÒººÍÄÔ×éÖ¯Í⣬£¬£¬£¬£¬£¬ÆÕ±éÂþÑÜÓÚ¸÷×éÖ¯ºÍÌåÒºÖУ¬£¬£¬£¬£¬£¬ÓÈÒԸΡ¢µ¨ÖºÍÆ¢ÖеÄŨ¶ÈΪ×î¸ß£¬£¬£¬£¬£¬£¬ÔÚÉö¡¢·ÎµÈ×éÖ¯ÖеÄŨ¶È¿Éºá¿çѪҩŨ¶ÈÊý±¶£¬£¬£¬£¬£¬£¬ÔÚµ¨ÖÖеÄŨ¶È¿É´ïѪҩŨ¶ÈµÄ10-40±¶ÒÔÉÏ¡£¡£ÔÚÆ¤ÏÂ×éÖ¯¡¢Ìµ¼°Ö§Æø¹ÜÉøÍ¸ÎïÖеÄŨ¶ÈÒ²½Ï¸ß£¬£¬£¬£¬£¬£¬ÌµÖÐŨ¶ÈÓëѪҩŨ¶ÈÏà·Â£»£»ÔÚÐØ¡¢¸¹Ë®¡¢Å§ÒºµÈÖеÄŨ¶È¿É´ïÓÐÓÃˮƽ¡£¡£±¾Æ·ÓÐÒ»¶¨Á¿(ԼΪѪҩŨ¶ÈµÄ33%)½øÈëǰÏßÏÙ¼°¾«ÄÒÖУ¬£¬£¬£¬£¬£¬µ«²»Ò×͸¹ýѪ-ÄÔ¼¹ÒºÆÁÕÏ£¬£¬£¬£¬£¬£¬ÄÔĤÓÐÑ×֢ʱÄÔ¼¹ÒºÖÐŨ¶È½öΪѪҩŨ¶ÈµÄ10%×óÓÒ¡£¡£¿£¿£¿£¿É½øÈë̥ѪºÍÅÅÈëĸÈéÖУ¬£¬£¬£¬£¬£¬Ì¥¶ùѪҩŨ¶ÈΪĸÌåѪҩŨ¶ÈµÄ5%~20%£¬£¬£¬£¬£¬£¬Ä¸ÈéÖÐÒ©ÎïŨ¶È¿É´ïѪҩŨ¶ÈµÄ50%ÒÔÉÏ¡£¡£±í¹ÛÂþÑÜÈÝ»ý(VD)Ϊ0.9Éý/ǧ¿Ë¡£¡£ÓÎÀëºìÃ¹ËØÔÚ¸ÎÄÚ´úл£¬£¬£¬£¬£¬£¬ÑªÏû³ý°ëË¥ÆÚ(t?¦Â)Ϊ1.4~2Сʱ£¬£¬£¬£¬£¬£¬ÎÞÄò»¼ÕßµÄѪ°ëË¥ÆÚ¿ÉÑÓÉìµ½4.8~6Сʱ¡£¡£ÒÀÍкìÃ¹ËØÖ÷ÒªÔÚ¸ÎÖÐŨËõºÍ´Óµ¨ÖÇãÔþ£¬£¬£¬£¬£¬£¬²¢¾ÙÐг¦¸ÎÑ»·£¬£¬£¬£¬£¬£¬Ô¼2%~5%µÄ¿Ú·þÁ¿ºÍ10%~15%µÄ×¢ÈëÁ¿×ÔÉöСÇòÂ˹ýɨ³ý£¬£¬£¬£¬£¬£¬ÄòÖÐŨ¶È¿É´ï10~100ºÁ¿Ë/Éý¡£¡£·à±ãÖÐÒ²º¬ÓÐÒ»¶¨Á¿¡£¡£Ñª»ò¸¹Ä¤Í¸ÎöºóÉÙÉÙ±»É¨³ý£¬£¬£¬£¬£¬£¬¹Ê͸ÎöºóÎÞÐè¼ÓÓᣡ£
¡¾Öü²Ø¡¿Õڹ⣬£¬£¬£¬£¬£¬ÃÜ·âÉúÑÄ¡£¡£
¡¾°ü×°¡¿Ò©Óø´ºÏĤ£»£»10´ü/ºÐ¡£¡£
¡¾ÓÐÓÃÆÚ¡¿24¸öÔÂ
¡¾Ö´Ðбê×¼¡¿¡¶ÖйúÒ©µä¡·2020Äê°æ¶þ²¿
¡¾Åú×¼Îĺš¿¹úÒ©×¼×ÖH14020421
¡¾ÉÏÊÐÔÊÐí³ÖÓÐÈË¡¿Ãû³Æ£ºÉ½Î÷304amÓÀÀû¼¯ÍŰ²ÐÀÉúÎïÖÆÒ©ÓÐÏÞ¹«Ë¾
×¢²áµØµã£ºÉ½Î÷Ê¡½úÖÐÊÐɽÎ÷Ê÷Ä£Çø½úÖпª·¢Çø»ãͨ¹¤ÒµÔ°Çø»þ³Ç·908ºÅ
¡¾Éú²úÆóÒµ¡¿ÆóÒµÃû³Æ£ºÉ½Î÷304amÓÀÀû¼¯ÍŰ²ÐÀÉúÎïÖÆÒ©ÓÐÏÞ¹«Ë¾
Éú²úµØµã£ºÉ½Î÷Ê¡½úÖÐÊлþ³Ç·908ºÅ(½úÖо¼ÃÊÖÒÕ¿ª·¢ÇøÃñÓª¿Æ¼¼Ô°)
ÓÊÕþ±àÂ룺030600
µç»°ºÅÂ룺0354-2467981 0354-2467996
´«ÕæºÅÂ룺0354-2467996
꿅᣼www.zdjt.com
