
¡¾Ò©Æ·Ãû³Æ¡¿Í¨ÓÃÃû³Æ£ººË»ÆËØÁ×ËáįעÉäÒº
Ó¢ÎÄÃû³Æ£ºRiboflavin Sodium Phosphate Injection
ººÓïÆ´Òô£ºHehuangsu Linsuanna Zhusheye
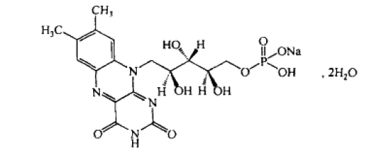
¡¾³É ·Ý¡¿±¾Æ·Ö÷Òª³É·ÝΪºË»ÆËØÁ×ËáÄÆ£¬£¬£¬£¬£¬£¬Æä»¯Ñ§Ãû³ÆÎªºË»ÆËØ5¡ä¨C£¨¶þÇâÁ×Ëáõ¥£©µ¥ÄÆÑζþË®ºÏÎï¡£¡£¡£
Æä½á¹¹Ê½Îª£º
·Ö×Óʽ£ºC17H20N4NaO9P¡¤2H2O
·Ö×ÓÁ¿£º514.36
¡¾ÐÔ ×´¡¿±¾Æ·Îª»ÆÉ«ÖÁ³È»ÆÉ«µÄ³ÎÃ÷ÒºÌ壻£»£»Óö¹âÒ×±äÖÊ¡£¡£¡£
¡¾ÊÊ Ó¦ Ö¢¡¿ºË»ÆËØÔö²¹¼Á¡£¡£¡£ÓÃÓÚÓɺ˻ÆËØÈ±·¦ÒýÆðµÄ¿Ú½ÇÑס¢´½Ñס¢ÉàÑס¢ÑÛ½áĤÑ×¼°ÒõÄÒÑ׵ȼ²²¡µÄÖÎÁÆ¡£¡£¡£
¡¾¹æ ¸ñ¡¿2ml£º5mg£¨°´ºË»ÆËؼƣ©¡¢2ml£º10mg£¨°´ºË»ÆËؼƣ©
¡¾Ó÷¨ÓÃÁ¿¡¿Æ¤Ï¡¢¼¡ÄÚ×¢Éä»ò¾²×¢¡£¡£¡£Ò»´Î5¡«30mg£¬£¬£¬£¬£¬£¬Ò»ÈÕ1´Î¡£¡£¡£
¡¾²»Á¼·´Ó³¡¿1.Éö¹¦Ð§Õý³£Ê±£¬£¬£¬£¬£¬£¬±¾Ò©ÏÕЩ²»±¬·¢¶¾ÐÔ¡£¡£¡£
2.żÓйýÃô·´Ó³¡£¡£¡£
¡¾½û ¼É¡¿¶Ô±¾Ò©¹ýÃôÕß½ûÓᣡ£¡£
¡¾×¢ÖØÊÂÏî¡¿´ó×ÚʹÓñ¾Ò©ºóÄòÒº³Ê»ÆÉ«£¨»ò»ÆÂÌÉ«£©£¬£¬£¬£¬£¬£¬Ò²¿ÉÒýÆðÀàËÆ¼××´ÏÙ¹¦Ð§¿º½øÖ¢×´¡£¡£¡£
¡¾Ôи¾¼°²¸ÈéÆÚ¸¾Å®ÓÃÒ©¡¿1.±¾Ò©¶ÔÈÑÉïµÄÓ°ÏìÉв»Ã÷È·¡£¡£¡£
2.±¾Ò©¿ÉÉøÍ¸ÈëÈéÖ£¬£¬£¬£¬£¬£¬µ«²¸ÈéÊÇÇå¾²µÄ¡£¡£¡£
¡¾¶ùͯÓÃÒ©¡¿Éв»Ã÷È·¡£¡£¡£
¡¾ÍíÄêÓÃÒ©¡¿Éв»Ã÷È·¡£¡£¡£
¡¾Ò©ÎïÏ໥×÷Óῼ×ÑõÂÈÆÕ°·¿É½µµÍ±¾Ò©ÎüÊÕ¡£¡£¡£¹Ê²»ÒËÊÊÓᣡ£¡£
¡¾Ò©Îï¹ýÁ¿¡¿Éв»Ã÷È·¡£¡£¡£
¡¾Ò©Àí¶¾Àí¡¿Ò©Àí×÷Óà ±¾Æ·ÎªÎ¬ÉúËØÀàÒ©¡£¡£¡£ºË»ÆËØ£¨Î¬ÉúËØB2£©ÊÇÈËÌåÖ÷ÒªÓªÑøËØ£¬£¬£¬£¬£¬£¬ÔÚÄÜÁ¿´úлÖÐÆðÒªº¦×÷Óᣡ£¡£
±¾Ò©Îª»ÆËص¥ºËÜÕËᣨFMN£©ºÍ»ÆËØÏÙàÑßʶþºËÜÕËᣨFAD£©Ç°ÌåÒ©£¬£¬£¬£¬£¬£¬¶øFMNºÍFADÊÇ»ÆËØÃ¸¼Ò×åµÄÖ÷Òª¸¨ÖúÒò×Ó¡£¡£¡£»£»£»ÆËØÃ¸´ß»¯Ðí¶àÉú»¯·´Ó³£¬£¬£¬£¬£¬£¬×îµä·¶µÄΪÑõ»¯»¹Ô·´Ó³£¬£¬£¬£¬£¬£¬ËüÃÇÊÇϸ°ûºôÎüµÄÒªº¦Òò×Ó¡£¡£¡£FADºÍ FMNÔÚÏßÁ£Ìåת¶¯Á´ÖеÝÇ⣬£¬£¬£¬£¬£¬ÔÚ´ËÀú³ÌÖб¬·¢Ï¸°ûÄÜÁ¿¡£¡£¡£È±·¦Ê±¿ÉÓ°Ïì»úÌåµÄÉúÎïÑõ»¯£¬£¬£¬£¬£¬£¬Ê¹´ú뱬·¢Õϰ£¬£¬£¬£¬£¬£¬Æä²¡±ä¶àÌåÏÖΪ¿Ú¡¢ÑÛ¡¢ÍâÉúÖ³Æ÷²¿Î»µÄÑ×Ö¢¡£¡£¡£
¡¾Ò©´ú¶¯Á¦Ñ§¡¿ÎÞ±¾Ò©×¢Éä¸øÒ©µÄÒ©´ú¶¯Á¦Ñ§×ÊÁÏ¡£¡£¡£
¾ÝÎÄÏ××ÊÁÏ£¬£¬£¬£¬£¬£¬ºË»ÆËؿڷþºó£¬£¬£¬£¬£¬£¬Ö÷ÒªÔÚ½ü¶ÎС³¦ÎüÊÕ£¬£¬£¬£¬£¬£¬Ê³ÎïÄÜÔö½ø¸ÃÆ·ÎüÊÕ£¬£¬£¬£¬£¬£¬µ¨ÑμÓËÙ¸ÃÆ·ÎüÊÕ¡£¡£¡£ÔÚ2¡«25mg¼ÁÁ¿¹æÄ£ÄÚ£¬£¬£¬£¬£¬£¬ÆäÉúÎïʹÓöÈΪ50¡«60%£¬£¬£¬£¬£¬£¬µ¥´Î¿Ú·þµÄ×î´óÎüÊÕÁ¿Îª27mg£¬£¬£¬£¬£¬£¬³¬Á¿²¿·Ö´Ó·à±ãÖÐÉøÍ¸¡£¡£¡£»£»£»ÆËص¥ºËÜÕËᣨFMN£©ºÍ»ÆËØÏÙàÑßʶþºËÜÕËᣨFAD£©ÎüÊÕ½ÏÉÙ¡£¡£¡£±¾Ò©¾Ãž²ÂöÈë¸Î½øÈëѪҺѻ·£¬£¬£¬£¬£¬£¬ÔÙµÖ´ï×éÖ¯¡£¡£¡£´ó²¿·ÖѪÇåºË»ÆËر»°×ÂѰ׻òÃâÒßÇòÂѰ×תÔË£¬£¬£¬£¬£¬£¬Í¨¹ýŨ¶ÈÌݶÈÃÖÉ¢ÖÁϸ°ûÄÚ¡£¡£¡£ÔÚϸ°ûÄÚ£¬£¬£¬£¬£¬£¬ºË»ÆËØÍ¨¹ý»ÆËؼ¤Ã¸×ª»»ÎªFMN£¬£¬£¬£¬£¬£¬FMNÓÖͨ¹ýFADºÏ³Éøת»»³ÉΪFAD£¬£¬£¬£¬£¬£¬FADÊÇ×éÖ¯Öк˻ÆËصÄÖ÷Òª±£´æÐÎʽ¡£¡£¡£Áè¼ÝÉíÌåÐèÒªÁ¿µÄºË»ÆËØÖ÷Òª´ÓÉöÔàÉøÍ¸£¬£¬£¬£¬£¬£¬²¿·Ö´úл²úÆ·Ò²´ÓÉöÔàÇãÔþ¡£¡£¡£±¾Ò©¿Ú·þ»ò¼¡Èâ×¢ÉäµÄ°ëË¥ÆÚΪ66¡«84·ÖÖÓ¡£¡£¡£
¡¾Öü ²Ø¡¿Õڹ⣬£¬£¬£¬£¬£¬Ãܱգ¨10¡«30¡æ£©ÉúÑÄ¡£¡£¡£
¡¾°ü ×°¡¿°²ê³×°£¬£¬£¬£¬£¬£¬10Ö§/ºÐ¡£¡£¡£
¡¾ÓРЧ ÆÚ¡¿12¸öÔ¡£¡£¡£
¡¾Ö´Ðбê×¼¡¿¡¶ÖйúÒ©µä¡·2015Äê°æ¶þ²¿
¡¾Åú×¼Îĺš¿¹úÒ©×¼×ÖH20093989
¡¾Éú²úÆóÒµ¡¿ÆóÒµÃû³Æ£ºÉ½Î÷304amÓÀÀû¼¯ÍÅÌ©Ê¢ÖÆÒ©ÓÐÏÞ¹«Ë¾
Éú²úµØµã£ºÉ½Î÷Ê¡´óͬÊо¼ÃÊÖÒÕ¿ª·¢ÇøµÚÒ»Ò½Ò©Ô°Çø
ÓÊÕþ±àÂ룺037300
µç»°ºÅÂ룺0352-7290991
´«ÕæºÅÂ룺0352-7290990

¡¾Ò©Æ·Ãû³Æ¡¿Í¨ÓÃÃû³Æ£ººË»ÆËØÁ×ËáįעÉäÒº
Ó¢ÎÄÃû³Æ£ºRiboflavin Sodium Phosphate Injection
ººÓïÆ´Òô£ºHehuangsu Linsuanna Zhusheye
¡¾³É ·Ý¡¿±¾Æ·Ö÷Òª³É·ÝΪºË»ÆËØÁ×ËáÄÆ£¬£¬£¬£¬£¬£¬Æä»¯Ñ§Ãû³ÆÎªºË»ÆËØ5¡ä¨C£¨¶þÇâÁ×Ëáõ¥£©µ¥ÄÆÑζþË®ºÏÎï¡£¡£¡£
Æä½á¹¹Ê½Îª£º
·Ö×Óʽ£ºC17H20N4NaO9P¡¤2H2O
·Ö×ÓÁ¿£º514.36
¡¾ÐÔ ×´¡¿±¾Æ·Îª»ÆÉ«ÖÁ³È»ÆÉ«µÄ³ÎÃ÷ÒºÌ壻£»£»Óö¹âÒ×±äÖÊ¡£¡£¡£
¡¾ÊÊ Ó¦ Ö¢¡¿ºË»ÆËØÔö²¹¼Á¡£¡£¡£ÓÃÓÚÓɺ˻ÆËØÈ±·¦ÒýÆðµÄ¿Ú½ÇÑס¢´½Ñס¢ÉàÑס¢ÑÛ½áĤÑ×¼°ÒõÄÒÑ׵ȼ²²¡µÄÖÎÁÆ¡£¡£¡£
¡¾¹æ ¸ñ¡¿2ml£º5mg£¨°´ºË»ÆËؼƣ©¡¢2ml£º10mg£¨°´ºË»ÆËؼƣ©
¡¾Ó÷¨ÓÃÁ¿¡¿Æ¤Ï¡¢¼¡ÄÚ×¢Éä»ò¾²×¢¡£¡£¡£Ò»´Î5¡«30mg£¬£¬£¬£¬£¬£¬Ò»ÈÕ1´Î¡£¡£¡£
¡¾²»Á¼·´Ó³¡¿1.Éö¹¦Ð§Õý³£Ê±£¬£¬£¬£¬£¬£¬±¾Ò©ÏÕЩ²»±¬·¢¶¾ÐÔ¡£¡£¡£
2.żÓйýÃô·´Ó³¡£¡£¡£
¡¾½û ¼É¡¿¶Ô±¾Ò©¹ýÃôÕß½ûÓᣡ£¡£
¡¾×¢ÖØÊÂÏî¡¿´ó×ÚʹÓñ¾Ò©ºóÄòÒº³Ê»ÆÉ«£¨»ò»ÆÂÌÉ«£©£¬£¬£¬£¬£¬£¬Ò²¿ÉÒýÆðÀàËÆ¼××´ÏÙ¹¦Ð§¿º½øÖ¢×´¡£¡£¡£
¡¾Ôи¾¼°²¸ÈéÆÚ¸¾Å®ÓÃÒ©¡¿1.±¾Ò©¶ÔÈÑÉïµÄÓ°ÏìÉв»Ã÷È·¡£¡£¡£
2.±¾Ò©¿ÉÉøÍ¸ÈëÈéÖ£¬£¬£¬£¬£¬£¬µ«²¸ÈéÊÇÇå¾²µÄ¡£¡£¡£
¡¾¶ùͯÓÃÒ©¡¿Éв»Ã÷È·¡£¡£¡£
¡¾ÍíÄêÓÃÒ©¡¿Éв»Ã÷È·¡£¡£¡£
¡¾Ò©ÎïÏ໥×÷Óῼ×ÑõÂÈÆÕ°·¿É½µµÍ±¾Ò©ÎüÊÕ¡£¡£¡£¹Ê²»ÒËÊÊÓᣡ£¡£
¡¾Ò©Îï¹ýÁ¿¡¿Éв»Ã÷È·¡£¡£¡£
¡¾Ò©Àí¶¾Àí¡¿Ò©Àí×÷Óà ±¾Æ·ÎªÎ¬ÉúËØÀàÒ©¡£¡£¡£ºË»ÆËØ£¨Î¬ÉúËØB2£©ÊÇÈËÌåÖ÷ÒªÓªÑøËØ£¬£¬£¬£¬£¬£¬ÔÚÄÜÁ¿´úлÖÐÆðÒªº¦×÷Óᣡ£¡£
±¾Ò©Îª»ÆËص¥ºËÜÕËᣨFMN£©ºÍ»ÆËØÏÙàÑßʶþºËÜÕËᣨFAD£©Ç°ÌåÒ©£¬£¬£¬£¬£¬£¬¶øFMNºÍFADÊÇ»ÆËØÃ¸¼Ò×åµÄÖ÷Òª¸¨ÖúÒò×Ó¡£¡£¡£»£»£»ÆËØÃ¸´ß»¯Ðí¶àÉú»¯·´Ó³£¬£¬£¬£¬£¬£¬×îµä·¶µÄΪÑõ»¯»¹Ô·´Ó³£¬£¬£¬£¬£¬£¬ËüÃÇÊÇϸ°ûºôÎüµÄÒªº¦Òò×Ó¡£¡£¡£FADºÍ FMNÔÚÏßÁ£Ìåת¶¯Á´ÖеÝÇ⣬£¬£¬£¬£¬£¬ÔÚ´ËÀú³ÌÖб¬·¢Ï¸°ûÄÜÁ¿¡£¡£¡£È±·¦Ê±¿ÉÓ°Ïì»úÌåµÄÉúÎïÑõ»¯£¬£¬£¬£¬£¬£¬Ê¹´ú뱬·¢Õϰ£¬£¬£¬£¬£¬£¬Æä²¡±ä¶àÌåÏÖΪ¿Ú¡¢ÑÛ¡¢ÍâÉúÖ³Æ÷²¿Î»µÄÑ×Ö¢¡£¡£¡£
¡¾Ò©´ú¶¯Á¦Ñ§¡¿ÎÞ±¾Ò©×¢Éä¸øÒ©µÄÒ©´ú¶¯Á¦Ñ§×ÊÁÏ¡£¡£¡£
¾ÝÎÄÏ××ÊÁÏ£¬£¬£¬£¬£¬£¬ºË»ÆËؿڷþºó£¬£¬£¬£¬£¬£¬Ö÷ÒªÔÚ½ü¶ÎС³¦ÎüÊÕ£¬£¬£¬£¬£¬£¬Ê³ÎïÄÜÔö½ø¸ÃÆ·ÎüÊÕ£¬£¬£¬£¬£¬£¬µ¨ÑμÓËÙ¸ÃÆ·ÎüÊÕ¡£¡£¡£ÔÚ2¡«25mg¼ÁÁ¿¹æÄ£ÄÚ£¬£¬£¬£¬£¬£¬ÆäÉúÎïʹÓöÈΪ50¡«60%£¬£¬£¬£¬£¬£¬µ¥´Î¿Ú·þµÄ×î´óÎüÊÕÁ¿Îª27mg£¬£¬£¬£¬£¬£¬³¬Á¿²¿·Ö´Ó·à±ãÖÐÉøÍ¸¡£¡£¡£»£»£»ÆËص¥ºËÜÕËᣨFMN£©ºÍ»ÆËØÏÙàÑßʶþºËÜÕËᣨFAD£©ÎüÊÕ½ÏÉÙ¡£¡£¡£±¾Ò©¾Ãž²ÂöÈë¸Î½øÈëѪҺѻ·£¬£¬£¬£¬£¬£¬ÔÙµÖ´ï×éÖ¯¡£¡£¡£´ó²¿·ÖѪÇåºË»ÆËر»°×ÂѰ׻òÃâÒßÇòÂѰ×תÔË£¬£¬£¬£¬£¬£¬Í¨¹ýŨ¶ÈÌݶÈÃÖÉ¢ÖÁϸ°ûÄÚ¡£¡£¡£ÔÚϸ°ûÄÚ£¬£¬£¬£¬£¬£¬ºË»ÆËØÍ¨¹ý»ÆËؼ¤Ã¸×ª»»ÎªFMN£¬£¬£¬£¬£¬£¬FMNÓÖͨ¹ýFADºÏ³Éøת»»³ÉΪFAD£¬£¬£¬£¬£¬£¬FADÊÇ×éÖ¯Öк˻ÆËصÄÖ÷Òª±£´æÐÎʽ¡£¡£¡£Áè¼ÝÉíÌåÐèÒªÁ¿µÄºË»ÆËØÖ÷Òª´ÓÉöÔàÉøÍ¸£¬£¬£¬£¬£¬£¬²¿·Ö´úл²úÆ·Ò²´ÓÉöÔàÇãÔþ¡£¡£¡£±¾Ò©¿Ú·þ»ò¼¡Èâ×¢ÉäµÄ°ëË¥ÆÚΪ66¡«84·ÖÖÓ¡£¡£¡£
¡¾Öü ²Ø¡¿Õڹ⣬£¬£¬£¬£¬£¬Ãܱգ¨10¡«30¡æ£©ÉúÑÄ¡£¡£¡£
¡¾°ü ×°¡¿°²ê³×°£¬£¬£¬£¬£¬£¬10Ö§/ºÐ¡£¡£¡£
¡¾ÓРЧ ÆÚ¡¿12¸öÔ¡£¡£¡£
¡¾Ö´Ðбê×¼¡¿¡¶ÖйúÒ©µä¡·2015Äê°æ¶þ²¿
¡¾Åú×¼Îĺš¿¹úÒ©×¼×ÖH20093989
¡¾Éú²úÆóÒµ¡¿ÆóÒµÃû³Æ£ºÉ½Î÷304amÓÀÀû¼¯ÍÅÌ©Ê¢ÖÆÒ©ÓÐÏÞ¹«Ë¾
Éú²úµØµã£ºÉ½Î÷Ê¡´óͬÊо¼ÃÊÖÒÕ¿ª·¢ÇøµÚÒ»Ò½Ò©Ô°Çø
ÓÊÕþ±àÂ룺037300
µç»°ºÅÂ룺0352-7290991
´«ÕæºÅÂ룺0352-7290990
