
【药品名称】
通用名称:胞磷胆碱钠葡萄糖注射液
英文名称:Citicoline Sodium and Glucose Injection
汉语拼音:Baolindanjianna Putaotang zhusheye
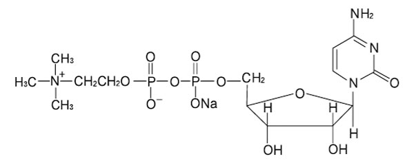
【成份】本品主要成份为胆碱胞嘧啶核苷二磷酸酯的单钠盐。。。。。
化学结构式:

分子式:C14H25N4NaO11P2
分子量:510.31
【性状】本品为无色或险些无色的澄明液体。。。。。
【顺应症】本品主要用于急性颅脑外伤和脑手术后意识障碍。。。。。
【规格】50ml:胞磷胆碱钠0.25g与葡萄糖2.5g。。。。。
【用法用量】静脉滴注T媚课0.25~0.5g,,,,,逐日1次,,,,,缓慢滴注。。。。。5~10日为一疗程。。。。。本品渗透压摩尔浓度为285~310mOsmol/kg,,,,,与人体血液相当。。。。。临床医生可凭证现实需要对所用制剂举行适外地处理。。。。。
【不良反映】
全身:偶见发热、疲倦、过敏样反映,,,,,严重者有过敏性休克的报告。。。。。
心血管系统:偶见暂时性血压下降、心动过缓和心动过速。。。。。
消化系统:偶见恶心、吐逆、食欲不振、胃痛、胃烧灼感、腹泻和肝功效异常。。。。。
呼吸系统:有爆发过敏性哮喘的报告,,,,,严重者可泛起呼吸难题和喉水肿。。。。。
神经系统:偶见眩晕、震颤、头痛、失眠、兴奋、急躁担心和痉挛。。。。。
皮肤五官:偶见皮疹及一过性复视。。。。。
【禁忌】对本品过敏者禁用;;;;;糖尿病患者禁用。。。。。
【注重事项】有药物过敏史的患者慎用;;;;;对伴有脑出血、脑水肿和颅压增高的严重急性颅脑损伤患者慎用;;;;;癫痫及低血压患者应慎用;;;;;滴注速率应缓慢;;;;;本品为含钠制剂需低钠者应用时请注重。。。。。
【孕妇及哺乳期妇女用药】孕妇及哺乳期妇女用药的清静有用性尚未确立。。。。。孕妇及哺乳期妇女慎用。。。。。
【儿童用药】凭证病情和年岁适当调解剂量。。。。。
【晚年用药】凭证病情和年岁适当调解剂量。。。。。
【药物相互作用】本品用于震颤麻木病人时,,,,,不宜与左旋多巴适用,,,,,否则可引起肌僵直恶化。。。。。与脑多肽适用,,,,,对改善脑功效有协同作用。。。。。
【药物过量】用量过大,,,,,可能有恶心、吐逆、食欲不振、头痛失眠、兴奋、痉挛等症状,,,,,可减量,,,,,并对症处理。。。。。
【药理毒理】胞磷胆碱为核苷衍生物,,,,,可增强脑干网状结构、尤其是与意识亲近相关的上行网状结构激动系统的性能;;;;;增强椎系一切的性能,,,,,改善运动麻木;;;;;改善大脑循环通过镌汰大脑血流阻力,,,,,增添大脑血流而增进大脑物质代谢,,,,,对增进大脑功效恢复和增进苏醒等具有一定作用。。。。。
【药代动力学】本品注射后血药浓度迅速下降,,,,,30分钟降至注入时的1/3,,,,,1~2小时基本稳固,,,,,漫衍以肝内最多,,,,,占10%。。。。。在肝脏代谢为游离胆碱和胞苷二磷酸,,,,,主要经肾脏和肺扫除,,,,,原药半衰期为3.5小时,,,,,主要代谢物胆碱的扫除半衰期为2小时。。。。。本品较难通过血脑屏障,,,,,进入脑内的药物很少,,,,,仅占0.1%,,,,,但药物在脑内停留时间很长,,,,,注射后3小时内药物浓度达峰值,,,,,并在24小时内坚持稳固;;;;;并且损伤脑比正常脑、受损半球比未受损半球的胞磷胆碱含量显着升高。。。。。
【贮藏】遮光,,,,,密闭(10~30°C)生涯。。。。。
【包装】玻璃输液瓶装。。。。。
【有用期】24个月
【执行标准】《中国药典》2020年版二部
【批准文号】国药准字H20030647
【上市允许持有人】
名称:山西304am永利集团泰盛制药有限公司
注册地点:山西省大同市经济手艺开发区第一医药园区
【生产企业】
企业名称:山西304am永利集团泰盛制药有限公司
生产地点:山西省大同市经济手艺开发区第一医药园区
邮政编码:037300
电话号码:0352-7290991
传真号码:0352-7290990

【药品名称】
通用名称:胞磷胆碱钠葡萄糖注射液
英文名称:Citicoline Sodium and Glucose Injection
汉语拼音:Baolindanjianna Putaotang zhusheye
【成份】本品主要成份为胆碱胞嘧啶核苷二磷酸酯的单钠盐。。。。。
化学结构式:

分子式:C14H25N4NaO11P2
分子量:510.31
【性状】本品为无色或险些无色的澄明液体。。。。。
【顺应症】本品主要用于急性颅脑外伤和脑手术后意识障碍。。。。。
【规格】50ml:胞磷胆碱钠0.25g与葡萄糖2.5g。。。。。
【用法用量】静脉滴注T媚课0.25~0.5g,,,,,逐日1次,,,,,缓慢滴注。。。。。5~10日为一疗程。。。。。本品渗透压摩尔浓度为285~310mOsmol/kg,,,,,与人体血液相当。。。。。临床医生可凭证现实需要对所用制剂举行适外地处理。。。。。
【不良反映】
全身:偶见发热、疲倦、过敏样反映,,,,,严重者有过敏性休克的报告。。。。。
心血管系统:偶见暂时性血压下降、心动过缓和心动过速。。。。。
消化系统:偶见恶心、吐逆、食欲不振、胃痛、胃烧灼感、腹泻和肝功效异常。。。。。
呼吸系统:有爆发过敏性哮喘的报告,,,,,严重者可泛起呼吸难题和喉水肿。。。。。
神经系统:偶见眩晕、震颤、头痛、失眠、兴奋、急躁担心和痉挛。。。。。
皮肤五官:偶见皮疹及一过性复视。。。。。
【禁忌】对本品过敏者禁用;;;;;糖尿病患者禁用。。。。。
【注重事项】有药物过敏史的患者慎用;;;;;对伴有脑出血、脑水肿和颅压增高的严重急性颅脑损伤患者慎用;;;;;癫痫及低血压患者应慎用;;;;;滴注速率应缓慢;;;;;本品为含钠制剂需低钠者应用时请注重。。。。。
【孕妇及哺乳期妇女用药】孕妇及哺乳期妇女用药的清静有用性尚未确立。。。。。孕妇及哺乳期妇女慎用。。。。。
【儿童用药】凭证病情和年岁适当调解剂量。。。。。
【晚年用药】凭证病情和年岁适当调解剂量。。。。。
【药物相互作用】本品用于震颤麻木病人时,,,,,不宜与左旋多巴适用,,,,,否则可引起肌僵直恶化。。。。。与脑多肽适用,,,,,对改善脑功效有协同作用。。。。。
【药物过量】用量过大,,,,,可能有恶心、吐逆、食欲不振、头痛失眠、兴奋、痉挛等症状,,,,,可减量,,,,,并对症处理。。。。。
【药理毒理】胞磷胆碱为核苷衍生物,,,,,可增强脑干网状结构、尤其是与意识亲近相关的上行网状结构激动系统的性能;;;;;增强椎系一切的性能,,,,,改善运动麻木;;;;;改善大脑循环通过镌汰大脑血流阻力,,,,,增添大脑血流而增进大脑物质代谢,,,,,对增进大脑功效恢复和增进苏醒等具有一定作用。。。。。
【药代动力学】本品注射后血药浓度迅速下降,,,,,30分钟降至注入时的1/3,,,,,1~2小时基本稳固,,,,,漫衍以肝内最多,,,,,占10%。。。。。在肝脏代谢为游离胆碱和胞苷二磷酸,,,,,主要经肾脏和肺扫除,,,,,原药半衰期为3.5小时,,,,,主要代谢物胆碱的扫除半衰期为2小时。。。。。本品较难通过血脑屏障,,,,,进入脑内的药物很少,,,,,仅占0.1%,,,,,但药物在脑内停留时间很长,,,,,注射后3小时内药物浓度达峰值,,,,,并在24小时内坚持稳固;;;;;并且损伤脑比正常脑、受损半球比未受损半球的胞磷胆碱含量显着升高。。。。。
【贮藏】遮光,,,,,密闭(10~30°C)生涯。。。。。
【包装】玻璃输液瓶装。。。。。
【有用期】24个月
【执行标准】《中国药典》2020年版二部
【批准文号】国药准字H20030647
【上市允许持有人】
名称:山西304am永利集团泰盛制药有限公司
注册地点:山西省大同市经济手艺开发区第一医药园区
【生产企业】
企业名称:山西304am永利集团泰盛制药有限公司
生产地点:山西省大同市经济手艺开发区第一医药园区
邮政编码:037300
电话号码:0352-7290991
传真号码:0352-7290990
