
¡¾Ò©Æ·Ãû³Æ¡¿
ͨÓÃÃû³Æ£ºÒÀÍкìÃ¹ËØÆ¬
Ó¢ÎÄÃû³Æ£ºErythromycinEstolateTablets
ººÓïÆ´Òô£ºYituoHongmeisuPian
¡¾³É·Ý¡¿±¾Æ·Ö÷Òª³É·ÝÊÇÒÀÍкìÃ¹ËØ¡£¡£¡£¡£¡£
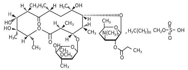
Æä½á¹¹Ê½Îª£º

·Ö×Óʽ£ºC40H71NO14¡¤C12H26O4S
·Ö×ÓÁ¿£º1056.40
¡¾ÐÔ×´¡¿±¾Æ·Îª°×ɫƬ¡£¡£¡£¡£¡£
¡¾Ë³Ó¦Ö¢¡¿1.±¾Æ·×÷ΪÇàÃ¹ËØ¹ýÃô»¼ÕßÖÎÁÆÏÂÁÐѬȾµÄÌæ»»ÓÃÒ©£ºÈÜѪÐÔÁ´Çò¾ú¡¢·ÎÑ×Á´Çò¾úµÈËùÖµļ±ÐÔ±âÌÒÌåÑס¢¼±ÐÔÑÊÑס¢±Çñ¼Ñ×£»£»£»£»£»ÈÜѪÐÔÁ´Çò¾úËùÖµÄÐɺìÈÈ¡¢·äÎÑÖ¯Ñ×£»£»£»£»£»°×ºí¼°°×ºí´ø¾úÕߣ»£»£»£»£»ÆøÐÔ»µ¾Ò¡¢Ì¿¾Ò¡¢ÆÆÉ˷磻£»£»£»£»·ÅÏß¾ú²¡£¡£¡£¡£¡£»£»£»£»£»Ã·¶¾£»£»£»£»£»ÀîË¹ÌØ¾ú²¡µÈ¡£¡£¡£¡£¡£2.¾üÍžú²¡¡£¡£¡£¡£¡£3.·ÎÑ×Ö§ÔÌå·ÎÑס£¡£¡£¡£¡£4.·ÎÑ×ÒÂÔÌå·ÎÑס£¡£¡£¡£¡£5.ÆäËûÒÂÔÌåÊô¡¢Ö§ÔÌåÊôËùÖÂÃÚÄòÉúֳϵѬȾ¡£¡£¡£¡£¡£6.ɳÑÛÒÂÔÌå½áĤÑס£¡£¡£¡£¡£7.ÑáÑõ¾úËùÖ¿ÚǻѬȾ¡£¡£¡£¡£¡£8.¿Õ³¦ÍäÇú¾ú³¦Ñס£¡£¡£¡£¡£9.°ÙÈÕ¿È¡£¡£¡£¡£¡£10.·çʪÈȸ´·¢¡¢Ñ¬È¾ÐÔÐÄÄÚĤÑ×£¨·çʪÐÔÐÄÔಡ¡¢ÏÈÌìÐÔÐÄÔಡ¡¢ÐÄÔà°êĤÖû»Êõºó£©¡¢Ô¤·À¿ÚÇ»»òÉϺôÎüµÀѬȾ£¨ÇàÃ¹ËØµÄÌæ»»ÓÃÒ©£©¡£¡£¡£¡£¡£
¡¾¹æ¸ñ¡¿°´ºìÃ¹ËØ¼Æ0.125g£¨12.5Íòµ¥Î»£©
¡¾Ó÷¨ÓÃÁ¿¡¿
¿Ú·þ£¬£¬£¬£¬£¬³ÉÈËÒ»ÈÕ0.75~2g£¬£¬£¬£¬£¬·Ö3~4´Î£¬£¬£¬£¬£¬¶ùͯÖðÈÕ°´ÌåÖØ20~30mg/kg£¬£¬£¬£¬£¬·Ö3~4´Î¡£¡£¡£¡£¡£ÖÎÁƾüÍžú²¡£¡£¡£¡£¡£¬£¬£¬£¬£¬³ÉÈËÒ»´Î0.5~1.0g£¬£¬£¬£¬£¬Ò»ÈÕ4´Î¡£¡£¡£¡£¡£ÓÃ×÷·çʪÈȸ´·¢µÄÔ¤·ÀÓÃҩʱ£¬£¬£¬£¬£¬Ò»´Î0.25g£¬£¬£¬£¬£¬Ò»ÈÕ2´Î¡£¡£¡£¡£¡£ÓÃ×÷ѬȾÐÔÐÄÄÚĤÑ×µÄÔ¤·ÀÓÃҩʱ£¬£¬£¬£¬£¬Êõǰ1Сʱ¿Ú·þ1g£¬£¬£¬£¬£¬Êõºó6СʱÔÙ·þÓÃ0.5g¡£¡£¡£¡£¡£
¡¾²»Á¼·´Ó³¡¿
1.·þÓñ¾Æ·ºó±¬·¢¸Î¶¾ÐÔ·´Ó³Õ߽ϷþÓÃÆäËûºìÃ¹ËØÖÆ¼ÁΪ¶à¼û£¬£¬£¬£¬£¬·þÒ©ÊýÈÕ»ò1~2Öܺó»¼Õ߿ɷºÆð·¦Á¦¡¢¶ñÐÄ¡¢ÍÂÄæ¡¢¸¹Í´¡¢Æ¤Õî¡¢·¢Èȵȡ£¡£¡£¡£¡£ÓÐʱ¿É·ºÆð»Æð㣬£¬£¬£¬£¬¸Î¹¦Ð§ÊÔÑéÏÔʾÓÙµ¨£¬£¬£¬£¬£¬Í£Ò©ºó³£¿£¿£¿£¿£¿É»Ö¸´¡£¡£¡£¡£¡£
2.賦µÀ·´Ó³Óи¹Ðº¡¢¶ñÐÄ¡¢ÍÂÄæ¡¢ÖÐÉϸ¹Í´¡¢¿ÚÉàÌÛÍ´¡¢Î¸ÄɼõÍ˵ȣ¬£¬£¬£¬£¬Æä±¬·¢ÂÊÓë¼ÁÁ¿¾ÞϸÓйء£¡£¡£¡£¡£
3.´ó¼ÁÁ¿£¨¡Ý4g/ÈÕ£©Ó¦ÓÃʱ£¬£¬£¬£¬£¬ÓÈÆä¸Î¡¢Éö¼²²¡»¼Õß»òÍíÄ껼Õߣ¬£¬£¬£¬£¬¿ÉÄÜÒýÆðÌýÁ¦¼õÍË£¬£¬£¬£¬£¬Ö÷ÒªÓëѪҩŨ¶È¹ý¸ß£¨>12mg/L£©Óйأ¬£¬£¬£¬£¬Í£Ò©ºó´ó¶à¿É»Ö¸´¡£¡£¡£¡£¡£
4.¹ýÃô·´Ó³ÌåÏÖΪҩÎïÈÈ¡¢Æ¤Õî¡¢ÊÈËáÁ£Ï¸°ûÔö¶àµÈ£¬£¬£¬£¬£¬±¬·¢ÂÊÔ¼0.5%~1%¡£¡£¡£¡£¡£
5.ÆäËû£ºÅ¼ÓÐÐÄÂÉʧ³£¡¢¿ÚÇ»»òÒõµÀÄîÖé¾úѬȾ¡£¡£¡£¡£¡£
¡¾½û¼É¡¿¶ÔºìÃ¹ËØÀàÒ©Îï¹ýÃôÕß½ûÓᣡ£¡£¡£¡£
¡¾×¢ÖØÊÂÏî¡¿
1.·þÓñ¾Æ·ºó·ºÆðALT¡¢AST¡¢AKP¡¢µ¨ºìËØµÈÔö¸ßÕ߽ϷþÓÃÆäËûºìÃ¹ËØÖÆ¼ÁΪ¶à¼û¡£¡£¡£¡£¡£
2.ÈÜѪÐÔÁ´Çò¾úѬȾÓñ¾Æ·ÖÎÁÆÊ±£¬£¬£¬£¬£¬ÖÁÉÙÐè³ÖÐø10ÈÕ£¬£¬£¬£¬£¬ÒÔ·ÀÖ¹¼±ÐÔ·çʪÈȵı¬·¢¡£¡£¡£¡£¡£
3.Éö¹¦Ð§¼õÍË»¼ÕßÒ»°ãÎÞÐèïÔÌÓÃÁ¿¡£¡£¡£¡£¡£
4.»¼Õß¶ÔÒ»ÖÖºìÃ¹ËØÖÆ¼Á¹ýÃô»ò²»¿ÉÄÍÊÜʱ£¬£¬£¬£¬£¬¶Ô±¾Æ·Ò²¿É¹ýÃô»ò²»¿ÉÄÍÊÜ¡£¡£¡£¡£¡£
5.ÂýÐԸβ¡¡¢¸Î¹¦Ð§Ëðº¦ÕßÉ÷Óᣡ£¡£¡£¡£
6.Òò²î±ðϸ¾ú¶ÔºìÃ¹ËØµÄÃô¸ÐÐÔ±£´æÒ»¶¨²î±ð£¬£¬£¬£¬£¬¹ÊÓ¦×öÒ©Ãô²â¶¨¡£¡£¡£¡£¡£
7.¶ÔÕï¶ÏµÄ×ÌÈÅ£ººìÃ¹ËØ¿É×ÌÈÅHigerty·¨µÄÓ«¹â²â¶¨£¬£¬£¬£¬£¬Ê¹Äò¶ù²è·Ó°·µÄ²â¶¨Öµ·ºÆð¼ÙÐÔÔö¸ß¡£¡£¡£¡£¡£ÑªÇå¼îÐÔÁ×Ëáø¡¢µ¨ºìËØ¡¢Ìì°±Ëá°±»ù×ªÒÆÃ¸ºÍÃŶ¬°±Ëá°±»ù×ªÒÆÃ¸µÄ²â¶¨Öµ¾ù¿ÉÄÜÔö¸ß¡£¡£¡£¡£¡£
¡¾Ôи¾¼°²¸ÈéÆÚ¸¾Å®ÓÃÒ©¡¿
1.±¾Æ·¿Éͨ¹ýÌ¥Å̶ø½øÈëÌ¥¶ùÑ»·£¬£¬£¬£¬£¬ÇÒÔи¾·þÓñ¾Æ·ºó·ºÆð¸Î¶¾ÐÔ·´Ó³µÄ¿ÉÄÜÐÔÔöÌí£¬£¬£¬£¬£¬¹ÊÔи¾²»ÒËÓ¦Óᣡ£¡£¡£¡£
2.ºìÃ¹ËØÓÐÏ൱Á¿½øÈëĸÈéÖУ¬£¬£¬£¬£¬²¸ÈéÆÚ¸¾Å®Ó¦ÓÃʱÒËÔÝÍ£²¸Èé¡£¡£¡£¡£¡£
¡¾¶ùͯÓÃÒ©¡¿Éв»Ã÷È·
¡¾ÍíÄêÓÃÒ©¡¿Éв»Ã÷È·
¡¾Ò©ÎïÏ໥×÷Óá¿
1.±¾Æ·¿ÉÒÖÖÆ¿¨ÂíÎ÷ƽºÍ±ûÎìËáµÈ¿¹ñ²ðïÒ©µÄ´úл£¬£¬£¬£¬£¬µ¼ÖºóÕßѪҩŨ¶ÈÔö¸ß¶ø±¬·¢¶¾ÐÔ·´Ó³¡£¡£¡£¡£¡£±¾Æ·Óë°¢·ÒÌ«ÄáÊÊÓÿÉÒÖÖÆºóÕߵĴúл£¬£¬£¬£¬£¬ÑÓÉìÆä×÷ÓÃʱ¼ä¡£¡£¡£¡£¡£±¾Æ·Ó밢˾ßäßò»òÌØ·ÇÄǶ¨µÈ¿¹×é°·Ò©ÊÊÓÿÉÔöÌíÐÄÔà¶¾ÐÔ£¬£¬£¬£¬£¬Óë»·æßËØÊÊÓÿÉʹºóÕßѪҩŨ¶ÈÔöÌí¶ø±¬·¢Éö¶¾ÐÔ¡£¡£¡£¡£¡£
2.ÓëÂÈÃ¹ËØºÍÁÖ¿Éõ£°·ÀàÓÐÞ׿¹×÷Ó㬣¬£¬£¬£¬²»ÍƼöͬÓᣡ£¡£¡£¡£
3.±¾Æ·ÎªÒÖ¾ú¼Á£¬£¬£¬£¬£¬¿É×ÌÈÅÇàÃ¹ËØµÄɱ¾úЧÄÜ£¬£¬£¬£¬£¬¹Êµ±ÐèÒª¿ìËÙɱ¾ú×÷ÓÃÈçÖÎÁÆÄÔĤÑ×ʱ£¬£¬£¬£¬£¬Á½Õß²»ÒËÁªÊÊÓÃÒ©¡£¡£¡£¡£¡£
4.ºã¾Ã·þÓûª·¨ÁֵϼÕßÓ¦Óñ¾Æ·Ê±¿Éµ¼ÖÂÄýѪøÔʱ¼äÑÓÉ죬£¬£¬£¬£¬´Ó¶øÔöÌí³öѪµÄΣÏÕÐÔ£¬£¬£¬£¬£¬ÍíÄ겡ÈËÓÈӦע֨¡£¡£¡£¡£¡£Á½Õß±ØÐèͬÓÃʱ£¬£¬£¬£¬£¬»ª·¨ÁֵļÁÁ¿ÒËÊʵ±µ÷½â£¬£¬£¬£¬£¬²¢ÑÏÃÜÊÓ²ìÄýѪøÔʱ¼ä¡£¡£¡£¡£¡£
5.³ý¶þôDZû²è¼îÍ⣬£¬£¬£¬£¬±¾Æ·Óë»ÆàÑßÊÀàÊÊÓÿÉʹ°±²è¼îµÄ¸Îɨ³ýïÔÌ£¬£¬£¬£¬£¬µ¼ÖÂѪÇå°±²è¼îŨ¶ÈÉý¸ßºÍ£¨»ò£©¶¾ÐÔ·´Ó³ÔöÌí¡£¡£¡£¡£¡£ÕâÒ»Õ÷ÏóÔÚÊÊÓÃ6ÈÕºó½ÏÒ×±¬·¢£¬£¬£¬£¬£¬°±²è¼îɨ³ýµÄïÔÌ·ù¶ÈÓ뱾ƷѪ·åÖµ³ÉÕý±È¡£¡£¡£¡£¡£Òò´ËÔÚÁ½ÕßÊÊÓÃÁƳÌÖкÍÁƳ̺󣬣¬£¬£¬£¬»ÆàÑßÊÀàµÄ¼ÁÁ¿Ó¦Óèµ÷½â¡£¡£¡£¡£¡£
6.ÓëÆäËû¸Î¶¾ÐÔÒ©ÎïÊÊÓÿÉÄÜÔöÇ¿¸Î¶¾ÐÔ¡£¡£¡£¡£¡£
7.´ó¼ÁÁ¿±¾Æ·Óë¶ú¶¾ÐÔÒ©ÎïÊÊÓ㬣¬£¬£¬£¬ÓÈÆäÉö¹¦Ð§¼õÍË»¼Õß¿ÉÄÜÔöÌí¶ú¶¾ÐÔ¡£¡£¡£¡£¡£
8.ÓëÂå·¥ËûÍ¡ÊÊÓÃʱ¿ÉÒÖÖÆÆä´úл¶øÊ¹ÑªÅ¨¶ÈÉÏÉý£¬£¬£¬£¬£¬¿ÉÄÜÒýÆðºáÎÆ¼¡ÏûÈÚ£¬£¬£¬£¬£¬Óëßä´ïßòÂØ»òÈýßòÂØÊÊÓÃʱ¿ÉïÔ̶þÕßµÄɨ³ý¶øÔöÇ¿Æä×÷Óᣡ£¡£¡£¡£
¡¾Ò©Îï¹ýÁ¿¡¿
Ӧʵʱͣҩ¸øÓè¶ÔÖ¢ºÍÖ§³ÖÖÎÁÆ¡£¡£¡£¡£¡£Ñª»ò¸¹Ä¤Í¸ÎöºóÉÙÉÙ±»Ïû³ý¡£¡£¡£¡£¡£
¡¾Ò©Àí¶¾Àí¡¿
±¾Æ·Êô´ó»·ÄÚõ¥À࿹ÉúËØ£¬£¬£¬£¬£¬ÎªºìÃ¹ËØ±ûËáõ¥µÄÊ®¶þÍé»ùÁòËáÑΣ¬£¬£¬£¬£¬¶ÔÆÏÌÑÇò¾úÊô¡¢¸÷×éÁ´Çò¾úºÍ¸ïÀ¼ÑôÐԸ˾ú¾ù¾ß¿¹¾ú»îÐÔ¡£¡£¡£¡£¡£ÄÎɪ¾úÊô¡¢Á÷¸ÐÊÈѪ¸Ë¾ú¡¢°ÙÈտȱ«ÌØÊϾúµÈÒ²¿É¶Ô±¾Æ··ºÆðÃô¸Ð¡£¡£¡£¡£¡£±¾Æ·¶Ô³ýųÈõÄâ¸Ë¾úºÍËó¸Ë¾úÊôÒÔÍâµÄÖÖÖÖÑáÑõ¾úÒà¾ß¿¹¾ú»îÐÔ£»£»£»£»£»¶Ô¾üÍžúÊô¡¢Ì¥¶ùÍäÇú¾ú¡¢Ä³Ð©ÂÝÐýÌå¡¢·ÎÑ×Ö§ÔÌå¡¢Á¢¿Ë´ÎÌåÊôºÍÒÂÔÌåÊôÒ²ÓÐÒÖÖÆ×÷Óᣡ£¡£¡£¡£±¾Æ·ÏµÒÖ¾ú¼Á£¬£¬£¬£¬£¬µ«ÔÚ¸ßŨ¶Èʱ¶ÔijЩϸ¾úÒ²¾ßɱ¾ú×÷Óᣡ£¡£¡£¡£±¾Æ·¿É͸Ï꾡¾úϸ°ûĤ£¬£¬£¬£¬£¬ÔÚ¿¿½ü¹©Î»£¨"P"룩´¦Óëϸ¾úºËÌÇÌåµÄ50SÑÇ»ù³É¿ÉÄæÐÔÁ¬Ïµ£¬£¬£¬£¬£¬×è¶ÏÁË×ªÒÆºËÌǺËËᣨt-RNA£©Á¬ÏµÖÁ"P"λÉÏ£¬£¬£¬£¬£¬Í¬Ê±Ò²×è¶ÏÁ˶àëÄÁ´×ÔÊÜ루"A"룩ÖÁ"P"λµÄÎ»ÒÆ£¬£¬£¬£¬£¬Òò¶øÏ¸¾úÂѰ×ÖʺϳÉÊÜÒÖÖÆ¡£¡£¡£¡£¡£±¾Æ·½ö¶ÔÆÆËé»îÔ¾µÄϸ¾úÓÐÓᣡ£¡£¡£¡£
¡¾Ò©´ú¶¯Á¦Ñ§¡¿
¿Õ¸¹»ò·¹ºó¿Ú·þ¶¼ºÜ¿ìÎüÊÕ£¬£¬£¬£¬£¬ÔÚθËáÖнÏÎȹ̡£¡£¡£¡£¡£ÂѰ×Á¬ÏµÂÊΪ90%~99%¡£¡£¡£¡£¡£¿£¿£¿£¿£¿Ú·þºóÔÚ賦µÀÖÐÆÊÎöΪºìÃ¹ËØ±ûËáõ¥£¬£¬£¬£¬£¬²¿·ÖÔÚѪҺÖÐË®½â³ÉÓÎÀëµÄºìÃ¹ËØ¶øÆð¿¹¾ú×÷Óᣡ£¡£¡£¡£¿£¿£¿£¿£¿Ú·þ0.25gºÍ0.5gµÄѪҩ·åŨ¶È£¨Cmax£©ÓÚ2СʱµÖ´ï£¬£¬£¬£¬£¬»®·ÖΪ1.4mg/LºÍ4.2mg/L¡£¡£¡£¡£¡£ÎüÊÕºó³ýÄÔ¼¹ÒººÍÄÔ×éÖ¯Í⣬£¬£¬£¬£¬ÆÕ±éÂþÑÜÓÚ¸÷×éÖ¯ºÍÌåÒºÖУ¬£¬£¬£¬£¬ÓÈÒԸΡ¢µ¨ÖºÍÆ¢ÖеÄŨ¶ÈΪ×î¸ß£¬£¬£¬£¬£¬ÔÚÉö¡¢·ÎµÈ×éÖ¯ÖеÄŨ¶È¿Éºá¿çѪҩŨ¶ÈÊý±¶£¬£¬£¬£¬£¬ÔÚµ¨ÖÖеÄŨ¶È¿É´ïѪҩŨ¶ÈµÄ10~40±¶ÒÔÉÏ¡£¡£¡£¡£¡£ÔÚÆ¤ÏÂ×éÖ¯¡¢Ìµ¼°Ö§Æø¹ÜÉøÍ¸ÎïÖеÄŨ¶ÈÒ²½Ï¸ß£¬£¬£¬£¬£¬ÌµÖÐŨ¶ÈÓëѪҩŨ¶ÈÏà·Â£»£»£»£»£»ÔÚÐØ¡¢¸¹Ë®¡¢Å§ÒºµÈÖеÄŨ¶È¿É´ïÓÐÓÃˮƽ¡£¡£¡£¡£¡£±¾Æ·ÓÐÒ»¶¨Á¿£¨Ô¼ÎªÑªÒ©Å¨¶ÈµÄ33%£©½øÈëǰÏßÏÙ¼°¾«ÄÒÖУ¬£¬£¬£¬£¬µ«²»Ò×͸¹ýѪ-ÄÔ¼¹ÒºÆÁÕÏ£¬£¬£¬£¬£¬ÄÔĤÓÐÑ×֢ʱÄÔ¼¹ÒºÖÐŨ¶È½öΪѪҩŨ¶ÈµÄ10%×óÓÒ¡£¡£¡£¡£¡£¿£¿£¿£¿£¿É½øÈë̥ѪºÍÅÅÈëĸÈéÖУ¬£¬£¬£¬£¬Ì¥¶ùѪҩŨ¶ÈΪĸÌåѪҩŨ¶ÈµÄ5%~20%£¬£¬£¬£¬£¬Ä¸ÈéÖÐÒ©ÎïŨ¶È¿É´ïѪҩŨ¶ÈµÄ50%ÒÔÉÏ¡£¡£¡£¡£¡£±í¹ÛÂþÑÜÈÝ»ý£¨Vd£©Îª0.9L/kg¡£¡£¡£¡£¡£ÓÎÀëºìÃ¹ËØÔÚ¸ÎÄÚ´úлѪÏû³ý°ëË¥ÆÚ£¨t1/2¦Â£©Îª1.4~2Сʱ£¬£¬£¬£¬£¬ÎÞÄò»¼ÕßµÄѪ°ëË¥ÆÚ¿ÉÑÓÉìÖÁ4.8~6Сʱ¡£¡£¡£¡£¡£ÒÀÍкìÃ¹ËØÖ÷ÒªÔÚ¸ÎÖÐŨËõºÍ´Óµ¨ÖÇãÔþ£¬£¬£¬£¬£¬²¢¾ÙÐг¦¸ÎÑ»·£¬£¬£¬£¬£¬Ô¼2%~5%µÄ¿Ú·þÁ¿ºÍ10%~15%µÄ×¢ÈëÁ¿×ÔÉöСÇòÂ˹ýɨ³ý£¬£¬£¬£¬£¬ÄòÖÐŨ¶È¿É´ï10~100mg/L¡£¡£¡£¡£¡£·à±ãÖÐÒ²º¬ÓÐÒ»¶¨Á¿¡£¡£¡£¡£¡£Ñª»ò¸¹Ä¤Í¸ÎöºóÉÙÉÙ±»É¨³ý£¬£¬£¬£¬£¬¹Ê͸ÎöºóÎÞÐè¼ÓÓᣡ£¡£¡£¡£
¡¾Öü²Ø¡¿Õڹ⣬£¬£¬£¬£¬ÃÜ·âÉúÑÄ¡£¡£¡£¡£¡£
¡¾°ü×°¡¿ÂÁËܰü×°¡£¡£¡£¡£¡£12Ƭ/°åx1°å/ºÐ¡£¡£¡£¡£¡£
¡¾ÓÐÓÃÆÚ¡¿36¸öÔÂ
¡¾Ö´Ðбê×¼¡¿¡¶ÖйúÒ©µä¡·2020Äê°æ¶þ²¿
¡¾Åú×¼Îĺš¿¹úÒ©×¼×ÖH14020393
¡¾ÉÏÊÐÔÊÐí³ÖÓÐÈË¡¿
Ãû³Æ£ºÉ½Î÷304amÓÀÀû¼¯ÍŰ²ÐÀÉúÎïÖÆÒ©ÓÐÏÞ¹«Ë¾
×¢²áµØµã£ºÉ½Î÷Ê¡½úÖÐÊÐɽÎ÷Ê÷Ä£Çø½úÖпª·¢Çø»ãͨ¹¤ÒµÔ°Çø»þ³Ç·908ºÅ
¡¾Éú²úÆóÒµ¡¿
ÆóÒµÃû³Æ£ºÉ½Î÷304amÓÀÀû¼¯ÍŰ²ÐÀÉúÎïÖÆÒ©ÓÐÏÞ¹«Ë¾
Éú²úµØµã£ºÉ½Î÷Ê¡½úÖÐÊлþ³Ç·908ºÅ£¨½úÖо¼ÃÊÖÒÕ¿ª·¢ÇøÃñÓª¿Æ¼¼Ô°£©
ÓÊÕþ±àÂ룺030600
µç»°ºÅÂ룺£¨0354£©2467981 2467966
´«ÕæºÅÂ룺£¨0354£©2467966
꿅᣼www.zdjt.com

¡¾Ò©Æ·Ãû³Æ¡¿
ͨÓÃÃû³Æ£ºÒÀÍкìÃ¹ËØÆ¬
Ó¢ÎÄÃû³Æ£ºErythromycinEstolateTablets
ººÓïÆ´Òô£ºYituoHongmeisuPian
¡¾³É·Ý¡¿±¾Æ·Ö÷Òª³É·ÝÊÇÒÀÍкìÃ¹ËØ¡£¡£¡£¡£¡£
Æä½á¹¹Ê½Îª£º

·Ö×Óʽ£ºC40H71NO14¡¤C12H26O4S
·Ö×ÓÁ¿£º1056.40
¡¾ÐÔ×´¡¿±¾Æ·Îª°×ɫƬ¡£¡£¡£¡£¡£
¡¾Ë³Ó¦Ö¢¡¿1.±¾Æ·×÷ΪÇàÃ¹ËØ¹ýÃô»¼ÕßÖÎÁÆÏÂÁÐѬȾµÄÌæ»»ÓÃÒ©£ºÈÜѪÐÔÁ´Çò¾ú¡¢·ÎÑ×Á´Çò¾úµÈËùÖµļ±ÐÔ±âÌÒÌåÑס¢¼±ÐÔÑÊÑס¢±Çñ¼Ñ×£»£»£»£»£»ÈÜѪÐÔÁ´Çò¾úËùÖµÄÐɺìÈÈ¡¢·äÎÑÖ¯Ñ×£»£»£»£»£»°×ºí¼°°×ºí´ø¾úÕߣ»£»£»£»£»ÆøÐÔ»µ¾Ò¡¢Ì¿¾Ò¡¢ÆÆÉ˷磻£»£»£»£»·ÅÏß¾ú²¡£¡£¡£¡£¡£»£»£»£»£»Ã·¶¾£»£»£»£»£»ÀîË¹ÌØ¾ú²¡µÈ¡£¡£¡£¡£¡£2.¾üÍžú²¡¡£¡£¡£¡£¡£3.·ÎÑ×Ö§ÔÌå·ÎÑס£¡£¡£¡£¡£4.·ÎÑ×ÒÂÔÌå·ÎÑס£¡£¡£¡£¡£5.ÆäËûÒÂÔÌåÊô¡¢Ö§ÔÌåÊôËùÖÂÃÚÄòÉúֳϵѬȾ¡£¡£¡£¡£¡£6.ɳÑÛÒÂÔÌå½áĤÑס£¡£¡£¡£¡£7.ÑáÑõ¾úËùÖ¿ÚǻѬȾ¡£¡£¡£¡£¡£8.¿Õ³¦ÍäÇú¾ú³¦Ñס£¡£¡£¡£¡£9.°ÙÈÕ¿È¡£¡£¡£¡£¡£10.·çʪÈȸ´·¢¡¢Ñ¬È¾ÐÔÐÄÄÚĤÑ×£¨·çʪÐÔÐÄÔಡ¡¢ÏÈÌìÐÔÐÄÔಡ¡¢ÐÄÔà°êĤÖû»Êõºó£©¡¢Ô¤·À¿ÚÇ»»òÉϺôÎüµÀѬȾ£¨ÇàÃ¹ËØµÄÌæ»»ÓÃÒ©£©¡£¡£¡£¡£¡£
¡¾¹æ¸ñ¡¿°´ºìÃ¹ËØ¼Æ0.125g£¨12.5Íòµ¥Î»£©
¡¾Ó÷¨ÓÃÁ¿¡¿
¿Ú·þ£¬£¬£¬£¬£¬³ÉÈËÒ»ÈÕ0.75~2g£¬£¬£¬£¬£¬·Ö3~4´Î£¬£¬£¬£¬£¬¶ùͯÖðÈÕ°´ÌåÖØ20~30mg/kg£¬£¬£¬£¬£¬·Ö3~4´Î¡£¡£¡£¡£¡£ÖÎÁƾüÍžú²¡£¡£¡£¡£¡£¬£¬£¬£¬£¬³ÉÈËÒ»´Î0.5~1.0g£¬£¬£¬£¬£¬Ò»ÈÕ4´Î¡£¡£¡£¡£¡£ÓÃ×÷·çʪÈȸ´·¢µÄÔ¤·ÀÓÃҩʱ£¬£¬£¬£¬£¬Ò»´Î0.25g£¬£¬£¬£¬£¬Ò»ÈÕ2´Î¡£¡£¡£¡£¡£ÓÃ×÷ѬȾÐÔÐÄÄÚĤÑ×µÄÔ¤·ÀÓÃҩʱ£¬£¬£¬£¬£¬Êõǰ1Сʱ¿Ú·þ1g£¬£¬£¬£¬£¬Êõºó6СʱÔÙ·þÓÃ0.5g¡£¡£¡£¡£¡£
¡¾²»Á¼·´Ó³¡¿
1.·þÓñ¾Æ·ºó±¬·¢¸Î¶¾ÐÔ·´Ó³Õ߽ϷþÓÃÆäËûºìÃ¹ËØÖÆ¼ÁΪ¶à¼û£¬£¬£¬£¬£¬·þÒ©ÊýÈÕ»ò1~2Öܺó»¼Õ߿ɷºÆð·¦Á¦¡¢¶ñÐÄ¡¢ÍÂÄæ¡¢¸¹Í´¡¢Æ¤Õî¡¢·¢Èȵȡ£¡£¡£¡£¡£ÓÐʱ¿É·ºÆð»Æð㣬£¬£¬£¬£¬¸Î¹¦Ð§ÊÔÑéÏÔʾÓÙµ¨£¬£¬£¬£¬£¬Í£Ò©ºó³£¿£¿£¿£¿£¿É»Ö¸´¡£¡£¡£¡£¡£
2.賦µÀ·´Ó³Óи¹Ðº¡¢¶ñÐÄ¡¢ÍÂÄæ¡¢ÖÐÉϸ¹Í´¡¢¿ÚÉàÌÛÍ´¡¢Î¸ÄɼõÍ˵ȣ¬£¬£¬£¬£¬Æä±¬·¢ÂÊÓë¼ÁÁ¿¾ÞϸÓйء£¡£¡£¡£¡£
3.´ó¼ÁÁ¿£¨¡Ý4g/ÈÕ£©Ó¦ÓÃʱ£¬£¬£¬£¬£¬ÓÈÆä¸Î¡¢Éö¼²²¡»¼Õß»òÍíÄ껼Õߣ¬£¬£¬£¬£¬¿ÉÄÜÒýÆðÌýÁ¦¼õÍË£¬£¬£¬£¬£¬Ö÷ÒªÓëѪҩŨ¶È¹ý¸ß£¨>12mg/L£©Óйأ¬£¬£¬£¬£¬Í£Ò©ºó´ó¶à¿É»Ö¸´¡£¡£¡£¡£¡£
4.¹ýÃô·´Ó³ÌåÏÖΪҩÎïÈÈ¡¢Æ¤Õî¡¢ÊÈËáÁ£Ï¸°ûÔö¶àµÈ£¬£¬£¬£¬£¬±¬·¢ÂÊÔ¼0.5%~1%¡£¡£¡£¡£¡£
5.ÆäËû£ºÅ¼ÓÐÐÄÂÉʧ³£¡¢¿ÚÇ»»òÒõµÀÄîÖé¾úѬȾ¡£¡£¡£¡£¡£
¡¾½û¼É¡¿¶ÔºìÃ¹ËØÀàÒ©Îï¹ýÃôÕß½ûÓᣡ£¡£¡£¡£
¡¾×¢ÖØÊÂÏî¡¿
1.·þÓñ¾Æ·ºó·ºÆðALT¡¢AST¡¢AKP¡¢µ¨ºìËØµÈÔö¸ßÕ߽ϷþÓÃÆäËûºìÃ¹ËØÖÆ¼ÁΪ¶à¼û¡£¡£¡£¡£¡£
2.ÈÜѪÐÔÁ´Çò¾úѬȾÓñ¾Æ·ÖÎÁÆÊ±£¬£¬£¬£¬£¬ÖÁÉÙÐè³ÖÐø10ÈÕ£¬£¬£¬£¬£¬ÒÔ·ÀÖ¹¼±ÐÔ·çʪÈȵı¬·¢¡£¡£¡£¡£¡£
3.Éö¹¦Ð§¼õÍË»¼ÕßÒ»°ãÎÞÐèïÔÌÓÃÁ¿¡£¡£¡£¡£¡£
4.»¼Õß¶ÔÒ»ÖÖºìÃ¹ËØÖÆ¼Á¹ýÃô»ò²»¿ÉÄÍÊÜʱ£¬£¬£¬£¬£¬¶Ô±¾Æ·Ò²¿É¹ýÃô»ò²»¿ÉÄÍÊÜ¡£¡£¡£¡£¡£
5.ÂýÐԸβ¡¡¢¸Î¹¦Ð§Ëðº¦ÕßÉ÷Óᣡ£¡£¡£¡£
6.Òò²î±ðϸ¾ú¶ÔºìÃ¹ËØµÄÃô¸ÐÐÔ±£´æÒ»¶¨²î±ð£¬£¬£¬£¬£¬¹ÊÓ¦×öÒ©Ãô²â¶¨¡£¡£¡£¡£¡£
7.¶ÔÕï¶ÏµÄ×ÌÈÅ£ººìÃ¹ËØ¿É×ÌÈÅHigerty·¨µÄÓ«¹â²â¶¨£¬£¬£¬£¬£¬Ê¹Äò¶ù²è·Ó°·µÄ²â¶¨Öµ·ºÆð¼ÙÐÔÔö¸ß¡£¡£¡£¡£¡£ÑªÇå¼îÐÔÁ×Ëáø¡¢µ¨ºìËØ¡¢Ìì°±Ëá°±»ù×ªÒÆÃ¸ºÍÃŶ¬°±Ëá°±»ù×ªÒÆÃ¸µÄ²â¶¨Öµ¾ù¿ÉÄÜÔö¸ß¡£¡£¡£¡£¡£
¡¾Ôи¾¼°²¸ÈéÆÚ¸¾Å®ÓÃÒ©¡¿
1.±¾Æ·¿Éͨ¹ýÌ¥Å̶ø½øÈëÌ¥¶ùÑ»·£¬£¬£¬£¬£¬ÇÒÔи¾·þÓñ¾Æ·ºó·ºÆð¸Î¶¾ÐÔ·´Ó³µÄ¿ÉÄÜÐÔÔöÌí£¬£¬£¬£¬£¬¹ÊÔи¾²»ÒËÓ¦Óᣡ£¡£¡£¡£
2.ºìÃ¹ËØÓÐÏ൱Á¿½øÈëĸÈéÖУ¬£¬£¬£¬£¬²¸ÈéÆÚ¸¾Å®Ó¦ÓÃʱÒËÔÝÍ£²¸Èé¡£¡£¡£¡£¡£
¡¾¶ùͯÓÃÒ©¡¿Éв»Ã÷È·
¡¾ÍíÄêÓÃÒ©¡¿Éв»Ã÷È·
¡¾Ò©ÎïÏ໥×÷Óá¿
1.±¾Æ·¿ÉÒÖÖÆ¿¨ÂíÎ÷ƽºÍ±ûÎìËáµÈ¿¹ñ²ðïÒ©µÄ´úл£¬£¬£¬£¬£¬µ¼ÖºóÕßѪҩŨ¶ÈÔö¸ß¶ø±¬·¢¶¾ÐÔ·´Ó³¡£¡£¡£¡£¡£±¾Æ·Óë°¢·ÒÌ«ÄáÊÊÓÿÉÒÖÖÆºóÕߵĴúл£¬£¬£¬£¬£¬ÑÓÉìÆä×÷ÓÃʱ¼ä¡£¡£¡£¡£¡£±¾Æ·Ó밢˾ßäßò»òÌØ·ÇÄǶ¨µÈ¿¹×é°·Ò©ÊÊÓÿÉÔöÌíÐÄÔà¶¾ÐÔ£¬£¬£¬£¬£¬Óë»·æßËØÊÊÓÿÉʹºóÕßѪҩŨ¶ÈÔöÌí¶ø±¬·¢Éö¶¾ÐÔ¡£¡£¡£¡£¡£
2.ÓëÂÈÃ¹ËØºÍÁÖ¿Éõ£°·ÀàÓÐÞ׿¹×÷Ó㬣¬£¬£¬£¬²»ÍƼöͬÓᣡ£¡£¡£¡£
3.±¾Æ·ÎªÒÖ¾ú¼Á£¬£¬£¬£¬£¬¿É×ÌÈÅÇàÃ¹ËØµÄɱ¾úЧÄÜ£¬£¬£¬£¬£¬¹Êµ±ÐèÒª¿ìËÙɱ¾ú×÷ÓÃÈçÖÎÁÆÄÔĤÑ×ʱ£¬£¬£¬£¬£¬Á½Õß²»ÒËÁªÊÊÓÃÒ©¡£¡£¡£¡£¡£
4.ºã¾Ã·þÓûª·¨ÁֵϼÕßÓ¦Óñ¾Æ·Ê±¿Éµ¼ÖÂÄýѪøÔʱ¼äÑÓÉ죬£¬£¬£¬£¬´Ó¶øÔöÌí³öѪµÄΣÏÕÐÔ£¬£¬£¬£¬£¬ÍíÄ겡ÈËÓÈӦע֨¡£¡£¡£¡£¡£Á½Õß±ØÐèͬÓÃʱ£¬£¬£¬£¬£¬»ª·¨ÁֵļÁÁ¿ÒËÊʵ±µ÷½â£¬£¬£¬£¬£¬²¢ÑÏÃÜÊÓ²ìÄýѪøÔʱ¼ä¡£¡£¡£¡£¡£
5.³ý¶þôDZû²è¼îÍ⣬£¬£¬£¬£¬±¾Æ·Óë»ÆàÑßÊÀàÊÊÓÿÉʹ°±²è¼îµÄ¸Îɨ³ýïÔÌ£¬£¬£¬£¬£¬µ¼ÖÂѪÇå°±²è¼îŨ¶ÈÉý¸ßºÍ£¨»ò£©¶¾ÐÔ·´Ó³ÔöÌí¡£¡£¡£¡£¡£ÕâÒ»Õ÷ÏóÔÚÊÊÓÃ6ÈÕºó½ÏÒ×±¬·¢£¬£¬£¬£¬£¬°±²è¼îɨ³ýµÄïÔÌ·ù¶ÈÓ뱾ƷѪ·åÖµ³ÉÕý±È¡£¡£¡£¡£¡£Òò´ËÔÚÁ½ÕßÊÊÓÃÁƳÌÖкÍÁƳ̺󣬣¬£¬£¬£¬»ÆàÑßÊÀàµÄ¼ÁÁ¿Ó¦Óèµ÷½â¡£¡£¡£¡£¡£
6.ÓëÆäËû¸Î¶¾ÐÔÒ©ÎïÊÊÓÿÉÄÜÔöÇ¿¸Î¶¾ÐÔ¡£¡£¡£¡£¡£
7.´ó¼ÁÁ¿±¾Æ·Óë¶ú¶¾ÐÔÒ©ÎïÊÊÓ㬣¬£¬£¬£¬ÓÈÆäÉö¹¦Ð§¼õÍË»¼Õß¿ÉÄÜÔöÌí¶ú¶¾ÐÔ¡£¡£¡£¡£¡£
8.ÓëÂå·¥ËûÍ¡ÊÊÓÃʱ¿ÉÒÖÖÆÆä´úл¶øÊ¹ÑªÅ¨¶ÈÉÏÉý£¬£¬£¬£¬£¬¿ÉÄÜÒýÆðºáÎÆ¼¡ÏûÈÚ£¬£¬£¬£¬£¬Óëßä´ïßòÂØ»òÈýßòÂØÊÊÓÃʱ¿ÉïÔ̶þÕßµÄɨ³ý¶øÔöÇ¿Æä×÷Óᣡ£¡£¡£¡£
¡¾Ò©Îï¹ýÁ¿¡¿
Ӧʵʱͣҩ¸øÓè¶ÔÖ¢ºÍÖ§³ÖÖÎÁÆ¡£¡£¡£¡£¡£Ñª»ò¸¹Ä¤Í¸ÎöºóÉÙÉÙ±»Ïû³ý¡£¡£¡£¡£¡£
¡¾Ò©Àí¶¾Àí¡¿
±¾Æ·Êô´ó»·ÄÚõ¥À࿹ÉúËØ£¬£¬£¬£¬£¬ÎªºìÃ¹ËØ±ûËáõ¥µÄÊ®¶þÍé»ùÁòËáÑΣ¬£¬£¬£¬£¬¶ÔÆÏÌÑÇò¾úÊô¡¢¸÷×éÁ´Çò¾úºÍ¸ïÀ¼ÑôÐԸ˾ú¾ù¾ß¿¹¾ú»îÐÔ¡£¡£¡£¡£¡£ÄÎɪ¾úÊô¡¢Á÷¸ÐÊÈѪ¸Ë¾ú¡¢°ÙÈտȱ«ÌØÊϾúµÈÒ²¿É¶Ô±¾Æ··ºÆðÃô¸Ð¡£¡£¡£¡£¡£±¾Æ·¶Ô³ýųÈõÄâ¸Ë¾úºÍËó¸Ë¾úÊôÒÔÍâµÄÖÖÖÖÑáÑõ¾úÒà¾ß¿¹¾ú»îÐÔ£»£»£»£»£»¶Ô¾üÍžúÊô¡¢Ì¥¶ùÍäÇú¾ú¡¢Ä³Ð©ÂÝÐýÌå¡¢·ÎÑ×Ö§ÔÌå¡¢Á¢¿Ë´ÎÌåÊôºÍÒÂÔÌåÊôÒ²ÓÐÒÖÖÆ×÷Óᣡ£¡£¡£¡£±¾Æ·ÏµÒÖ¾ú¼Á£¬£¬£¬£¬£¬µ«ÔÚ¸ßŨ¶Èʱ¶ÔijЩϸ¾úÒ²¾ßɱ¾ú×÷Óᣡ£¡£¡£¡£±¾Æ·¿É͸Ï꾡¾úϸ°ûĤ£¬£¬£¬£¬£¬ÔÚ¿¿½ü¹©Î»£¨"P"룩´¦Óëϸ¾úºËÌÇÌåµÄ50SÑÇ»ù³É¿ÉÄæÐÔÁ¬Ïµ£¬£¬£¬£¬£¬×è¶ÏÁË×ªÒÆºËÌǺËËᣨt-RNA£©Á¬ÏµÖÁ"P"λÉÏ£¬£¬£¬£¬£¬Í¬Ê±Ò²×è¶ÏÁ˶àëÄÁ´×ÔÊÜ루"A"룩ÖÁ"P"λµÄÎ»ÒÆ£¬£¬£¬£¬£¬Òò¶øÏ¸¾úÂѰ×ÖʺϳÉÊÜÒÖÖÆ¡£¡£¡£¡£¡£±¾Æ·½ö¶ÔÆÆËé»îÔ¾µÄϸ¾úÓÐÓᣡ£¡£¡£¡£
¡¾Ò©´ú¶¯Á¦Ñ§¡¿
¿Õ¸¹»ò·¹ºó¿Ú·þ¶¼ºÜ¿ìÎüÊÕ£¬£¬£¬£¬£¬ÔÚθËáÖнÏÎȹ̡£¡£¡£¡£¡£ÂѰ×Á¬ÏµÂÊΪ90%~99%¡£¡£¡£¡£¡£¿£¿£¿£¿£¿Ú·þºóÔÚ賦µÀÖÐÆÊÎöΪºìÃ¹ËØ±ûËáõ¥£¬£¬£¬£¬£¬²¿·ÖÔÚѪҺÖÐË®½â³ÉÓÎÀëµÄºìÃ¹ËØ¶øÆð¿¹¾ú×÷Óᣡ£¡£¡£¡£¿£¿£¿£¿£¿Ú·þ0.25gºÍ0.5gµÄѪҩ·åŨ¶È£¨Cmax£©ÓÚ2СʱµÖ´ï£¬£¬£¬£¬£¬»®·ÖΪ1.4mg/LºÍ4.2mg/L¡£¡£¡£¡£¡£ÎüÊÕºó³ýÄÔ¼¹ÒººÍÄÔ×éÖ¯Í⣬£¬£¬£¬£¬ÆÕ±éÂþÑÜÓÚ¸÷×éÖ¯ºÍÌåÒºÖУ¬£¬£¬£¬£¬ÓÈÒԸΡ¢µ¨ÖºÍÆ¢ÖеÄŨ¶ÈΪ×î¸ß£¬£¬£¬£¬£¬ÔÚÉö¡¢·ÎµÈ×éÖ¯ÖеÄŨ¶È¿Éºá¿çѪҩŨ¶ÈÊý±¶£¬£¬£¬£¬£¬ÔÚµ¨ÖÖеÄŨ¶È¿É´ïѪҩŨ¶ÈµÄ10~40±¶ÒÔÉÏ¡£¡£¡£¡£¡£ÔÚÆ¤ÏÂ×éÖ¯¡¢Ìµ¼°Ö§Æø¹ÜÉøÍ¸ÎïÖеÄŨ¶ÈÒ²½Ï¸ß£¬£¬£¬£¬£¬ÌµÖÐŨ¶ÈÓëѪҩŨ¶ÈÏà·Â£»£»£»£»£»ÔÚÐØ¡¢¸¹Ë®¡¢Å§ÒºµÈÖеÄŨ¶È¿É´ïÓÐÓÃˮƽ¡£¡£¡£¡£¡£±¾Æ·ÓÐÒ»¶¨Á¿£¨Ô¼ÎªÑªÒ©Å¨¶ÈµÄ33%£©½øÈëǰÏßÏÙ¼°¾«ÄÒÖУ¬£¬£¬£¬£¬µ«²»Ò×͸¹ýѪ-ÄÔ¼¹ÒºÆÁÕÏ£¬£¬£¬£¬£¬ÄÔĤÓÐÑ×֢ʱÄÔ¼¹ÒºÖÐŨ¶È½öΪѪҩŨ¶ÈµÄ10%×óÓÒ¡£¡£¡£¡£¡£¿£¿£¿£¿£¿É½øÈë̥ѪºÍÅÅÈëĸÈéÖУ¬£¬£¬£¬£¬Ì¥¶ùѪҩŨ¶ÈΪĸÌåѪҩŨ¶ÈµÄ5%~20%£¬£¬£¬£¬£¬Ä¸ÈéÖÐÒ©ÎïŨ¶È¿É´ïѪҩŨ¶ÈµÄ50%ÒÔÉÏ¡£¡£¡£¡£¡£±í¹ÛÂþÑÜÈÝ»ý£¨Vd£©Îª0.9L/kg¡£¡£¡£¡£¡£ÓÎÀëºìÃ¹ËØÔÚ¸ÎÄÚ´úлѪÏû³ý°ëË¥ÆÚ£¨t1/2¦Â£©Îª1.4~2Сʱ£¬£¬£¬£¬£¬ÎÞÄò»¼ÕßµÄѪ°ëË¥ÆÚ¿ÉÑÓÉìÖÁ4.8~6Сʱ¡£¡£¡£¡£¡£ÒÀÍкìÃ¹ËØÖ÷ÒªÔÚ¸ÎÖÐŨËõºÍ´Óµ¨ÖÇãÔþ£¬£¬£¬£¬£¬²¢¾ÙÐг¦¸ÎÑ»·£¬£¬£¬£¬£¬Ô¼2%~5%µÄ¿Ú·þÁ¿ºÍ10%~15%µÄ×¢ÈëÁ¿×ÔÉöСÇòÂ˹ýɨ³ý£¬£¬£¬£¬£¬ÄòÖÐŨ¶È¿É´ï10~100mg/L¡£¡£¡£¡£¡£·à±ãÖÐÒ²º¬ÓÐÒ»¶¨Á¿¡£¡£¡£¡£¡£Ñª»ò¸¹Ä¤Í¸ÎöºóÉÙÉÙ±»É¨³ý£¬£¬£¬£¬£¬¹Ê͸ÎöºóÎÞÐè¼ÓÓᣡ£¡£¡£¡£
¡¾Öü²Ø¡¿Õڹ⣬£¬£¬£¬£¬ÃÜ·âÉúÑÄ¡£¡£¡£¡£¡£
¡¾°ü×°¡¿ÂÁËܰü×°¡£¡£¡£¡£¡£12Ƭ/°åx1°å/ºÐ¡£¡£¡£¡£¡£
¡¾ÓÐÓÃÆÚ¡¿36¸öÔÂ
¡¾Ö´Ðбê×¼¡¿¡¶ÖйúÒ©µä¡·2020Äê°æ¶þ²¿
¡¾Åú×¼Îĺš¿¹úÒ©×¼×ÖH14020393
¡¾ÉÏÊÐÔÊÐí³ÖÓÐÈË¡¿
Ãû³Æ£ºÉ½Î÷304amÓÀÀû¼¯ÍŰ²ÐÀÉúÎïÖÆÒ©ÓÐÏÞ¹«Ë¾
×¢²áµØµã£ºÉ½Î÷Ê¡½úÖÐÊÐɽÎ÷Ê÷Ä£Çø½úÖпª·¢Çø»ãͨ¹¤ÒµÔ°Çø»þ³Ç·908ºÅ
¡¾Éú²úÆóÒµ¡¿
ÆóÒµÃû³Æ£ºÉ½Î÷304amÓÀÀû¼¯ÍŰ²ÐÀÉúÎïÖÆÒ©ÓÐÏÞ¹«Ë¾
Éú²úµØµã£ºÉ½Î÷Ê¡½úÖÐÊлþ³Ç·908ºÅ£¨½úÖо¼ÃÊÖÒÕ¿ª·¢ÇøÃñÓª¿Æ¼¼Ô°£©
ÓÊÕþ±àÂ룺030600
µç»°ºÅÂ룺£¨0354£©2467981 2467966
´«ÕæºÅÂ룺£¨0354£©2467966
꿅᣼www.zdjt.com
