
¡¾Ò©Æ·Ãû³Æ¡¿Í¨ÓÃÃû³Æ£º×¢ÉäÓÃά¿âäåï§
Ó¢ÎÄÃû³Æ£ºVecuronium Bromide for Injection
ººÓïÆ´ÒôÃû£ºZhusheyong Weikuxiu'an
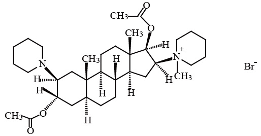
¡¾³É·Ý¡¿±¾Æ·Ö÷Òª³É·ÝΪά¿âäåï§£¬£¬Æä»¯Ñ§Ãû³ÆÎªä廯1-[3¦Á£¬£¬17¦Â-¶þÒÒõ£Ñõ»ù-2-¦Â(1-ßßऻù)-5¦Á-ÐÛçÞÍé-16¦Â-»ù]-1-¼×»ùßßड£¡£
Æä½á¹¹Ê½Îª£º

·Ö×Óʽ£ºC34H57BrN2O4
·Ö×ÓÁ¿£º637.73
¡¾ÐÔ×´¡¿±¾Æ·Îª°×É«»òÀà°×É«ËÉÉ¢×´Îï¡£¡£
¡¾Ë³Ó¦Ö¢¡¿Ö÷Òª×÷ΪȫÉíÂé×í¸¨ÖúÓÃÒ©£¬£¬ÓÃÓÚÈ«ÂéʱµÄÆø¹Ü²å¹Ü¼°ÊÖÊõÖеÄËÉи¼¡Èâ¡£¡£
¡¾¹æ¸ñ¡¿4mg
¡¾Ó÷¨ÓÃÁ¿¡¿±¾Æ·½ö¹©¾²Âö×¢Éä»ò¾²ÂöµÎעʹÓᣡ£²å¹Ü¼ÁÁ¿£º0.08-0.1mg/kg¡£¡£ÓÃçúçêõ£µ¨¼îÐÐÆø¹Ü²å¹ÜºóËùÐèµÄÊ״μÁÁ¿£º±¾Æ·0.03-0.05mg/kgÈôÊÇÓ¦ÓÃçúçêõ£µ¨¼î²å¹Üʱ£¬£¬Ó¦´ý¶Ô»¼ÕßÁÙ´²×÷ÓÃÏûÍ˺óÔÙʹÓñ¾Æ·¡£¡£Î¬³Ö¼ÁÁ¿£º±¾Æ·0.02-0.03mg/kg×îÐÒ¿÷²ü´¤¸ß¶È»Ö¸´µ½±ÈÕÕÖµµÄ25%ʱÔÙ×·¼Óά³Ö¼ÁÁ¿¡£¡£ÈçÆäËûÉñ¾¼¡Èâ×è¶ÏÒ©Ò»Ñù£¬£¬ÆäÓÃÁ¿Ó¦Ë没È˶øÒì¡£¡£ÁíÍ⣬£¬Âé×íÒªÁì¡¢ÊÖÊõʱ¼ä¡¢Êõǰ»òÂé×íÊÖÊõÖÐʹÓÃÆäËûÒ©ÎïµÄÓ°ÏìºÍ²¡È˵Ä״̬¶¼Ðè¼ÓÒÔ˼Á¿¡£¡£Ó¦Ê¹ÓÃÄ©ÉÒÉñ¾´Ì¼¤Æ÷¼à²âÉñ¾¼¡Èâ×èÖͼ°»Ö¸´Ë®Æ½¡£¡£»£»£»£»£»ò×ñÒ½Öö¡£¡£
¡¾²»Á¼·´Ó³¡¿ÏÂÁÐÓÉά¿âäåï§Ëù±¬·¢µÄÒ©Îï²»Á¼·´Ó³ÔÚ²úÆ·µÄÉÏÊкó¼à²âÖб¨¸æ£¬£¬±¬·¢ÂʺÜÊÇÓÐÊý£¬£¬µÍÓÚ1/10000¡£¡£1¡¢Éñ¾¼¡Èâ×èÖÍ×÷ÓÃÑÓÉì·ÇÈ¥¼«»¯×è¶ÏÒ©Îï×î³£¼ûµÄ²»Á¼·´Ó³ÊÇÒ©ÎïµÄÒ©Àí×÷ÓÃÑÓÉ죬£¬Áè¼ÝÁËËùÐèÒªµÄ×÷ÓÃʱ¼ä¡£¡£ÕâÖÖ×÷ÓûáÓвî±ðµÄÁÙ´²ÌåÏÖ£¬£¬´Ó¼¡ÎÞÁ¦µ½Òò³¤Ê±¼äµÄÉî¶È¼¡Âéľ¶øµ¼ÖºôÎü¹¦Ð§²»È«»òȱÑõ¡£¡£2¡¢¹ýÃô·´Ó³Ö»¹Ü°üÀ¨±¾Æ·ÔÚÄÚµÄÉñ¾¼¡Èâ×è¶ÏÒ©±¬·¢ÑÏÖØ¹ýÃô·´Ó³µÄ²¡ÀýºÜÊÇÓÐÊý£¬£¬µ«ÁÙ´²ÒÑÓб¨µÀ£¬£¬·ºÆðµÄ¹ýÃô/Àà¹ýÃô·´Ó³°üÀ¨£ºÖ§Æø¹Ü¾·ÂΣ¬£¬ÐÄѪ¹Ü¸Ä±ä(ÀýÈ磺µÍѪѹ£¬£¬Ð͝¹ýËÙ£¬£¬Ñ»·Ë¥½ßÉõÖÁÐÝ¿Ë)£¬£¬Æ¤·ô¸Ä±ä(ÀýÈçѪ¹ÜÉñ¾ÐÔË®Ö×£¬£¬Ý¡ÂéÕî)¡£¡£ÕâЩ·´Ó³ÔÚijЩ²¡ÀýÉõÖÁÊÇÖÂËÀÐԵġ£¡£¼øÓÚÕâЩ·´Ó³¿ÉÄܵÄÑÏÖØÐÔ£¬£¬ÁÙ´²Ò½ÉúÓ¦¼Ù¶¨²»Á¼·´Ó³»á±¬·¢£¬£¬²¢½ÓÄÉÐëÒªµÄÔ¤·À²½·¥¡£¡£3¡¢×é°·ÊÍ·ÅÓëÀà×é°··´Ó³ÖÚËùÖÜÖª£¬£¬Éñ¾¼¡Èâ×è¶ÏÒ©Îï¶Ô¾Ö²¿×¢É䲿λ¼°È«ÉíÓÕµ¼×éÖ¯°·ÊÍ·Å£¬£¬Òò´ËÔÚʹÓÃÕâЩҩÎïµÄÀú³ÌÖУ¬£¬Ó¦¸Ã˼Á¿µ½¿ÉÄܻᱬ·¢×¢É䲿λµÄɦÑ÷¼°ºì°ß·´Ó³ºÍ/»òÈ«ÉíÐÔÀà×é°·(Àà¹ýÃô)·´Ó³(Ò²¿É°Ý¼ûÉÏÊö¹ýÃô·´Ó³)¡£¡£Æ¤ÄÚ×¢É䱾ƷµÄÊÔÑéÑо¿Åú×¢£¬£¬¸ÃÒ©½öÒýÆð¾Ö²¿ÉÔ΢µÄ×éÖ¯°·ÊÍ·Å¡£¡£ÔÚÈËÌåµÄ±ÈÕÕÑо¿ÖУ¬£¬Òàδ֤ʵ¾²Âö×¢É䱾Ʒºó£¬£¬Ñª½¬×éÖ¯°·Ë®Æ½ÓÐÏÔ×ÅÉý¸ß¡£¡£Ö»¹ÜÔÆÔÆ£¬£¬ÔÚ¸ÃÒ©ÆÕ±éÓ¦ÓõÄÇéÐÎÏ£¬£¬ÈÔżÓÐÕâÀà·´Ó³±¬·¢µÄ±¨µÀ¡£¡£
¡¾½û¼É¡¿¶Ô±¾Æ·»òäåÀë×ÓÓйýÃôÊ·Õß½ûÓᣡ£
¡¾×¢ÖØÊÂÏî¡¿¡ª·ÊÅÖ²¡ÈË£¬£¬ÓÃÁ¿×üõ¡£¡£¡ªÎüÈëÂé×íÒ©ÄÜÇ¿»¯Æä×÷Óᣡ£Ê¹ÓÃÎüÈëÂé×íҩʱ£¬£¬Ó¦ïÔÌÆäÓÃÁ¿£¬£¬¼û¡¾Ò©ÎïÏ໥×÷Óá¿¡£¡£¡ªÓÐЩ»¼Õß¿ÉÄÜÐèҪʹÓýϸߵļÁÁ¿£¬£¬Ö»ÒªÎ¬³ÖºÏÊʵĻúÐµÍ¨Æø£¬£¬ÔÚʹÓÃÓ÷úÍéÂé×íºÍÉñ¾°²¶¨Õò¾²Âé×íʱÊ״μÁÁ¿¿ÉΪ0.15-0.3mg/kgÖ®¼ä£¬£¬¶øÎÞÐÄѪ¹Ü¸±×÷Óᣡ£´ÓҩЧѧµÄ¿´·¨¿´£¬£¬Ê¹Óýϴó¼ÁÁ¿µÄ±¾Æ·¿ÉËõ¶ÌÆðЧʱ¼ä£¬£¬ÑÓÉì×÷ÓÃʱ¼ä¡£¡£¡ªÆÊ¸¹²úºÍÐÂÉú¶ùÊÖÊõµÄ¼ÁÁ¿²»Ó¦¸ÃÁè¼Ý0.1mg/kg¡£¡£ÓÉÓÚÉñ¾¼¡Èâ×è¶ÏÒ©ÔÚ¸øÒ©ºó¿ÉÄܻᱬ·¢¹ýÃô·´Ó³£¬£¬Òò´Ë£¬£¬Ê¼ÖÕÓ¦Õë¶ÔÕâÖÖ·´Ó³¸øÓèÐëÒªµÄÔ¤·À²½·¥¡£¡£ÓÉÓÚ¹ØÓÚÉñ¾¼¡Èâ×è¶ÏÒ©Ö®¼äµÄ½»Ö¯¹ýÃô·´Ó³ÒÑÓб¨¸æ£¬£¬ÒÔÊÇ£¬£¬ÌØÊâÊǶÔÒÔǰһ¾±¬·¢¹ýÒòÉñ¾¼¡Èâ×è¶ÏÒ©¶øÒýÆðµÄ¹ýÃô·´Ó³»¼Õߣ¬£¬¸üÊÇÐèÒªÌá¹©ÌØ±ðµÄÔ¤·À²½·¥¡£¡£ÓÉÓÚ±¾Æ·ÔÚÁÙ´²¼ÁÁ¿¹æÄ£ÄÚ²»»á¶ÔÐÄѪ¹Üϵͳ±¬·¢Ó°Ï죬£¬Òò´Ë£¬£¬Ëü²»»á¶ÔÒòÊÖÊõÀú³ÌÖÐʹÓÃijЩÀàÐ͵ÄÂé×í¼ÁºÍÑ»Æ¬ÖÆ¼Á»òÊÇÒòÃÔ×ßÉñ¾·´ÉäËùÒýÆðµÄÐ͝¹ý»ºÆðµ½»º½â×÷Óᣡ£Òò´Ë£¬£¬ÖØÐÂÆÀ¼ÛÃÔ×ßÉñ¾ÒÖÖÆ¼Á(ÀýÈ磺ÔÚÂé×íǰ»òÊÇÂé×íÓÕµ¼Ê±ËùʹÓõİ¢ÍÐÆ·)µÄʹÓúÍ/»òÓÃÒ©¼ÁÁ¿£¬£¬¹ØÓÚ¾³£¿£¿ÉÄܱ¬·¢ÃÔ×ßÉñ¾·´Ó³µÄÊÖÊõÀú³Ì£¨ÀýÈ磺ÒÑÖªÔÚÊÖÊõÀú³ÌÖÐËùʹÓõÄÂé×íÒ©Îï¾ßÓÐÃÔ×ßÉñ¾´Ì¼¤Ð§Ó¦£¬£¬»òÊÇÑÛ¿ÆÊÖÊõ¡¢¸¹²¿ÊÖÊõ¡¢¸ØÃÅÖ±³¦ÊÖÊõµÈ)¿ÉÄÜ»áÓÐÒ»¶¨ÒâÒå¡£¡£¹ØÓÚ±¾Æ·ÔÚÖØÖ¢¼à»¤²¡·¿(ICU)ÄÚµÄʹÓ÷½Ã棬£¬ÏÖÔÚÉÐȱ·¦×ã¹»µÄ×ÊÁϸø³ö½¨Òé¡£¡£ÒÑÓб¨µÀ£¬£¬Í¨³£ÔÚÖØÖ¢¼à»¤²¡·¿(ICU)ÄÚºã¾ÃʹÓü¡ËÉÒ©ºó£¬£¬»áʹÂéľºÍ/»ò¹Ç÷À¼¡ÎÞÁ¦µÄʱ¼äÑÓÉ죬£¬ÎªÁËÓÐÖúÓÚÏû³ýÒòÉñ¾¼¡Èâ×è¶ÏÒ©ºÍ/»òÓÃÒ©¹ýÁ¿Ëù¿ÉÄÜÒýÆðµÄÑÓÉìЧӦ£¬£¬Ç¿ÁÒ½¨ÒéÔÚʹÓü¡ËÉÒ©µÄÕû¸öÀú³ÌÖжÔÉñ¾¼¡ÈâÖ®¼äµÄת´ïÇéÐξÙÐмà²â¡£¡£ÁíÍ⣬£¬»¼Õß»¹Ó¦¸Ã½ÓÊÜÊʵ±µÄÕòÍ´ºÍÕò¾²¼ÁÖÎÁÆ¡£¡£ÔÙÕߣ¬£¬¼¡ËÉÒ©Ó¦¸ÃÓÉÊìϤÕâЩҩÎï×÷ÓõÄÓÐÂÄÀúµÄÁÙ´²Ò½Éú¾ÙÐУ¬£¬»òÊÇÔÚÕâЩҽÉúµÄÖ¸µ¼Ï£¬£¬Í¬Ê±»¹Ó¦¸Ã½ÓÄÉÊʵ±µÄÉñ¾¼¡Èâ¼à²âÊÖÒÕ¡£¡£ÓÉÓÚ±¾Æ·Í¨³£ÒªÓëÆäËûÒ©ÎïÒ»ÆðʹÓ㬣¬Í¬Ê±ÔÚÂé×íÀú³ÌÖпÉÄܱ¬·¢¶ñÐÔ¸ßÈÈ£¬£¬Òò´Ë£¬£¬×ÝÈ»ÔÚûÓÐÒÑÖªÖÂÈÈÒòËØ±£´æµÄÇéÐÎÏ£¬£¬ÁÙ´²Ò½ÉúÒ²Ó¦¸ÃÔÚ×îÏÈÂé×íǰ£¬£¬¶Ô¶ñÐÔ¸ßÈȵÄÔçÆÚÕ÷Ïó¡¢È·ÕïÒªÁìÒÔ¼°ÖÎÁƲ½·¥ÁËÈ»ÓÚÐØ¡£¡£ÒÔϼ²²¡¿ÉÄÜÓ°Ï챾ƷµÄÒ©´ú¶¯Á¦Ñ§ºÍ/»òҩЧѧ£»£»£»£»£»1¡¢¸ÎºÍ(»ò)µ¨µÀ¼²²¡ Ö»¹Üά¿âäåï§Ö÷ÒªÊÇͨ¹ýµ¨µÀÏµÍ³ÉøÍ¸£¬£¬ÔÚ»¼ÓиÎÔàºÍ/»òµ¨µÀϵͳ¼²²¡µÄ»¼ÕßÖУ¬£¬±¾Æ·ËùÒýÆðµÄÉñ¾¼¡Èâ×èÖÍ×÷ÓÃÒ»°ãÇéÐÎϽöÓÐÖжȸı䡣¡£²¢ÇÒÕâЩ¸Ä±äÓмÁÁ¿ÒÀÀµÐÔ¡£¡£ºÍÕý³£»£»£»£»£»¼ÕßÏà±È¡£¡£¼ÁÁ¿Îª0.1mg/kgά¿âäåï§Ê±£¬£¬Ò©ÎïµÄÆðЧʱ¼äÑÓÉìºÍ×÷ÓõijÖÐøÊ±¼äËõ¶ÌÊÇÉÔ΢µÄ£¬£¬ÕâЩת±äÎÞͳ¼ÆÑ§²î±ð¡£¡£µ±¼ÁÁ¿»®·ÖµÖ´ï0.15mg/kgºÍ0.2mg/kg ά¿âäåï§Ê±£¬£¬Ò©ÎïÆðЧʱ¼äµÄÑÓÉìÈÔÈ»ºÜ²»ÏÔ×Å(0.15mg/kg)»ò»ù´¡ÎÞת±ä(0.2mg/kg)oÔÚ0.15mg/kg ÌåÖØ×éÖУ¬£¬Ã»Óз¢Ã÷Ò©Îï×÷ÓõijÖÐøÊ±¼äÓÐÈκÎת±ä¶øÔÚ0.2mg/kg ÌåÖØ×éÖУ¬£¬ÊӲ쵽ҩÎï×÷ÓõijÖÐøÊ±¼äºÍ»Ö¸´Ê±¼äÏÔÖøÑÓÉì¡£¡£2¡¢Éö¹¦Ð§Ë¥½ß ±¾Æ·ÓÃÓÚÉö¹¦Ð§Ë¥½ßµÄ»¼Õßʱ£¬£¬Ö»±¨µÀÆäҩЧѧ²ÎÊý»á±¬·¢ÉÔ΢¸Ä±ä¡£¡£ÔÚÉö¹¦Ð§Ë¥½ß»¼ÕßµÄÌåÄÚ£¬£¬±¾Æ·µÄÒ©Îï×÷ÓÿÉÄÜ»áÊܵ½Ò»¶¨Ë®Æ½µÄÒÖÖÆ¡£¡£µ±±¾Æ·ÓÃÓÚÉö¹¦Ð§Ë¥½ßµÄ»¼ÕßʱҩÎïµÄÆðЧʱ¼äºÍ»Ö¸´Ê±¼ä¿ÉÄÜ»áÂÔÓÐÑÓÉì¡£¡£¿ÉÊDz»»á±¬·¢ÁÙ´²Ó°Ïì¡£¡£3¡¢Ñ»·Ê±¼äÑÓÉì ÓëÑ»·Ê±¼äÑÓÉìÓйصÄÖÖÖÖÇéÐΣ¬£¬ÀýÈçÐÄѪ¹Ü¼²²¡¡¢¸ßÁ䡢ˮÖ׵ȵ¼ÖÂÂþÑÜÈÝÁ¿Ôö´ó£¬£¬¾ù¿ÉÄÜ»áʹÉñ¾¼¡Èâ×èÖÍÒ©µÄÆðЧʱ¼äÑÓÉì¡£¡£4¡¢Éñ¾¼¡Èâ¼²²¡ ÀàËÆÓÚÆäËûÉñ¾¼¡Èâ×èÖÍÒ©£¬£¬±¾Æ·ÔÚÓÃÓÚ»¼ÓÐÉñ¾¼¡Èâ¼²²¡»òÒ»¾»¼ÓÐС¶ùÂéľ֢µÄ»¼ÕßʱӦÎÈÖØ£¬£¬ÓÉÓÚÕâЩÇéÐÎÏ£¬£¬»¼Õß¶ÔÉñ¾¼¡Èâ×èÖÍÒ©µÄ·´Ó³¿ÉÄܻᱬ·¢ÏÔןı䡣¡£ÕâÖÖת±äµÄ·ù¶È¼°¸Ä±äÆ«Ïò¿ÉÄÜÓкܴó²î±ð¡£¡£¹ØÓÚ»¼ÓÐÖØÖ¢¼¡ÎÞÁ¦»ò(Eaton Lambert)¼¡ÎÞÁ¦×ÛºÏÖ¢»¼Õߣ¬£¬Ð¡¼ÁÁ¿µÄ±¾Æ·¾Í¿ÉÄܻᱬ·¢¼«Ç¿µÄ¹¦Ð§£¬£¬Òò´ËÓ¦¸Ã»ºÂýµÎ¶¨±¾Æ·Ö±ÖÁ·ºÆð·´Ó³ÎªÖ¹¡£¡£5¡¢µÍΠµÍÎÂÏÂÊÖÊõ£¬£¬±¾Æ·µÄÉñ¾¼¡Èâ×èÖÍЧӦ»áÓÐËùÑÓÉì¡£¡£6¡¢·ÊÅÖ ÓëÆäËüµÄÉñ¾¼¡Èâ×è¶ÏÒ©Ò»Ñù£¬£¬µ±Æ¾Ö¤»¼ÕßµÄÏÖʵÌåÖØÅÌËã¸øÒ©¼ÁÁ¿Ê±£¬£¬±¾Æ·ÔÚ·ÊÅÖÕßÌåÄÚÒ²»áÌåÏÖ³öÒ©Îï×÷ÓóÖÐøÊ±¼äºÍ»Ö¸´×ÔÖ÷Ô˶¯µÄʱ¼ä¾ùÓÐËùÑÓÉìµÄÕ÷Ï󡣡£7¡¢ÉÕÉË ÒÑÖªÉÕÉËÕß¶Ô·ÇÈ¥¼«»¯Ò©Îï¾ßÓÐÒ»¶¨µÄÄÍÊÜÐÔ£¬£¬Òò´Ë½¨Ò黺ÂýµÎ¶¨Ò©ÎïÖ±ÖÁ·ºÆð·´Ó³ÎªÖ¹¡£¡£¿£¿ÉÒÔʹ±¾Æ·×÷ÓÃÔöÇ¿µÄÇéÐÎÓУºµÍ¼ØÑªÖ¢(ÀýÈ磺±¬·¢Ç¿ÁÒÍÂÄæ¡¢¸¹Ðº»ò¾ÓÉÀûÄò¼ÁÖÎÁƺó)¡¢¸ßþѪ֢¡¢µÍ¸ÆÑªÖ¢(¾ÓÉ´ó×ÚÊäѪºó)¡¢µÍÂѰ×Ѫ֢¡¢ÍÑË®¡¢ËáÖж¾¡¢¸ß̼ËáѪ֢ÒÔ¼°¶ñÒºÖÊ¡£¡£Òò´ËÑÏÖØµÄµç½âÖÊʧºâ£¬£¬ÑªÒºpHÖµ±¬·¢¸Ä±ä»òÊÇÍÑË®¾ùÓ¦Æð¾¢¾ÀÕý¡£¡£ÓëÆäËüÉñ¾¼¡Èâ×è¶ÏÒ©µÄʹÓÃÒ»Ñù£¬£¬±¾Æ·Ó¦ÓÉÊìϤ¸ÃÒ©×÷ÓûúÖÆµÄÓÐÂÄÀúµÄÁÙ´²Ò½ÉúʹÓ㬣¬»òÊÇÔÚÕâЩҽÉúµÄÖ¸µ¼ÏÂʹÓᣡ£ÓÉÓÚ¸ÃҩʹºôÎü¼¡ËÉи£¬£¬Ê¹ÓÃʱӦÓèÒÔ²¡ÈË»úÐµÍ¨Æø£¬£¬Ö±ÖÁ×ÔÖ÷ºôÎü»Ö¸´¡£¡£¼øÓÚÒÑÓÐÉñ¾¼¡Èâ×è¶ÏÒ©¹ýÃô·´Ó³µÄ±¨¸æ£¬£¬ËäÈ»ÔÚ±¾Æ·ÓÐÊý£¬£¬µ«ÈÔÓ¦ÓèÖØÊÓ(¼û¡¾²»Á¼·´Ó³¡¿)¡£¡£¶Ô¼ÝÊ»ºÍ²Ù×÷»úеÄÜÁ¦µÄÓ°Ï죺½¨ÒéÔÚÓ¦Óñ¾Æ·ÍêÈ«»Ö¸´ºóµÄ24СʱÄÚ£¬£¬²»ÒªÊ¹ÓÃÓÐDZÔÚΣÏյĻúеºÍ¼Ý³µ¡£¡£Ê¹Óñ¾Æ·Ê±´ú£¬£¬Èç·ºÆðÈκβ»Á¼ÊÂÎñºÍ/»ò²»Á¼·´Ó³£¬£¬Çë×ÉѯҽÉú¡£¡£Í¬Ê±Ê¹ÓÃÆäËûÒ©Æ·£¬£¬Çë¼û¸æÒ½Éú¡£¡£Çë·ÅÖÃÓÚ¶ùͯ²»¿É¹»´¥¼°µÄµØ·½¡£¡£
¡¾Ôи¾¼°²¸ÈéÆÚ¸¾Å®ÓÃÒ©¡¿ÏÖÔÚÉÐÎÞ×ã¹»×ÊÁÏ֤ʵ¶¯ÎïijÈËÔÚÈÑÉïÆÚʹÓñ¾Æ·£¬£¬¶ÔÌ¥¶ùÓÐDZÔÚµÄΣº¦£¬£¬µ«¶ÔÈÑÉïÆÚ¸¾Å®Ö»ÓоÖ÷ÖÎҽʦȨºâÀû±×ºó²Å¿ÉʹÓᣡ£ÈéÖÖÐÊÇ·ñº¬Óб¾Æ·»¹²»ÇåÎú¡£¡£ÆÊ¸¹²ú£ºÑо¿Ö¤ÊµÔÚÆÊ¸¹²úÊÖÊõÖУ¬£¬Ê¹Óñ¾Æ·²»Ó¦Áè¼Ý0.1mg/kgÊÇÇå¾²µÄ£¬£¬±¾Æ·²»Ó°ÏìApgar¼Æ·Ö¡¢Ì¥¶ù¼¡ÕÅÁ¦ºÍÐÄ¡¢·ÎµÄµ÷ÀíÄÜÁ¦¡£¡£Æê´øÑªÑù±¾µÄÆÊÎö֤ʵ£¬£¬Ö»ÓÐÉÙÉÙÁ¿µÄ±¾Æ·Í¨¹ýÌ¥ÅÌ£¬£¬¶ÔÌ¥¶ùÎÞÈκβ»Á¼·´Ó³¡£¡£×¢ÖØ£ºÒòÈÑÉﶾѪ֢ʹÓÃÁòËáÃ¾ÖÆ¼ÁµÄ²¡ÈË£¬£¬ÔÚʹÓñ¾Æ·Ê±£¬£¬Éñ¾¼¡Èâ×è¶ÏµÄ»Ö¸´²»Öª×ã¡£¡£ÕâÊÇÓÉÓÚþÑοÉÇ¿»¯Éñ¾¼¡ÈâµÄ×è¶ÏЧӦ¡£¡£Òò´Ë£¬£¬¶Ô½ÓÊÜÁòËáþÖÎÁƵIJ¡ÈË£¬£¬±¾Æ·ÓÃÁ¿ÒªïÔÌ£¬£¬²¢ÇÒÓ¦¸ùé§²ü´¤·´Ó³ÎÈÖØµÎ×¢¡£¡£
¡¾¶ùͯÓÃÒ©¡¿ÓÉÓÚ¶ùͯÉñ¾¼¡ÈâÌÖÂÛµÄÃô¸ÐÐÔ²î±ð£¬£¬ÌØÊâÊǶÔÐÂÉú¶ù(ÖÜΧÒÔÄÚ)ºÍÓ¤¶ù(ËĸöÔÂÒÔÄÚ)£¬£¬Ê״μÁÁ¿0.01-0.02mg/kg¼´¿É£¬£¬Èç²ü´¤·´Ó³Î´ÒÖÖÆµ½90-95%£¬£¬¿ÉÔÙ×·¼Ó¼ÁÁ¿¡£¡£ÔÚÁÙ´²ÊÖÊõÖУ¬£¬ÓÃÒ©¼ÁÁ¿²»Ó¦Áè¼Ý0.1mg/kg¡£¡£5¸öÔÂÖÁ1ËêµÄÓ¤Ó×¶ùËùÐè¼ÁÁ¿Óë³ÉÈËÏàËÆ¡£¡£È»¶ø±¾Æ·ÔÚÐÂÉú¶ùÓëÓ¤¶ùÖÐÆðЧʱ¼ä½Ï³ÉÈËÓë¶ùͯҪ¶Ì¡£¡£ÒÔÊÇ£¬£¬ÏëÒªËõ¶Ì²å¹Üʱ¼ä²¢²»ÐèÒªÔöÌí²å¹Ü¼ÁÁ¿¡£¡£Ïà¹ØÓÚ³ÉÈËÓë¶ùͯ£¬£¬±¾Æ·ÔÚÐÂÉú¶ùÓëÓ¤¼¸ÖÐ×÷Óü°»Ö¸´Ê±¼ä½Ï³¤£¬£¬Î¬³Ö¼ÁÁ¿Ó¦×üõ¡£¡£ÔÚ¶ù¿ÆµÄÓ¦Ó㺡ªÐÂÉú¶ùºÍÓ¤¶ù£¬£¬·úÍéÂé×íÏÂÐÂÉú¶ùºÍÓ¤¶ùµÄED90Óë³ÉÈ˵ĴóÖÂÏàͬ(¡Ö28mg/kg)¡£¡£ÐÂÉú¶ùºÍÓ¤¶ùµÄÆðЧʱ¼ä½Ï¶ùͯºÍ³ÉÈ˶̣¬£¬Õâ¿ÉÄÜÊÇÓÉÓÚÑ»·Ê±¼ä¶ÌºÍÐÄÊä³öÁ¿Ïà¶Ô½Ï´ó£¬£¬²¢ÇÒǰÕßµÄÉñ¾¼¡ÌÖÂÛ¶Ô¼¡ËÉÒ©½ÏÃô¸Ð¡£¡£ÐÂÉú¶ùºÍÓ¤¶ùµÄ×÷Óúͻָ´Ê±¼ä½Ï³ÉÄêÈ˳¤£¬£¬¹Ê±¾Æ·µÄά³Ö¼ÁÁ¿Ó¦ÏìÓ¦ïÔÌ¡£¡£¡ª¶ùͯ£¬£¬·úÍéÂé×íϵĶùͯµÄED90±È³ÉÈ˵ĸß(¡Ö32mg/kg)£¬£¬µ«ÎÞͳ¼ÆÑ§ÎÞÏÔÖø²î±ð¡£¡£Óë³ÉÈËÏà±È£¬£¬Æä×÷Óúͻָ´Ê±¼ä»®·ÖïÔÌ30%ºÍ20%-30%¡£¡£Óë³ÉÈËÀàËÆ£¬£¬ÔÚС¶ù»¼ÕßÖУ¬£¬µ±²ü´¤¸ß¶È»Ö¸´ÖÁ±ÈÕÕÖµµÄ25%ʱ£¬£¬Öظ´×·¼Ó³õʼ¼ÁÁ¿µÄ1/4×÷Ϊά³ÖÓÃÒ©¡£¡£±¾Æ·Öظ´¸øÓèά³Ö¼ÁÁ¿²»»á±¬·¢Ðî»ý×÷Óᣡ£Ö»¹ÜÔÚÐÂÉú¶ù¼°Ó¤¶ùÖÐÆä»Ö¸´Ê±¼ä½Ï³¤£¬£¬µ«²¢²»ÐèҪͨÀýʹÓÃÞ׿¹¼Á¡£¡£ÈôÊÇÓ¦ÓÃÞ׿¹Ò©£¬£¬½«Óë³ÉÈËÒ»ÑùÓÐÓᣡ£
¡¾ÍíÄ껼ÕßÓÃÒ©¡¿È综ÓÐÐÄѪ¹Ü¼²²¡¡¢¸ßÁ䡢ˮÖ׵ȻᵼÖÂÂþÑÜÈÝÁ¿ÔöÌí£¬£¬¾ù¿ÉÄÜÑÓÉìÆðЧʱ¼ä¡£¡£
¡¾Ò©Îï¹ýÁ¿¡¿ÔÚÓÃÒ©¹ýÁ¿¼°Éñ¾¼¡Èâ×èÖÍÑÓÉìµÄÇéÐÎÏ£¬£¬²¡ÈËÓ¦¸øÓè»úÐµÍ¨Æø£¬£¬²¢¸øÓèÊʵ±µÄµ¨¼î֬øÒÖÖÆ¼Á(ÈçÐÂ˹µÄÃ÷¡¢ßÁà¤Ë¹µÄÃ÷¡¢ÌÚϲÁú)×÷ΪÞ׿¹¼Á¡£¡£µ±Ê¹Óõ¨¼î֬øÒÖÖÆ¼Á²»¿É»Ö¸´±¾Æ·µÄÉñ¾¼¡Èâ×÷ÓÃʱ£¬£¬»úÐµÍ¨ÆøÓ¦³ÖÐøÖÁ×ÔÖ÷ºôÎü»Ö¸´¡£¡£Öظ´Ê¹Óõ¨¼î֬øÒÖÖÆ¼ÁÊÇΣÏյġ£¡£
¡¾Ò©Àí¶¾Àí¡¿±¾Æ·Îª¾ºÕùÐÔ·ÇÈ¥¼«»¯¼¡ÈâËÉи¼Á£¬£¬Í¨¹ý¾ºÕùµ¨¼îÄÜÊÜÌåÆð×è¶ÏÒÒõ£µ¨¼îµÄ×÷Óᣡ£Æä×÷ÓÿÉÒÔ±»ÐÂ˹µÄÃ÷µÈ¿¹µ¨¼î֬øҩËùÄæ×ª¡£¡£ÔÚ³õʼ¼ÁÁ¿ÇéÐÎÏ£¬£¬±¬·¢µÄ¼¡ÈâËÉи³ÖÐøÊ±¼ä½Ï¶Ì£¬£¬»Ö¸´¿ì¡£¡£²»ÓÕ·¢×é°·ÊÍ·Å£¬£¬²»ÒýÆðÖ§Æø¹Ü¾·ÂκÍѪѹϽµµÈ¡£¡£
¡¾Ò©´ú¶¯Á¦Ñ§¡¿Ò©¶¯Ñ§Çк϶þÊÒ¿ª·ÅÄ£×Ó£¬£¬ÂþÑÜt1/2ԼΪ4·ÖÖÓ£¬£¬Ïû³ýt1/2ԼΪ30¡« 80·ÖÖÓ£¬£¬Æ½¾ùÎÈ̬ѪҩŨ¶ÈΪ0.137¦Ìg/ml¡£¡£¸øÒ©ºóÔ¼1-3·ÖÖÓ¼¡Èâ×îÏÈËÉи£¬£¬³ÖÐø20-30·ÖÖÓ¡£¡£¾²Âö×¢Éäºó£¬£¬ÆäÂþÑܰëË¥ÆÚԼĪΪ2.2(¡À1.4)·ÖÖÓ¡£¡£Ö÷ÒªÂþÑÜÓÚϸ°ûÍâÒº¡£¡£ÎÈ̬ʱ£¬£¬ÆäÂþÑÜÈÝ»ý³ÉÈËÆ½¾ùΪ0.27L/kg£¬£¬ÆäѪ½¬É¨³ýÂÊΪ5.2(¡À0.7)ml/kg/min¡£¡£Ñª½¬É¨³ý°ëË¥ÆÚƽ¾ùΪ71(¡À20)·ÖÖÓ¡£¡£Æä´úлˮƽÏà¶Ô½ÏµÍ¡£¡£ÈËÌ嵨ֺÍÄòÖеÄ3-ôÇ»ùÑÜÉúÎïÊÇÆä´úл²úÆ·£¬£¬¼¡ËÉЧÁ¦Ô¼ÄªÎª±¾Æ·µÄ50%¡£¡£ÔÚÎÞ¸ÎË¥»òÉöË¥µÄ²¡ÈËÖУ¬£¬ÕâÖÖ´úл²úÆ·µÄѪ½¬Å¨¶È¼«µÍ¡£¡£Ö÷ÒªÒÔÕæÏàºÍ´úлÎïµÄÐÎʽ¾µ¨ÖÇãÔþ£¬£¬Ð¡²¿·ÖÓÉÉöÔàÇãÔþ¡£¡£Ô¼Äª40¡«80%ÒÔµ¥¼¾ï§ÐÎʽ¾µ¨ÖÉøÍ¸£¬£¬ÆäÖÐ95%Ϊ±¾Æ·ÔÐÍ£¬£¬5%Ϊ3-ôÇ»ùä廯ά¿âäåï§¡£¡£ÒòÓÉÉöÔàÇãÔþºÜÉÙ£¬£¬¾°òë×Äڲ嵼¹ÜÍøÂçµ½µÄ24СʱÄòÁ¿£¬£¬Æ½¾ùº¬ÓÐ30%µÄ¾²×¢ä廯ά¿âäåï§¡£¡£
¡¾Öü²Ø¡¿Ãܱգ¬£¬ÔÚÒõÁ¹(²»Áè¼Ý20¡æ)´¦ÉúÑÄ¡£¡£
¡¾°ü×°¡¿Î÷ÁÖÆ¿×°¡£¡£10Ö§/ºÐ¡£¡£
¡¾ÓÐÓÃÆÚ¡¿24¸öÔÂ
¡¾Ö´Ðбê×¼¡¿¹ú¼ÒʳÎïÒ©Æ·¼àÊÓÖÎÀí¾Ö±ê×¼YBH15812006¡¶ÖйúÒ©µä¡·2020°æµÚ¶þ²¿
¡¾Åú×¼Îĺš¿¹úÒ©×¼×ÖH20065437
¡¾ÉÏÊÐÔÊÐí³ÖÓÐÈË¡¿Ãû³Æ£ºÉ½Î÷304amÓÀÀû¼¯ÍÅÌ©Ê¢ÖÆÒ©ÓÐÏÞ¹«Ë¾
×¢²áµØµã£ºÉ½Î÷Ê¡´óͬÊо¼ÃÊÖÒÕ¿ª·¢ÇøµÚÒ»Ò½Ò©Ô°Çø
¡¾Éú²úÆóÒµ¡¿ÆóÒµÃû³Æ£ºÉ½Î÷304amÓÀÀû¼¯ÍÅÌ©Ê¢ÖÆÒ©ÓÐÏÞ¹«Ë¾
Éú²úµØµã£ºÉ½Î÷Ê¡´óͬÊо¼ÃÊÖÒÕ¿ª·¢ÇøµÚÒ»Ò½Ò©Ô°Çø
ÓÊÕþ±àÂ룺037300
µç»°ºÅÂ룺0352-7290991
´«ÕæºÅÂ룺0352-7290990

¡¾Ò©Æ·Ãû³Æ¡¿Í¨ÓÃÃû³Æ£º×¢ÉäÓÃά¿âäåï§
Ó¢ÎÄÃû³Æ£ºVecuronium Bromide for Injection
ººÓïÆ´ÒôÃû£ºZhusheyong Weikuxiu'an
¡¾³É·Ý¡¿±¾Æ·Ö÷Òª³É·ÝΪά¿âäåï§£¬£¬Æä»¯Ñ§Ãû³ÆÎªä廯1-[3¦Á£¬£¬17¦Â-¶þÒÒõ£Ñõ»ù-2-¦Â(1-ßßऻù)-5¦Á-ÐÛçÞÍé-16¦Â-»ù]-1-¼×»ùßßड£¡£
Æä½á¹¹Ê½Îª£º

·Ö×Óʽ£ºC34H57BrN2O4
·Ö×ÓÁ¿£º637.73
¡¾ÐÔ×´¡¿±¾Æ·Îª°×É«»òÀà°×É«ËÉÉ¢×´Îï¡£¡£
¡¾Ë³Ó¦Ö¢¡¿Ö÷Òª×÷ΪȫÉíÂé×í¸¨ÖúÓÃÒ©£¬£¬ÓÃÓÚÈ«ÂéʱµÄÆø¹Ü²å¹Ü¼°ÊÖÊõÖеÄËÉи¼¡Èâ¡£¡£
¡¾¹æ¸ñ¡¿4mg
¡¾Ó÷¨ÓÃÁ¿¡¿±¾Æ·½ö¹©¾²Âö×¢Éä»ò¾²ÂöµÎעʹÓᣡ£²å¹Ü¼ÁÁ¿£º0.08-0.1mg/kg¡£¡£ÓÃçúçêõ£µ¨¼îÐÐÆø¹Ü²å¹ÜºóËùÐèµÄÊ״μÁÁ¿£º±¾Æ·0.03-0.05mg/kgÈôÊÇÓ¦ÓÃçúçêõ£µ¨¼î²å¹Üʱ£¬£¬Ó¦´ý¶Ô»¼ÕßÁÙ´²×÷ÓÃÏûÍ˺óÔÙʹÓñ¾Æ·¡£¡£Î¬³Ö¼ÁÁ¿£º±¾Æ·0.02-0.03mg/kg×îÐÒ¿÷²ü´¤¸ß¶È»Ö¸´µ½±ÈÕÕÖµµÄ25%ʱÔÙ×·¼Óά³Ö¼ÁÁ¿¡£¡£ÈçÆäËûÉñ¾¼¡Èâ×è¶ÏÒ©Ò»Ñù£¬£¬ÆäÓÃÁ¿Ó¦Ë没È˶øÒì¡£¡£ÁíÍ⣬£¬Âé×íÒªÁì¡¢ÊÖÊõʱ¼ä¡¢Êõǰ»òÂé×íÊÖÊõÖÐʹÓÃÆäËûÒ©ÎïµÄÓ°ÏìºÍ²¡È˵Ä״̬¶¼Ðè¼ÓÒÔ˼Á¿¡£¡£Ó¦Ê¹ÓÃÄ©ÉÒÉñ¾´Ì¼¤Æ÷¼à²âÉñ¾¼¡Èâ×èÖͼ°»Ö¸´Ë®Æ½¡£¡£»£»£»£»£»ò×ñÒ½Öö¡£¡£
¡¾²»Á¼·´Ó³¡¿ÏÂÁÐÓÉά¿âäåï§Ëù±¬·¢µÄÒ©Îï²»Á¼·´Ó³ÔÚ²úÆ·µÄÉÏÊкó¼à²âÖб¨¸æ£¬£¬±¬·¢ÂʺÜÊÇÓÐÊý£¬£¬µÍÓÚ1/10000¡£¡£1¡¢Éñ¾¼¡Èâ×èÖÍ×÷ÓÃÑÓÉì·ÇÈ¥¼«»¯×è¶ÏÒ©Îï×î³£¼ûµÄ²»Á¼·´Ó³ÊÇÒ©ÎïµÄÒ©Àí×÷ÓÃÑÓÉ죬£¬Áè¼ÝÁËËùÐèÒªµÄ×÷ÓÃʱ¼ä¡£¡£ÕâÖÖ×÷ÓûáÓвî±ðµÄÁÙ´²ÌåÏÖ£¬£¬´Ó¼¡ÎÞÁ¦µ½Òò³¤Ê±¼äµÄÉî¶È¼¡Âéľ¶øµ¼ÖºôÎü¹¦Ð§²»È«»òȱÑõ¡£¡£2¡¢¹ýÃô·´Ó³Ö»¹Ü°üÀ¨±¾Æ·ÔÚÄÚµÄÉñ¾¼¡Èâ×è¶ÏÒ©±¬·¢ÑÏÖØ¹ýÃô·´Ó³µÄ²¡ÀýºÜÊÇÓÐÊý£¬£¬µ«ÁÙ´²ÒÑÓб¨µÀ£¬£¬·ºÆðµÄ¹ýÃô/Àà¹ýÃô·´Ó³°üÀ¨£ºÖ§Æø¹Ü¾·ÂΣ¬£¬ÐÄѪ¹Ü¸Ä±ä(ÀýÈ磺µÍѪѹ£¬£¬Ð͝¹ýËÙ£¬£¬Ñ»·Ë¥½ßÉõÖÁÐÝ¿Ë)£¬£¬Æ¤·ô¸Ä±ä(ÀýÈçѪ¹ÜÉñ¾ÐÔË®Ö×£¬£¬Ý¡ÂéÕî)¡£¡£ÕâЩ·´Ó³ÔÚijЩ²¡ÀýÉõÖÁÊÇÖÂËÀÐԵġ£¡£¼øÓÚÕâЩ·´Ó³¿ÉÄܵÄÑÏÖØÐÔ£¬£¬ÁÙ´²Ò½ÉúÓ¦¼Ù¶¨²»Á¼·´Ó³»á±¬·¢£¬£¬²¢½ÓÄÉÐëÒªµÄÔ¤·À²½·¥¡£¡£3¡¢×é°·ÊÍ·ÅÓëÀà×é°··´Ó³ÖÚËùÖÜÖª£¬£¬Éñ¾¼¡Èâ×è¶ÏÒ©Îï¶Ô¾Ö²¿×¢É䲿λ¼°È«ÉíÓÕµ¼×éÖ¯°·ÊÍ·Å£¬£¬Òò´ËÔÚʹÓÃÕâЩҩÎïµÄÀú³ÌÖУ¬£¬Ó¦¸Ã˼Á¿µ½¿ÉÄܻᱬ·¢×¢É䲿λµÄɦÑ÷¼°ºì°ß·´Ó³ºÍ/»òÈ«ÉíÐÔÀà×é°·(Àà¹ýÃô)·´Ó³(Ò²¿É°Ý¼ûÉÏÊö¹ýÃô·´Ó³)¡£¡£Æ¤ÄÚ×¢É䱾ƷµÄÊÔÑéÑо¿Åú×¢£¬£¬¸ÃÒ©½öÒýÆð¾Ö²¿ÉÔ΢µÄ×éÖ¯°·ÊÍ·Å¡£¡£ÔÚÈËÌåµÄ±ÈÕÕÑо¿ÖУ¬£¬Òàδ֤ʵ¾²Âö×¢É䱾Ʒºó£¬£¬Ñª½¬×éÖ¯°·Ë®Æ½ÓÐÏÔ×ÅÉý¸ß¡£¡£Ö»¹ÜÔÆÔÆ£¬£¬ÔÚ¸ÃÒ©ÆÕ±éÓ¦ÓõÄÇéÐÎÏ£¬£¬ÈÔżÓÐÕâÀà·´Ó³±¬·¢µÄ±¨µÀ¡£¡£
¡¾½û¼É¡¿¶Ô±¾Æ·»òäåÀë×ÓÓйýÃôÊ·Õß½ûÓᣡ£
¡¾×¢ÖØÊÂÏî¡¿¡ª·ÊÅÖ²¡ÈË£¬£¬ÓÃÁ¿×üõ¡£¡£¡ªÎüÈëÂé×íÒ©ÄÜÇ¿»¯Æä×÷Óᣡ£Ê¹ÓÃÎüÈëÂé×íҩʱ£¬£¬Ó¦ïÔÌÆäÓÃÁ¿£¬£¬¼û¡¾Ò©ÎïÏ໥×÷Óá¿¡£¡£¡ªÓÐЩ»¼Õß¿ÉÄÜÐèҪʹÓýϸߵļÁÁ¿£¬£¬Ö»ÒªÎ¬³ÖºÏÊʵĻúÐµÍ¨Æø£¬£¬ÔÚʹÓÃÓ÷úÍéÂé×íºÍÉñ¾°²¶¨Õò¾²Âé×íʱÊ״μÁÁ¿¿ÉΪ0.15-0.3mg/kgÖ®¼ä£¬£¬¶øÎÞÐÄѪ¹Ü¸±×÷Óᣡ£´ÓҩЧѧµÄ¿´·¨¿´£¬£¬Ê¹Óýϴó¼ÁÁ¿µÄ±¾Æ·¿ÉËõ¶ÌÆðЧʱ¼ä£¬£¬ÑÓÉì×÷ÓÃʱ¼ä¡£¡£¡ªÆÊ¸¹²úºÍÐÂÉú¶ùÊÖÊõµÄ¼ÁÁ¿²»Ó¦¸ÃÁè¼Ý0.1mg/kg¡£¡£ÓÉÓÚÉñ¾¼¡Èâ×è¶ÏÒ©ÔÚ¸øÒ©ºó¿ÉÄܻᱬ·¢¹ýÃô·´Ó³£¬£¬Òò´Ë£¬£¬Ê¼ÖÕÓ¦Õë¶ÔÕâÖÖ·´Ó³¸øÓèÐëÒªµÄÔ¤·À²½·¥¡£¡£ÓÉÓÚ¹ØÓÚÉñ¾¼¡Èâ×è¶ÏÒ©Ö®¼äµÄ½»Ö¯¹ýÃô·´Ó³ÒÑÓб¨¸æ£¬£¬ÒÔÊÇ£¬£¬ÌØÊâÊǶÔÒÔǰһ¾±¬·¢¹ýÒòÉñ¾¼¡Èâ×è¶ÏÒ©¶øÒýÆðµÄ¹ýÃô·´Ó³»¼Õߣ¬£¬¸üÊÇÐèÒªÌá¹©ÌØ±ðµÄÔ¤·À²½·¥¡£¡£ÓÉÓÚ±¾Æ·ÔÚÁÙ´²¼ÁÁ¿¹æÄ£ÄÚ²»»á¶ÔÐÄѪ¹Üϵͳ±¬·¢Ó°Ï죬£¬Òò´Ë£¬£¬Ëü²»»á¶ÔÒòÊÖÊõÀú³ÌÖÐʹÓÃijЩÀàÐ͵ÄÂé×í¼ÁºÍÑ»Æ¬ÖÆ¼Á»òÊÇÒòÃÔ×ßÉñ¾·´ÉäËùÒýÆðµÄÐ͝¹ý»ºÆðµ½»º½â×÷Óᣡ£Òò´Ë£¬£¬ÖØÐÂÆÀ¼ÛÃÔ×ßÉñ¾ÒÖÖÆ¼Á(ÀýÈ磺ÔÚÂé×íǰ»òÊÇÂé×íÓÕµ¼Ê±ËùʹÓõİ¢ÍÐÆ·)µÄʹÓúÍ/»òÓÃÒ©¼ÁÁ¿£¬£¬¹ØÓÚ¾³£¿£¿ÉÄܱ¬·¢ÃÔ×ßÉñ¾·´Ó³µÄÊÖÊõÀú³Ì£¨ÀýÈ磺ÒÑÖªÔÚÊÖÊõÀú³ÌÖÐËùʹÓõÄÂé×íÒ©Îï¾ßÓÐÃÔ×ßÉñ¾´Ì¼¤Ð§Ó¦£¬£¬»òÊÇÑÛ¿ÆÊÖÊõ¡¢¸¹²¿ÊÖÊõ¡¢¸ØÃÅÖ±³¦ÊÖÊõµÈ)¿ÉÄÜ»áÓÐÒ»¶¨ÒâÒå¡£¡£¹ØÓÚ±¾Æ·ÔÚÖØÖ¢¼à»¤²¡·¿(ICU)ÄÚµÄʹÓ÷½Ã棬£¬ÏÖÔÚÉÐȱ·¦×ã¹»µÄ×ÊÁϸø³ö½¨Òé¡£¡£ÒÑÓб¨µÀ£¬£¬Í¨³£ÔÚÖØÖ¢¼à»¤²¡·¿(ICU)ÄÚºã¾ÃʹÓü¡ËÉÒ©ºó£¬£¬»áʹÂéľºÍ/»ò¹Ç÷À¼¡ÎÞÁ¦µÄʱ¼äÑÓÉ죬£¬ÎªÁËÓÐÖúÓÚÏû³ýÒòÉñ¾¼¡Èâ×è¶ÏÒ©ºÍ/»òÓÃÒ©¹ýÁ¿Ëù¿ÉÄÜÒýÆðµÄÑÓÉìЧӦ£¬£¬Ç¿ÁÒ½¨ÒéÔÚʹÓü¡ËÉÒ©µÄÕû¸öÀú³ÌÖжÔÉñ¾¼¡ÈâÖ®¼äµÄת´ïÇéÐξÙÐмà²â¡£¡£ÁíÍ⣬£¬»¼Õß»¹Ó¦¸Ã½ÓÊÜÊʵ±µÄÕòÍ´ºÍÕò¾²¼ÁÖÎÁÆ¡£¡£ÔÙÕߣ¬£¬¼¡ËÉÒ©Ó¦¸ÃÓÉÊìϤÕâЩҩÎï×÷ÓõÄÓÐÂÄÀúµÄÁÙ´²Ò½Éú¾ÙÐУ¬£¬»òÊÇÔÚÕâЩҽÉúµÄÖ¸µ¼Ï£¬£¬Í¬Ê±»¹Ó¦¸Ã½ÓÄÉÊʵ±µÄÉñ¾¼¡Èâ¼à²âÊÖÒÕ¡£¡£ÓÉÓÚ±¾Æ·Í¨³£ÒªÓëÆäËûÒ©ÎïÒ»ÆðʹÓ㬣¬Í¬Ê±ÔÚÂé×íÀú³ÌÖпÉÄܱ¬·¢¶ñÐÔ¸ßÈÈ£¬£¬Òò´Ë£¬£¬×ÝÈ»ÔÚûÓÐÒÑÖªÖÂÈÈÒòËØ±£´æµÄÇéÐÎÏ£¬£¬ÁÙ´²Ò½ÉúÒ²Ó¦¸ÃÔÚ×îÏÈÂé×íǰ£¬£¬¶Ô¶ñÐÔ¸ßÈȵÄÔçÆÚÕ÷Ïó¡¢È·ÕïÒªÁìÒÔ¼°ÖÎÁƲ½·¥ÁËÈ»ÓÚÐØ¡£¡£ÒÔϼ²²¡¿ÉÄÜÓ°Ï챾ƷµÄÒ©´ú¶¯Á¦Ñ§ºÍ/»òҩЧѧ£»£»£»£»£»1¡¢¸ÎºÍ(»ò)µ¨µÀ¼²²¡ Ö»¹Üά¿âäåï§Ö÷ÒªÊÇͨ¹ýµ¨µÀÏµÍ³ÉøÍ¸£¬£¬ÔÚ»¼ÓиÎÔàºÍ/»òµ¨µÀϵͳ¼²²¡µÄ»¼ÕßÖУ¬£¬±¾Æ·ËùÒýÆðµÄÉñ¾¼¡Èâ×èÖÍ×÷ÓÃÒ»°ãÇéÐÎϽöÓÐÖжȸı䡣¡£²¢ÇÒÕâЩ¸Ä±äÓмÁÁ¿ÒÀÀµÐÔ¡£¡£ºÍÕý³£»£»£»£»£»¼ÕßÏà±È¡£¡£¼ÁÁ¿Îª0.1mg/kgά¿âäåï§Ê±£¬£¬Ò©ÎïµÄÆðЧʱ¼äÑÓÉìºÍ×÷ÓõijÖÐøÊ±¼äËõ¶ÌÊÇÉÔ΢µÄ£¬£¬ÕâЩת±äÎÞͳ¼ÆÑ§²î±ð¡£¡£µ±¼ÁÁ¿»®·ÖµÖ´ï0.15mg/kgºÍ0.2mg/kg ά¿âäåï§Ê±£¬£¬Ò©ÎïÆðЧʱ¼äµÄÑÓÉìÈÔÈ»ºÜ²»ÏÔ×Å(0.15mg/kg)»ò»ù´¡ÎÞת±ä(0.2mg/kg)oÔÚ0.15mg/kg ÌåÖØ×éÖУ¬£¬Ã»Óз¢Ã÷Ò©Îï×÷ÓõijÖÐøÊ±¼äÓÐÈκÎת±ä¶øÔÚ0.2mg/kg ÌåÖØ×éÖУ¬£¬ÊӲ쵽ҩÎï×÷ÓõijÖÐøÊ±¼äºÍ»Ö¸´Ê±¼äÏÔÖøÑÓÉì¡£¡£2¡¢Éö¹¦Ð§Ë¥½ß ±¾Æ·ÓÃÓÚÉö¹¦Ð§Ë¥½ßµÄ»¼Õßʱ£¬£¬Ö»±¨µÀÆäҩЧѧ²ÎÊý»á±¬·¢ÉÔ΢¸Ä±ä¡£¡£ÔÚÉö¹¦Ð§Ë¥½ß»¼ÕßµÄÌåÄÚ£¬£¬±¾Æ·µÄÒ©Îï×÷ÓÿÉÄÜ»áÊܵ½Ò»¶¨Ë®Æ½µÄÒÖÖÆ¡£¡£µ±±¾Æ·ÓÃÓÚÉö¹¦Ð§Ë¥½ßµÄ»¼ÕßʱҩÎïµÄÆðЧʱ¼äºÍ»Ö¸´Ê±¼ä¿ÉÄÜ»áÂÔÓÐÑÓÉì¡£¡£¿ÉÊDz»»á±¬·¢ÁÙ´²Ó°Ïì¡£¡£3¡¢Ñ»·Ê±¼äÑÓÉì ÓëÑ»·Ê±¼äÑÓÉìÓйصÄÖÖÖÖÇéÐΣ¬£¬ÀýÈçÐÄѪ¹Ü¼²²¡¡¢¸ßÁ䡢ˮÖ׵ȵ¼ÖÂÂþÑÜÈÝÁ¿Ôö´ó£¬£¬¾ù¿ÉÄÜ»áʹÉñ¾¼¡Èâ×èÖÍÒ©µÄÆðЧʱ¼äÑÓÉì¡£¡£4¡¢Éñ¾¼¡Èâ¼²²¡ ÀàËÆÓÚÆäËûÉñ¾¼¡Èâ×èÖÍÒ©£¬£¬±¾Æ·ÔÚÓÃÓÚ»¼ÓÐÉñ¾¼¡Èâ¼²²¡»òÒ»¾»¼ÓÐС¶ùÂéľ֢µÄ»¼ÕßʱӦÎÈÖØ£¬£¬ÓÉÓÚÕâЩÇéÐÎÏ£¬£¬»¼Õß¶ÔÉñ¾¼¡Èâ×èÖÍÒ©µÄ·´Ó³¿ÉÄܻᱬ·¢ÏÔןı䡣¡£ÕâÖÖת±äµÄ·ù¶È¼°¸Ä±äÆ«Ïò¿ÉÄÜÓкܴó²î±ð¡£¡£¹ØÓÚ»¼ÓÐÖØÖ¢¼¡ÎÞÁ¦»ò(Eaton Lambert)¼¡ÎÞÁ¦×ÛºÏÖ¢»¼Õߣ¬£¬Ð¡¼ÁÁ¿µÄ±¾Æ·¾Í¿ÉÄܻᱬ·¢¼«Ç¿µÄ¹¦Ð§£¬£¬Òò´ËÓ¦¸Ã»ºÂýµÎ¶¨±¾Æ·Ö±ÖÁ·ºÆð·´Ó³ÎªÖ¹¡£¡£5¡¢µÍΠµÍÎÂÏÂÊÖÊõ£¬£¬±¾Æ·µÄÉñ¾¼¡Èâ×èÖÍЧӦ»áÓÐËùÑÓÉì¡£¡£6¡¢·ÊÅÖ ÓëÆäËüµÄÉñ¾¼¡Èâ×è¶ÏÒ©Ò»Ñù£¬£¬µ±Æ¾Ö¤»¼ÕßµÄÏÖʵÌåÖØÅÌËã¸øÒ©¼ÁÁ¿Ê±£¬£¬±¾Æ·ÔÚ·ÊÅÖÕßÌåÄÚÒ²»áÌåÏÖ³öÒ©Îï×÷ÓóÖÐøÊ±¼äºÍ»Ö¸´×ÔÖ÷Ô˶¯µÄʱ¼ä¾ùÓÐËùÑÓÉìµÄÕ÷Ï󡣡£7¡¢ÉÕÉË ÒÑÖªÉÕÉËÕß¶Ô·ÇÈ¥¼«»¯Ò©Îï¾ßÓÐÒ»¶¨µÄÄÍÊÜÐÔ£¬£¬Òò´Ë½¨Ò黺ÂýµÎ¶¨Ò©ÎïÖ±ÖÁ·ºÆð·´Ó³ÎªÖ¹¡£¡£¿£¿ÉÒÔʹ±¾Æ·×÷ÓÃÔöÇ¿µÄÇéÐÎÓУºµÍ¼ØÑªÖ¢(ÀýÈ磺±¬·¢Ç¿ÁÒÍÂÄæ¡¢¸¹Ðº»ò¾ÓÉÀûÄò¼ÁÖÎÁƺó)¡¢¸ßþѪ֢¡¢µÍ¸ÆÑªÖ¢(¾ÓÉ´ó×ÚÊäѪºó)¡¢µÍÂѰ×Ѫ֢¡¢ÍÑË®¡¢ËáÖж¾¡¢¸ß̼ËáѪ֢ÒÔ¼°¶ñÒºÖÊ¡£¡£Òò´ËÑÏÖØµÄµç½âÖÊʧºâ£¬£¬ÑªÒºpHÖµ±¬·¢¸Ä±ä»òÊÇÍÑË®¾ùÓ¦Æð¾¢¾ÀÕý¡£¡£ÓëÆäËüÉñ¾¼¡Èâ×è¶ÏÒ©µÄʹÓÃÒ»Ñù£¬£¬±¾Æ·Ó¦ÓÉÊìϤ¸ÃÒ©×÷ÓûúÖÆµÄÓÐÂÄÀúµÄÁÙ´²Ò½ÉúʹÓ㬣¬»òÊÇÔÚÕâЩҽÉúµÄÖ¸µ¼ÏÂʹÓᣡ£ÓÉÓÚ¸ÃҩʹºôÎü¼¡ËÉи£¬£¬Ê¹ÓÃʱӦÓèÒÔ²¡ÈË»úÐµÍ¨Æø£¬£¬Ö±ÖÁ×ÔÖ÷ºôÎü»Ö¸´¡£¡£¼øÓÚÒÑÓÐÉñ¾¼¡Èâ×è¶ÏÒ©¹ýÃô·´Ó³µÄ±¨¸æ£¬£¬ËäÈ»ÔÚ±¾Æ·ÓÐÊý£¬£¬µ«ÈÔÓ¦ÓèÖØÊÓ(¼û¡¾²»Á¼·´Ó³¡¿)¡£¡£¶Ô¼ÝÊ»ºÍ²Ù×÷»úеÄÜÁ¦µÄÓ°Ï죺½¨ÒéÔÚÓ¦Óñ¾Æ·ÍêÈ«»Ö¸´ºóµÄ24СʱÄÚ£¬£¬²»ÒªÊ¹ÓÃÓÐDZÔÚΣÏյĻúеºÍ¼Ý³µ¡£¡£Ê¹Óñ¾Æ·Ê±´ú£¬£¬Èç·ºÆðÈκβ»Á¼ÊÂÎñºÍ/»ò²»Á¼·´Ó³£¬£¬Çë×ÉѯҽÉú¡£¡£Í¬Ê±Ê¹ÓÃÆäËûÒ©Æ·£¬£¬Çë¼û¸æÒ½Éú¡£¡£Çë·ÅÖÃÓÚ¶ùͯ²»¿É¹»´¥¼°µÄµØ·½¡£¡£
¡¾Ôи¾¼°²¸ÈéÆÚ¸¾Å®ÓÃÒ©¡¿ÏÖÔÚÉÐÎÞ×ã¹»×ÊÁÏ֤ʵ¶¯ÎïijÈËÔÚÈÑÉïÆÚʹÓñ¾Æ·£¬£¬¶ÔÌ¥¶ùÓÐDZÔÚµÄΣº¦£¬£¬µ«¶ÔÈÑÉïÆÚ¸¾Å®Ö»ÓоÖ÷ÖÎҽʦȨºâÀû±×ºó²Å¿ÉʹÓᣡ£ÈéÖÖÐÊÇ·ñº¬Óб¾Æ·»¹²»ÇåÎú¡£¡£ÆÊ¸¹²ú£ºÑо¿Ö¤ÊµÔÚÆÊ¸¹²úÊÖÊõÖУ¬£¬Ê¹Óñ¾Æ·²»Ó¦Áè¼Ý0.1mg/kgÊÇÇå¾²µÄ£¬£¬±¾Æ·²»Ó°ÏìApgar¼Æ·Ö¡¢Ì¥¶ù¼¡ÕÅÁ¦ºÍÐÄ¡¢·ÎµÄµ÷ÀíÄÜÁ¦¡£¡£Æê´øÑªÑù±¾µÄÆÊÎö֤ʵ£¬£¬Ö»ÓÐÉÙÉÙÁ¿µÄ±¾Æ·Í¨¹ýÌ¥ÅÌ£¬£¬¶ÔÌ¥¶ùÎÞÈκβ»Á¼·´Ó³¡£¡£×¢ÖØ£ºÒòÈÑÉﶾѪ֢ʹÓÃÁòËáÃ¾ÖÆ¼ÁµÄ²¡ÈË£¬£¬ÔÚʹÓñ¾Æ·Ê±£¬£¬Éñ¾¼¡Èâ×è¶ÏµÄ»Ö¸´²»Öª×ã¡£¡£ÕâÊÇÓÉÓÚþÑοÉÇ¿»¯Éñ¾¼¡ÈâµÄ×è¶ÏЧӦ¡£¡£Òò´Ë£¬£¬¶Ô½ÓÊÜÁòËáþÖÎÁƵIJ¡ÈË£¬£¬±¾Æ·ÓÃÁ¿ÒªïÔÌ£¬£¬²¢ÇÒÓ¦¸ùé§²ü´¤·´Ó³ÎÈÖØµÎ×¢¡£¡£
¡¾¶ùͯÓÃÒ©¡¿ÓÉÓÚ¶ùͯÉñ¾¼¡ÈâÌÖÂÛµÄÃô¸ÐÐÔ²î±ð£¬£¬ÌØÊâÊǶÔÐÂÉú¶ù(ÖÜΧÒÔÄÚ)ºÍÓ¤¶ù(ËĸöÔÂÒÔÄÚ)£¬£¬Ê״μÁÁ¿0.01-0.02mg/kg¼´¿É£¬£¬Èç²ü´¤·´Ó³Î´ÒÖÖÆµ½90-95%£¬£¬¿ÉÔÙ×·¼Ó¼ÁÁ¿¡£¡£ÔÚÁÙ´²ÊÖÊõÖУ¬£¬ÓÃÒ©¼ÁÁ¿²»Ó¦Áè¼Ý0.1mg/kg¡£¡£5¸öÔÂÖÁ1ËêµÄÓ¤Ó×¶ùËùÐè¼ÁÁ¿Óë³ÉÈËÏàËÆ¡£¡£È»¶ø±¾Æ·ÔÚÐÂÉú¶ùÓëÓ¤¶ùÖÐÆðЧʱ¼ä½Ï³ÉÈËÓë¶ùͯҪ¶Ì¡£¡£ÒÔÊÇ£¬£¬ÏëÒªËõ¶Ì²å¹Üʱ¼ä²¢²»ÐèÒªÔöÌí²å¹Ü¼ÁÁ¿¡£¡£Ïà¹ØÓÚ³ÉÈËÓë¶ùͯ£¬£¬±¾Æ·ÔÚÐÂÉú¶ùÓëÓ¤¼¸ÖÐ×÷Óü°»Ö¸´Ê±¼ä½Ï³¤£¬£¬Î¬³Ö¼ÁÁ¿Ó¦×üõ¡£¡£ÔÚ¶ù¿ÆµÄÓ¦Ó㺡ªÐÂÉú¶ùºÍÓ¤¶ù£¬£¬·úÍéÂé×íÏÂÐÂÉú¶ùºÍÓ¤¶ùµÄED90Óë³ÉÈ˵ĴóÖÂÏàͬ(¡Ö28mg/kg)¡£¡£ÐÂÉú¶ùºÍÓ¤¶ùµÄÆðЧʱ¼ä½Ï¶ùͯºÍ³ÉÈ˶̣¬£¬Õâ¿ÉÄÜÊÇÓÉÓÚÑ»·Ê±¼ä¶ÌºÍÐÄÊä³öÁ¿Ïà¶Ô½Ï´ó£¬£¬²¢ÇÒǰÕßµÄÉñ¾¼¡ÌÖÂÛ¶Ô¼¡ËÉÒ©½ÏÃô¸Ð¡£¡£ÐÂÉú¶ùºÍÓ¤¶ùµÄ×÷Óúͻָ´Ê±¼ä½Ï³ÉÄêÈ˳¤£¬£¬¹Ê±¾Æ·µÄά³Ö¼ÁÁ¿Ó¦ÏìÓ¦ïÔÌ¡£¡£¡ª¶ùͯ£¬£¬·úÍéÂé×íϵĶùͯµÄED90±È³ÉÈ˵ĸß(¡Ö32mg/kg)£¬£¬µ«ÎÞͳ¼ÆÑ§ÎÞÏÔÖø²î±ð¡£¡£Óë³ÉÈËÏà±È£¬£¬Æä×÷Óúͻָ´Ê±¼ä»®·ÖïÔÌ30%ºÍ20%-30%¡£¡£Óë³ÉÈËÀàËÆ£¬£¬ÔÚС¶ù»¼ÕßÖУ¬£¬µ±²ü´¤¸ß¶È»Ö¸´ÖÁ±ÈÕÕÖµµÄ25%ʱ£¬£¬Öظ´×·¼Ó³õʼ¼ÁÁ¿µÄ1/4×÷Ϊά³ÖÓÃÒ©¡£¡£±¾Æ·Öظ´¸øÓèά³Ö¼ÁÁ¿²»»á±¬·¢Ðî»ý×÷Óᣡ£Ö»¹ÜÔÚÐÂÉú¶ù¼°Ó¤¶ùÖÐÆä»Ö¸´Ê±¼ä½Ï³¤£¬£¬µ«²¢²»ÐèҪͨÀýʹÓÃÞ׿¹¼Á¡£¡£ÈôÊÇÓ¦ÓÃÞ׿¹Ò©£¬£¬½«Óë³ÉÈËÒ»ÑùÓÐÓᣡ£
¡¾ÍíÄ껼ÕßÓÃÒ©¡¿È综ÓÐÐÄѪ¹Ü¼²²¡¡¢¸ßÁ䡢ˮÖ׵ȻᵼÖÂÂþÑÜÈÝÁ¿ÔöÌí£¬£¬¾ù¿ÉÄÜÑÓÉìÆðЧʱ¼ä¡£¡£
¡¾Ò©Îï¹ýÁ¿¡¿ÔÚÓÃÒ©¹ýÁ¿¼°Éñ¾¼¡Èâ×èÖÍÑÓÉìµÄÇéÐÎÏ£¬£¬²¡ÈËÓ¦¸øÓè»úÐµÍ¨Æø£¬£¬²¢¸øÓèÊʵ±µÄµ¨¼î֬øÒÖÖÆ¼Á(ÈçÐÂ˹µÄÃ÷¡¢ßÁà¤Ë¹µÄÃ÷¡¢ÌÚϲÁú)×÷ΪÞ׿¹¼Á¡£¡£µ±Ê¹Óõ¨¼î֬øÒÖÖÆ¼Á²»¿É»Ö¸´±¾Æ·µÄÉñ¾¼¡Èâ×÷ÓÃʱ£¬£¬»úÐµÍ¨ÆøÓ¦³ÖÐøÖÁ×ÔÖ÷ºôÎü»Ö¸´¡£¡£Öظ´Ê¹Óõ¨¼î֬øÒÖÖÆ¼ÁÊÇΣÏյġ£¡£
¡¾Ò©Àí¶¾Àí¡¿±¾Æ·Îª¾ºÕùÐÔ·ÇÈ¥¼«»¯¼¡ÈâËÉи¼Á£¬£¬Í¨¹ý¾ºÕùµ¨¼îÄÜÊÜÌåÆð×è¶ÏÒÒõ£µ¨¼îµÄ×÷Óᣡ£Æä×÷ÓÿÉÒÔ±»ÐÂ˹µÄÃ÷µÈ¿¹µ¨¼î֬øҩËùÄæ×ª¡£¡£ÔÚ³õʼ¼ÁÁ¿ÇéÐÎÏ£¬£¬±¬·¢µÄ¼¡ÈâËÉи³ÖÐøÊ±¼ä½Ï¶Ì£¬£¬»Ö¸´¿ì¡£¡£²»ÓÕ·¢×é°·ÊÍ·Å£¬£¬²»ÒýÆðÖ§Æø¹Ü¾·ÂκÍѪѹϽµµÈ¡£¡£
¡¾Ò©´ú¶¯Á¦Ñ§¡¿Ò©¶¯Ñ§Çк϶þÊÒ¿ª·ÅÄ£×Ó£¬£¬ÂþÑÜt1/2ԼΪ4·ÖÖÓ£¬£¬Ïû³ýt1/2ԼΪ30¡« 80·ÖÖÓ£¬£¬Æ½¾ùÎÈ̬ѪҩŨ¶ÈΪ0.137¦Ìg/ml¡£¡£¸øÒ©ºóÔ¼1-3·ÖÖÓ¼¡Èâ×îÏÈËÉи£¬£¬³ÖÐø20-30·ÖÖÓ¡£¡£¾²Âö×¢Éäºó£¬£¬ÆäÂþÑܰëË¥ÆÚԼĪΪ2.2(¡À1.4)·ÖÖÓ¡£¡£Ö÷ÒªÂþÑÜÓÚϸ°ûÍâÒº¡£¡£ÎÈ̬ʱ£¬£¬ÆäÂþÑÜÈÝ»ý³ÉÈËÆ½¾ùΪ0.27L/kg£¬£¬ÆäѪ½¬É¨³ýÂÊΪ5.2(¡À0.7)ml/kg/min¡£¡£Ñª½¬É¨³ý°ëË¥ÆÚƽ¾ùΪ71(¡À20)·ÖÖÓ¡£¡£Æä´úлˮƽÏà¶Ô½ÏµÍ¡£¡£ÈËÌ嵨ֺÍÄòÖеÄ3-ôÇ»ùÑÜÉúÎïÊÇÆä´úл²úÆ·£¬£¬¼¡ËÉЧÁ¦Ô¼ÄªÎª±¾Æ·µÄ50%¡£¡£ÔÚÎÞ¸ÎË¥»òÉöË¥µÄ²¡ÈËÖУ¬£¬ÕâÖÖ´úл²úÆ·µÄѪ½¬Å¨¶È¼«µÍ¡£¡£Ö÷ÒªÒÔÕæÏàºÍ´úлÎïµÄÐÎʽ¾µ¨ÖÇãÔþ£¬£¬Ð¡²¿·ÖÓÉÉöÔàÇãÔþ¡£¡£Ô¼Äª40¡«80%ÒÔµ¥¼¾ï§ÐÎʽ¾µ¨ÖÉøÍ¸£¬£¬ÆäÖÐ95%Ϊ±¾Æ·ÔÐÍ£¬£¬5%Ϊ3-ôÇ»ùä廯ά¿âäåï§¡£¡£ÒòÓÉÉöÔàÇãÔþºÜÉÙ£¬£¬¾°òë×Äڲ嵼¹ÜÍøÂçµ½µÄ24СʱÄòÁ¿£¬£¬Æ½¾ùº¬ÓÐ30%µÄ¾²×¢ä廯ά¿âäåï§¡£¡£
¡¾Öü²Ø¡¿Ãܱգ¬£¬ÔÚÒõÁ¹(²»Áè¼Ý20¡æ)´¦ÉúÑÄ¡£¡£
¡¾°ü×°¡¿Î÷ÁÖÆ¿×°¡£¡£10Ö§/ºÐ¡£¡£
¡¾ÓÐÓÃÆÚ¡¿24¸öÔÂ
¡¾Ö´Ðбê×¼¡¿¹ú¼ÒʳÎïÒ©Æ·¼àÊÓÖÎÀí¾Ö±ê×¼YBH15812006¡¶ÖйúÒ©µä¡·2020°æµÚ¶þ²¿
¡¾Åú×¼Îĺš¿¹úÒ©×¼×ÖH20065437
¡¾ÉÏÊÐÔÊÐí³ÖÓÐÈË¡¿Ãû³Æ£ºÉ½Î÷304amÓÀÀû¼¯ÍÅÌ©Ê¢ÖÆÒ©ÓÐÏÞ¹«Ë¾
×¢²áµØµã£ºÉ½Î÷Ê¡´óͬÊо¼ÃÊÖÒÕ¿ª·¢ÇøµÚÒ»Ò½Ò©Ô°Çø
¡¾Éú²úÆóÒµ¡¿ÆóÒµÃû³Æ£ºÉ½Î÷304amÓÀÀû¼¯ÍÅÌ©Ê¢ÖÆÒ©ÓÐÏÞ¹«Ë¾
Éú²úµØµã£ºÉ½Î÷Ê¡´óͬÊо¼ÃÊÖÒÕ¿ª·¢ÇøµÚÒ»Ò½Ò©Ô°Çø
ÓÊÕþ±àÂ룺037300
µç»°ºÅÂ룺0352-7290991
´«ÕæºÅÂ룺0352-7290990
